Coğrafi Bilgi Sistemleri İçin Temel Geometri Ara 1. Deneme Sınavı
Toplam 18 Soru1.Soru
Aşağıdaki şekilde
CDB üçgeni eşkenar üçgen olduğuna göre x kaç derecedir?
|
25
|
|
30
|
|
35
|
|
40 |
|
45 |
CDB üçgeni eşkenar olduğundandir.
olur
den
olarak bulunur.
2.Soru
yönlü doğru parçasının uzunluğu ne ile gösterilir?
yönlü doğru parçasının uzunluğu ne ile gösterilir?
|
Hesaplanamaz |
|
Çarpma ile gösterilir, A x B |
|
Toplama ile gösterilir, A + B |
|
|
|
Bölme ile gösterilir, A / B |
ile gösterilir
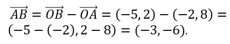
3.Soru
noktaları veriliyor. Bu bilgilere
göre, vektörünün koordinatları ne olur?
|
|
|
|
|
|
|
|
|
|
4.Soru
Aşağıdakilerden hangisi vektörler açısından doğru değildir?
|
|
|
|
|
|
|
|
|
|
+ (
+
) = (
+
) +
5.Soru
olduğuna göre
vektörü aşağıdakilerden hangisidir?
|
(10, 10) |
|
(5, 10) |
|
(-10,10) |
|
(-10,-10) |
|
(-5,5) |
olup
(-10, 10) elde edilir.
6.Soru
grafiği verilen fonksiyonun denklemi aşağıdakilerden hangisidir?
|
y=cot x |
|
y=tan x |
|
y=sin x |
|
y=cos x |
|
y=sec x |
Fonksiyonunu grafiğinde verilen ilgili değerleri sağlayan fonksiyon
y=tan x fonksiyonudur. Dolayısıyla Doğru Cevap B seçeneği olur.
7.Soru
Aşağıdaki şekle göre │AC│ uzunluğu bulunuz?
|
8 |
|
10 |
|
12 |
|
14 |
|
16 |
DC ┴ AC => 30-60-90 üçgeninden a= 8, AC=2(AD) => AC=16
8.Soru
Yukarıdaki şekilde verilen açısının ölçüsü π/3 olduğuna göre APB yayının uzunluğu kaç cm dir?
|
π/4
|
|
π/2
|
|
π
|
|
2π |
|
4π |
Yarıçapı 6cm olan çemberin uzunluğu 12π cm (2πr)'dir. 360 dereceye karşılık 12π cm ise 60 dereceye karşı gelen yay uzunluğu 2π cm'dir.
9.Soru
Aşağıdaki şekle göre m(BAC) açısı kaç derecedir?
|
40° |
|
50° |
|
60° |
|
70° |
|
80° |
m(DEC)=50+x olur. Diğer taraftan m(DEC)+m(ACD)=m(BDC) => (50+x)+30=140 => m(BAC)=60°'dir.
10.Soru
A= (1, 0, 1) aşağıdakilerden hangi vektör ile lineer bağımsızdır?
|
(1, 1, 0) |
|
(2, 0, 2) |
|
(3, 0, 3) |
|
(4, 0, 4) |
|
(6, 0, 6) |
(1, 1, 0) vektörü cinsinden ifade edilemediği için lineer bağımsızdır.
11.Soru
a = 2 + 4 sin x cos x ; a’nın en küçük değeri = ?
|
1 / 2 |
|
-1 / 2 |
|
0 |
|
-2 |
|
-1 |
a = -2 . 33. Doğru cevap D'dir.
12.Soru
Düzlemdeki her vektör, taban vektörlerinin ______________ olarak yazılabilir?
|
toplamı |
|
bir lineer birleşimi |
|
bir paralel vektör bileşkesi |
|
birim vektör toplamı |
|
kapalı vektör biçiminde |
Düzlemdeki her vektör, taban vektörlerinin bir lineer birleşimi olarak yazılabilir?
13.Soru
a, b, c : bir üçgenin iç açıları ; cos (a + b) + cos c = ?
|
1 |
|
-1 |
|
1 / 2 |
|
0 |
|
-1 / 2 |
x = 0. pg. 33. Doğru cevap D'dir.
14.Soru
işleminin sonucu aşağıdakilerden hangisidir?
|
|
|
|
|
|
|
|
|
|
15.Soru
ve
ise
‘in değeri aşağıdakilerden hangisidir?
|
|
|
|
|
|
|
|
|
|
den bir dik üçgende x dar açısının karşısındaki dik kenarı 1 ve hipotenüsü 5 birim alırsak diğer dik kenar uzunluğu Pisagor teoreminden
br.
br.
16.Soru
Karşı durumlu iki açının, açıortay doğruları arasındaki açı aşağıdakilerden hangi açı türüdür?
|
Tam açı |
|
Dik açı |
|
Doğru açı |
|
Dar açı |
|
Geniş açı |
Karşı Durumlu Açılar
α ve β karşı durumlu iki açının, açıortay doğruları arasındaki açının ölçüsü 90˚’dir
17.Soru
Yukarıdaki şekle göre ABCD paralelkenarının alanı aşağıdakilerden hangisidir?
|
|AB|.|CE| / 2 |
|
|AD|.|DC| |
|
|AE|.|CE| / 2 |
|
|AB|.|CE| |
|
|AB|.|BC| / 2 |
ABCD paralelkenarının alanı A(ABCD) ile gösterilirse, A(ABCD) = Taban x Yükseklik
A (ABCD) = |AB|.|CE| bağıntısı ile bulunur.
18.Soru
Çevre açı ve merkez açı aynı yayı görüyor ise, çevre açı merkez açının ............ olur. İfadesinde boş bırakılan yere hangisi gelmeldir?
|
Çeyreği |
|
Tamamı |
|
%20'si |
|
%75'i |
|
Yarısı |
Çevre açı ve merkez açı aynı yayı görüyor ise, çevre açı merkez açının yarısı olur. Doğru cevap E'dir.
-
- 1.SORU ÇÖZÜLMEDİ
- 2.SORU ÇÖZÜLMEDİ
- 3.SORU ÇÖZÜLMEDİ
- 4.SORU ÇÖZÜLMEDİ
- 5.SORU ÇÖZÜLMEDİ
- 6.SORU ÇÖZÜLMEDİ
- 7.SORU ÇÖZÜLMEDİ
- 8.SORU ÇÖZÜLMEDİ
- 9.SORU ÇÖZÜLMEDİ
- 10.SORU ÇÖZÜLMEDİ
- 11.SORU ÇÖZÜLMEDİ
- 12.SORU ÇÖZÜLMEDİ
- 13.SORU ÇÖZÜLMEDİ
- 14.SORU ÇÖZÜLMEDİ
- 15.SORU ÇÖZÜLMEDİ
- 16.SORU ÇÖZÜLMEDİ
- 17.SORU ÇÖZÜLMEDİ
- 18.SORU ÇÖZÜLMEDİ