aof.sorular.net
Karar Modelleri
Karar Modelleri Deneme Sınavı
Karar Modelleri Deneme Sınavı Sorusu #1276600
Karar Modelleri Deneme Sınavı Sorusu #1276600
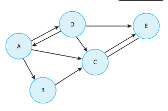
Yukarıda yer alan şekil aşağıdaki ifadelerden hangisini tanımlar?
|
Yönlü çizge |
|
Yönlü olmayan çizge |
|
Yönlü bağlantı |
|
Yönlü olmayan bağlantı |
|
Akış bağlantısı |
Yanıt Açıklaması:
Yönlü bağlantılardan oluşan çizge, yönlü çizge adını alır.
Yorumlar
- 0 Yorum