aof.sorular.net
Coğrafi Bilgi Sistemleri İçin Temel Matematik
Coğrafi Bilgi Sistemleri İçin Temel Matematik Deneme Sınavı
Coğrafi Bilgi Sistemleri İçin Temel Matematik Deneme Sınavı Sorusu #630341
Coğrafi Bilgi Sistemleri İçin Temel Matematik Deneme Sınavı Sorusu #630341
fonksiyonu için f'(0)’ın değeri aşağıdakilerden hangisidir?
|
1 |
|
0 |
|
-1 |
|
-2 |
|
3 |
Yanıt Açıklaması:
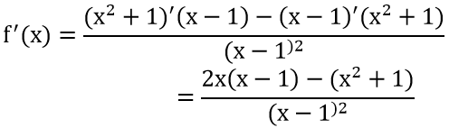
fonksiyonunun türevi
olup,
türevin x=0 daki değeri olur.
Yorumlar
- 0 Yorum