Busıness Fınance Iı Ara 4. Deneme Sınavı
Toplam 20 Soru1.Soru
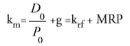
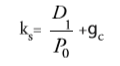
Which of the following equations is used to calculate the cost of the preferred stock?
|
|
|
|
|
|
|
|
|
|
The cost of the preferred stock is:
Where kps is the component cost of preferred stocks, Dps shows the fixed dividend payments and Pps the price of the security. The above equation is derived from the perpetuity valuation model with fixed cash flows for an infinite time period. The correct answer is B.
2.Soru
Which one of the following is the equation of (Net income of project + Depreciation)?
|
Externalities |
|
Opportunity cost |
|
Earnings before interest |
|
A project's cash flow |
|
Economic profit |
A project’s cash flow = Net income of project + Depreciation
3.Soru
What does k denote in the DCF equation above?
|
Cost of capital |
|
Cash inflow |
|
Cash outflow |
|
Cost of equity |
|
Cash flow |
In the DCF (discounted cash flow) equation, CFo is the cash inflow from the financing source at t=0, CFt is the cash outflow at time to the investors. The cash outflows can be interest or coupon payments, principal repayments and dividend payments according to the capital component employed. The cost of the capital component is denoted by k, which is the discount rate in the above equation. The correct answer is A.
4.Soru
How does debt financing work?
|
Debt financing occurs when a firm raises money for working capital or capital expenditures by issuing corporate bonds to raise debt financing. |
|
Firms use a mixture of debt and equity for raising the required funds to invest. |
|
Debt financing refers to the likelihood that a company will be unable to meet its debt obligations. |
|
Debt financing negatively affects the value of a firm. |
|
Dept financing refers to the use of a company's balance sheet assets, including short-term investments, inventory and accounts receivable, to borrow money or get a loan. |
Firms can either borrow from financial intermediaries such as banks or they can issue corporate bonds to raise debt financing. Debt financing occurs when a firm raises money for working capital or capital expenditures by issuing corporate bonds to raise debt financing.
5.Soru
- Debt securities are typically called notes, debentures, or bonds depending on their peculiarities.
- Issues with an original maturity of 10 years or less are often called bonds
- Longer-term issues are called notes.
- Long-term debt can be issued in two different forms, public-issue and privately-placed.
- Although the major terms and conditions are the same, under privately placed issues all of the bonds are sold to a single lender, not offered to the public.
Which of the above statements in terms of debt securities are correct?
|
I and II |
|
I, II and III |
|
I, IV and V |
|
I, II, IV and V |
|
II, III, IV and V |
Debt securities are typically called notes, debentures, or bonds depending on their peculiarities. Despite the fact that a bond is a secured debt, it generally refers to all kinds of secured and unsecured debt. The difference between notes and bonds is the original maturity. Issues with an original maturity of 10 years or less are often called notes, longer-term issues are called bonds.
As can also be understood from the information given the statements “Debt securities are typically called notes, debentures, or bonds depending on their peculiarities.”, “Long-term debt can be issued in two different forms, public-issue and privately-placed.” and “Although the major terms and conditions are the same, under privately placed issues all of the bonds are sold to a single lender, not offered to the public.” are correct, so the correct answer is C.
The statements “Issues with an original maturity of 10 years or less are often called bonds” and “Longer-term issues are called notes.” are not correct. . Issues with an original maturity of 10 years or less are often called notes, longer-term issues are called bonds.
6.Soru
What is the average cost of the mix of debt and equity?
|
Cost of capital |
|
Cost of debt |
|
Cost of equity |
|
Cost of common equity |
|
Mrginal cost of capital |
Every business requires capital to invest. Therefore, capital is the most important factor of production and the cost of capital is the most significant determinant in investment decisions. The cost of capital is the average cost of the capital mix (the mix of debt and equity in financing decisions). The correct answer is A.
7.Soru
Which of the followings is the main form that banks provide medium and long term funding?
|
Leasing. |
|
Project finance. |
|
Classical loans. |
|
Overdraft. |
|
Revolving credits. |
The main medium and long term funding provided by banks are in the form of Project Finance. Project finance is the process of financing a specific economic unit that the sponsors create, in which creditors share much of the venture’s business risk and funding is obtained strictly for the project itself. Therefore, the correct option is B.
8.Soru
Which capital structure theory advocates that a firm can boost its value by lowering its WACC, which is possible by increasing financial leverage in its capital structure?
|
Traditional approach |
|
Trade-off theory |
|
Net income approach |
|
Net Operating Income Approach |
|
Modigliani and Miller Capital Structure Theory |
The net income approach advocates that a firm can boost its value by lowering its WACC, which is possible by increasing financial leverage in its capital structure. In this approach, it is assumed that the cost of debt is always less than the cost of equity and that the increase in the debt ratio does not lead to a change in the risk perception of the investors. The correct answer is C.
