Coğrafi Bilgi Sistemleri İçin Temel Geometri Ara 3. Deneme Sınavı
Toplam 18 Soru1.Soru
=(6,10) vektörünün
=(8,6) vektörü doğrultusundaki dik izdüşüm uzunluğu kaç birimdir?
|
6 |
|
8 |
|
10 |
|
12 |
|
14 |
Dik izdüşüm uzunluğu ve
vektörlerinin skaler çarpımlarının
vektörünün büyüklüğüne olan oranına eşittir.
ve B vektörlerinin skaler çarpımı
ve
vektörlerinin uzunluğu ve cos θ çarpımıdır. θ=90 derecedir.
2.Soru
Bir dik üçgende 90˚’nin karşısındaki kenar aşağıdakilerden hangisiyle adlandırılır?
|
Kenar ortay |
|
Açıortay |
|
Pisagor |
|
Hipotenüs |
|
Sinüs |
Bir açısının ölçüsü 90˚ olan üçgene dik üçgen denir. 90˚’nin karşısındaki kenara hipotenüs denir. Bir dik üçgende hipotenüse ait kenarortay, hipotenüs uzunluğunun yarısına eşittir
3.Soru
Bir üçgenin dış açıları için aşağıdakilerden hangisi doğrudur?
|
İç açıların toplamı dış açıların toplamına eşittir. |
|
Bir üçgenin bir köşesinin iç açısı ve dış açısının toplamı 360˚dir. |
|
Bir dış açı kendisine komşu olmayan iki iç açının toplamına eşittir. |
|
İkizkenar üçgende iç açılar dış açılara eşittir. |
|
Dış açıların toplamı her zaman geniş açıdır. |
Üçgenin Dış Açıları
İç açılara komşu ve bütünler olan açılar üçgenin dış açılarıdır ve dış açılar toplamı 360˚’dir (Şekil 1.19). Bir üçgenin herhangi bir
köşesinin iç açısı ve dış açısının toplamı 180˚’dir. Üçgenin temel elemanları, kenarları, köşeleri ve iç açılarıdır.
Bir üçgende dış açının ölçüsü, kendisine komşu olmayan iki iç açının ölçüleri toplamına eşittir.
4.Soru
Başlangıç noktası ve bitiş noktası belli olan doğru parçasına ne ad verilir?
|
Polygon |
|
Eğimsel açı |
|
Yönlü doğru parçası |
|
Eğilim |
|
Frekans |
Başlangıç noktası ve bitiş noktası belli olan doğru parçasına yönlü doğru parçası denir
5.Soru
radyanın derece cinsinde eşiti aşağıdakilerden hangisidir?
|
32 |
|
36 |
|
40 |
|
44 |
|
48 |
Radyanı dereceye çevirmek için
ile çarpmamız gerekmektedir. Bu çarpma işlemi sonucunda
radyan
derece olarak elde edilir. Buna göre Doğru Cevap E seçeneği olur.
6.Soru
=(5,x+2),
=(y+4,-12) ve
=
olduğuna göre x+y toplamı kaçtır?
|
-13 |
|
-11 |
|
11 |
|
13 |
|
-7 |
Birbirine eşit 0 orijinli iki vektörün x ve y koordinarları da birbirine eşittir
7.Soru
dir.
|
25
|
|
30
|
|
40
|
|
45 |
|
50 |
ABC üçgeninde olduğundan
eşit olup
dir.
olur.
(yöndeş oldukları için).
Buna göre üçgeninde
den
olarak bulunur.
8.Soru
Ölçüsü ile arasında olan bir açıya ne ad verilir?
|
Dik açı
|
|
Geniş açı
|
|
Dar açı
|
|
Doğru açı |
|
Tam açı |
Açılar ölçülerine göre gruplandırılırlar. Ölçüsü 180˚ olan açıya doğru açı denir. Ölçüsü 360˚ olan açıya tam açı denir. Ölçüsü 0˚ile 90˚ arasında olan bir açıya dar açı, ölçüsü 90˚ olan açıya dik açı ve ölçüsü 90˚ile 180˚ olan açıya da geniş açı denir.
