İstatistik Deneme Sınavı Sorusu #555178
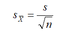
Normal dağılıma sahip bir evrenden 100 birimlik rassal bir örneklem seçilmiştir. Seçilen örneklemin ortalaması 12, standart sapması 2 olarak bulunmuştur. Bu durumda, örneklem ortalamasının (
) standart hatası aşağıdakilerden hangisidir?
|
0.1 |
|
0.2 |
|
0.3 |
|
0.4 |
|
0.5 |
Yanıt Açıklaması:
Örneklem ortalamasının standart hatası
formülü ile bulunur. Buradan,
elde edilir.
Yorumlar
- 0 Yorum