aof.sorular.net
Matematik 1
Matematik 1 Deneme Sınavı
Matematik 1 Deneme Sınavı Sorusu #543373
Matematik 1 Deneme Sınavı Sorusu #543373
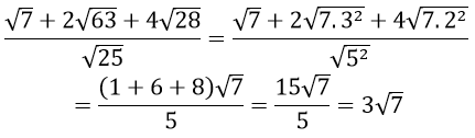
sayısı aşağıdakilerden hangisine eşittir?
A
0
B
1
C
D
E
7
Yanıt Açıklaması:
Yorumlar
0 Yorum
Alt Bilgi
© 2019
sorular.net
Bilgi
IOS Uygulamamız Güncellendi!
İndir
Geri