9.Soru
olduğuna göre A, B, C, D’nin işaretleri sırasıyla aşağıdakilerden hangisidir?
|
|
|
|
|
|
|
|
|
|
birim çemberde
2. Bölgede olduğu için işareti +.
2. Bölgede olduğu için işareti, -.
3. Bölgede olduğu için işareti, +.
4. Bölgede olduğu için işareti – dir.
10.Soru
- Çizgi
- Nokta
- Poligon
- Düzlem
Yukarıdakilerden hangisi coğrafi bilgi sistemlerinde kullanılan grafik (konum) verilerini oluşturan elemanlardandır?
|
I ve II |
|
II ve IV |
|
I, II ve III |
|
II, III ve IV |
|
I, II, III ve IV |
Coğrafi bilgi sistemlerinde kullanılan grafik (konum) verileri, nokta, çizgi ve poligon tipi vektör verilerinden oluşur. Konum verileri, coğrafi verinin belirli bir referans sistemine göre yerini ve biçimini belirten koordinat veya piksel değerleridir. Doğru cevap C’dir.
11.Soru
Şekilde yer alan P noktası nasıl gösterilir?
|
P(x,z,0) |
|
P(0,z) |
|
P(x,z) |
|
P(x,y,z) |
|
P(x,0,y,0,z) |
12.Soru
ise
ise x kaç derecedir?
|
50
|
|
55
|
|
60
|
|
65 |
|
70 |
Yukarıdaki gibi nin zıt ışını
çizilirse
dir.
den
13.Soru
olduğuna göre 6xy aşağıdakilerden hangisidir?
|
9 |
|
10 |
|
11 |
|
12 |
|
13 |
olduğuna göre
olur. Buradan 6xy=10 elde edilir.
14.Soru
Aşağıdakilerden hangisi grad cinsinden tam açının ölçüsüdür?
|
100 |
|
200 |
|
300 |
|
360 |
|
400 |
Grad bir açı ölçü birimidir. Özellikle haritacılıkta açı ölçü birimi olarak kullanılır. Tam açı 400 grad olarak tanımlanır. Doğru cevap E’dir.
16.Soru
Başlangıç noktaları aynı doğrultuları farklı olan iki ışının birleşimine ______ denir.
|
Işın |
|
Açı |
|
Paralellik |
|
Yarı doğru |
|
Poligon |
Başlangıç noktaları aynı doğrultuları farklı olan iki ışının birleşimine açı denir.
17.Soru
Aşağıdakilerden hangisi 5 temel açı çeşidinden biri değildir?
|
Dar açı |
|
Dik açı |
|
Geniş açı |
|
Ortay açı |
|
Doğru açı |
Açı Çeşitleri
5 temel açı çeşidi vardır. Bunlar:
• Dar açı
• Dik açı
• Geniş açı
• Doğru açı
• Tam açı
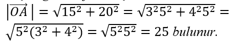
18.Soru
|
5 |
|
10 |
|
15 |
|
20 |
|
25 |
Başlangıcı orijin bitiş noktası A olan vektörün uzunluğu
-
- 1.SORU ÇÖZÜLMEDİ
- 2.SORU ÇÖZÜLMEDİ
- 3.SORU ÇÖZÜLMEDİ
- 4.SORU ÇÖZÜLMEDİ
- 5.SORU ÇÖZÜLMEDİ
- 6.SORU ÇÖZÜLMEDİ
- 7.SORU ÇÖZÜLMEDİ
- 8.SORU ÇÖZÜLMEDİ
- 9.SORU ÇÖZÜLMEDİ
- 10.SORU ÇÖZÜLMEDİ
- 11.SORU ÇÖZÜLMEDİ
- 12.SORU ÇÖZÜLMEDİ
- 13.SORU ÇÖZÜLMEDİ
- 14.SORU ÇÖZÜLMEDİ
- 15.SORU ÇÖZÜLMEDİ
- 16.SORU ÇÖZÜLMEDİ
- 17.SORU ÇÖZÜLMEDİ
- 18.SORU ÇÖZÜLMEDİ