aof.sorular.net
Mathematics 1
Mathematics 1 Deneme Sınavı
Mathematics 1 Deneme Sınavı Sorusu #1272097
Mathematics 1 Deneme Sınavı Sorusu #1272097
|
0 |
|
-66 |
|
45 |
|
-13 |
|
14 |
Yanıt Açıklaması:
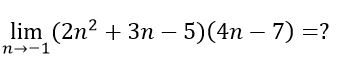
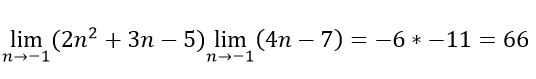
From the product rule for limits, we have
. The answer is B.
Yorumlar
- 0 Yorum