9.Soru
What is net income approach?
|
The model assumes that the cost of debt, the weighted average cost of capital (WACC) and the value of the firm is irrespective of financial leverage. |
|
Net operating income is a calculation used to analyze the profitability of real estate investments that generate income. |
|
The net income approach is the proportion of debt and equity in which a corporate finances its business. |
|
The net income approach advocates that a firm can boost its value by lowering its the weighted average cost of capital (WACC), which is possible by increasing financial leverage in its capital structure. |
|
The income approach to measuring gross domestic product (GDP) is based on the accounting reality that all expenditures in an economy should equal the total incomegenerated by the production of all economic goods and services. |
The net income approach advocates that a firm can boost its value by lowering its he weighted average cost of capital-WACC, which is possible by increasing financial leverage in its capital structure. In this approach, it is assumed that the cost of debt is always less than the cost of equity and that the increase in the debt ratio does not lead to a change in the risk perception of the investors.
10.Soru
NEO Corp. has the following optimal capital structure:
- Long-term Debt 40%
- Preferred Stocks 30%
- Common Equity 60%
The interest rate on the company’s long-term borrowings is 10%. Preferred stockholders require 20% return on their investments and common shareholders are paid 12% on equity capital. The company has a tax rate of 35%. What is the WACC for NEO Corp.?
|
15.80% |
|
16.40% |
|
18.50% |
|
20.60% |
|
22.70% |
The cost of each capital component is weighed at the proportions in the capital structure to quantify the firm’s WACC.
, where wD is the weight of debt financing in the capital structure, kD is the cost component of debt funds, T is the tax rate, accordingly wPS is the weight of preferred stocks, kPS is its cost component, wCE is the weight of common equity and kCE is the cost of equity capital. Therefore;
WACC=0.40*0.10*(1-0.35)+0.30*0.20+0.60*0.12=0.1580
As it can be seen from the above calculation the WACC for A & B is 15.80%. The correct answer is A.
11.Soru
A corporation borrows $100,000 as a bank loan at an annual interest rate of 5%. The company pays 30% corporate tax rate. What is the after-tax rate of borrowing for this corporation?
|
0.025 |
|
0.030 |
|
0.035 |
|
0.040 |
|
0.045 |
If this corporation raises $100,000 as equity, there is no interest payment and the company pays $3,000 corporate taxes. However, in case of borrowing $100,000 at an interest rate of 5%, ABC pays $5,000 of interest which is deducted from the earnings which results in $1,500 of tax payments. By paying $5,000 interest, ABC waives from $1,500 tax payment. Therefore, the real cost of borrowing is $5,000-$1,500 which is $3,500. This can also be observed by the difference in the net income between the two financing options:
The correct answer is C.
12.Soru
Which of the following is not one of the approaches to measuring a project’s risks coming from various sources rather than in general manner?
|
Simulation analysis |
|
Real options analysis |
|
Scenario analysis |
|
Decision tree analysis |
|
Sensitivity analysis |
To measure a project’s risks coming from various sources rather than in general manner, further analysis is needed. Sensitivity, scenario and simulation and decision tree analyses are used for this purpose. Real options approach, however, refers to the options of managers about capital investment projects which can be priced by using stock option-pricing. The correct answer is B.
13.Soru
- They are issued without a maturity.
- The stockholder receives floating dividends that are deductible.
- In some ways, they resemble to bonds, in others to common stocks.
- Preferred dividends are paid out before the dividends to common stockholders.
Which of the above are the characteristics of preferred stocks?
|
I and II |
|
III and IV |
|
I, II and III |
|
I, III and IV |
|
II, III and IV |
Preferred stocks;
- are issued without a maturity (I),
- resemble to bonds in some ways, in others to common stocks (III),
- require preferred dividends to be paid out before the dividends to common stockholders (IV).
However, in preferred stocks, the stockholder receives fixed preferred dividends that are not deductible. The correct answer is D.
14.Soru
What is traditional approach of capital structure?
|
The traditional approach to capital structure suggests that there exist an optimal debt to cash ratio where the overall cost of capital is the minimum and market value of the firm is the maximum. |
|
Accounting for financial transactions can be classified into two types of approaches. One is the Traditional Approach and another one is the modern approach. |
|
Traditional management systems focus on goals and objectives that the senior management of the company establishes. |
|
An optimal capital structure is the best mix of debt, preferred stock and common stock that maximizes a company's stock price by minimizing its cost of capital. |
|
A traditional approach is an intermediate model, compromising between the net income approach and the net operating income approach. Traditional approach assumes an optimal capital structure where the weighted average cost of capital (WACC) is minimized and the value of the firm is maximized. |
A traditional approach is an intermediate model, compromising between the net income approach and the net operating income approach. Traditional approach assumes an optimal capital structure where the WACC is minimized and the value of the firm is maximized. The model suggests that up to a certain level of leverage, the use of debt financing reduces the WACC, but after that optimal level, the WACC escalates depressing the firm value. The cost of debt remains constant more or less up to a certain level, however, above that level, interest rate rises with the increase in the likelihood of financial distress.
