aof.sorular.net
Coğrafi Bilgi Sistemleri İçin Temel Matematik
Coğrafi Bilgi Sistemleri İçin Temel Matematik Deneme Sınavı
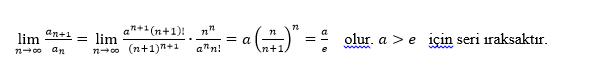
Coğrafi Bilgi Sistemleri İçin Temel Matematik Deneme Sınavı Sorusu #576110
Coğrafi Bilgi Sistemleri İçin Temel Matematik Deneme Sınavı Sorusu #576110
Yorumlar
- 0 Yorum