aof.sorular.net
Mathematics 1
Mathematics 1 Deneme Sınavı
Mathematics 1 Deneme Sınavı Sorusu #1225506
Mathematics 1 Deneme Sınavı Sorusu #1225506
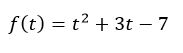
A particle moves along the x-axis in such a way that its position at time t is . Find the average velocity over the interval [1, 3].
|
6 |
|
7 |
|
8 |
|
9 |
|
11 |
Yanıt Açıklaması:
The answer is B.
Yorumlar
- 0 Yorum