15.Soru
Which of the following is not true about revolving loans?
|
With revolving credits, a limit of credit is set on the credit account of the borrower. |
|
The limits of credit and the is determined in a loan agreement. |
|
From concluding a loan contract till maturity date the borrower can draw the credit repeatedly within the limit. |
|
The limit of the credit is set as a debit of a company’s current account if the limit is overdrawn. |
|
The due date is determined in a loan agreement. |
With revolving credits, a limit of credit is set on the credit account of the borrower and both limits of credit and the due date are determined in a loan agreement. From concluding a loan contract till maturity date the borrower can draw the credit repeatedly within the limit. The bank overdraft is based on the same principle as the revolving loans, but the limit of the credit is set as a debit of a company’s current account. The correct answer is D.
16.Soru
In common stocks, what is the terms used to refer to the legal right of the existing shareholders?
|
Pre-emptive right |
|
Limited liability |
|
Residual claims on assets |
|
Right to control |
|
Voting rights |
Pre-emptive right: Equity shareholders have pre-emptive rights. The pre-emptive right is the legal right of the existing shareholders. It is attested by the company in the first opportunity to purchase additional equity shares in proportion to their current holding capacity. The correct answer is A.
17.Soru
What is the benchmark rate that represents the interest rate at which banks offer to lend funds to one another in the international interbank market for short-term loans?
|
Bond yield |
|
Risk premium |
|
Common equity |
|
LIBOR |
|
Risk free rate |
Banks borrow from international bank loans at floating rates and the index is almost always the LIBOR (London Interbank Offered Rate). LIBOR is a benchmark rate that represents the interest rate at which banks offer to lend funds to one another in the international interbank market for short-term loans. LIBOR is an average value of the interestrate which is calculated from estimates submitted by the leading global banks on a daily basis. The correct answer is D.
18.Soru
I. Short-term debt,
II. Long-term debt,
III. Depreciation,
IV. Retained earnings.
Which of the ones listed above is among the internal cash flow?
|
I & II. |
|
Only III. |
|
II & IV. |
|
I & IV. |
|
III & IV. |
In order to fund those uses, there exist two types of cash sources. Internal cash flow is generated from retained earnings and depreciation. External cash flow is generated from short-term borrowings and long-term debt and equity finance. As a general principle, short-term uses are proposed to be financed by short-term sources and vice versa. Long-term uses of cash are basically for funding the future of the company by new investments. Therefore, the correct option is E.
19.Soru
Which of the following equations is used to adjust the cost of equity to flotation costs?
|
|
|
|
|
|
|
|
|
|
Firms may also raise external equity capital by issuing new shares. In this case, the firm will have to incur some flotation (transaction) costs which will eventually raise the cost of equity. In order to adjust the cost of equity to flotation costs, we use the following equation:
where F shows the flotation costs incurred during the issue of the new shares. By incorporating the flotation costs in the model, the rise in the cost of equity after new stock offerings is accounted for. The correct answer is B.
20.Soru
Which of the following is an advantage of common stock?
|
Being irredeemable |
|
Obstacles in management |
|
lack of fixed dividend payment obligation |
|
Limited income to investor |
|
Loss of leverage contributions |
Advantages of Common Stock Common stock is the most common security to provide finance for the corporate. This way of financing has the following advantages:
Permanent sources of finance: Common stock is a long-term permanent nature of sources of finance; hence, it can be used for long-term or fixed capital requirement of the business.
No fixed dividend payment obligation: The issuance of common stock does not create any obligation to pay a fixed rate of dividend. If the company earns a profit, owners are eligible for profit, they are eligible to get dividend otherwise, and they cannot claim any dividend from the company.
Lower cost of capital: Cost of capital is the major factor, which affects the value of the company. A company with a strong capital base can secure funding less costly as the capital base is considered as a buffer for risks buy the debtors.
Retained earnings: When the company have more share capital, it will be suitable for retained earning which is the fewer cost sources of finance while compared to other sources of finance.
The correct answer is C.
-
- 1.SORU ÇÖZÜLMEDİ
- 2.SORU ÇÖZÜLMEDİ
- 3.SORU ÇÖZÜLMEDİ
- 4.SORU ÇÖZÜLMEDİ
- 5.SORU ÇÖZÜLMEDİ
- 6.SORU ÇÖZÜLMEDİ
- 7.SORU ÇÖZÜLMEDİ
- 8.SORU ÇÖZÜLMEDİ
- 9.SORU ÇÖZÜLMEDİ
- 10.SORU ÇÖZÜLMEDİ
- 11.SORU ÇÖZÜLMEDİ
- 12.SORU ÇÖZÜLMEDİ
- 13.SORU ÇÖZÜLMEDİ
- 14.SORU ÇÖZÜLMEDİ
- 15.SORU ÇÖZÜLMEDİ
- 16.SORU ÇÖZÜLMEDİ
- 17.SORU ÇÖZÜLMEDİ
- 18.SORU ÇÖZÜLMEDİ
- 19.SORU ÇÖZÜLMEDİ
- 20.SORU ÇÖZÜLMEDİ