Coğrafi Bilgi Sistemleri İçin Temel Geometri Final 5. Deneme Sınavı
Toplam 11 Soru1.Soru
- Köşegenler birbirlerini ortalar.
- Köşegenler birbirini dik ortalar.
- Köşegenlerin kenarlarla yaptığı açılar 45˚’dir.
- Farklı kenarlarının birleştiği köşelerdeki açıları eşittir.
- Bütün açıları 90˚’dir.
Yukarıda yer alan ifadelerden hangileri karenin özelliklerindendir?
|
I ve II |
|
I, II ve V |
|
II, III ve V |
|
III, IV ve V |
|
I, II, III, IV ve V |
Bütün kenar uzunlukları eşit ve bütün açıları 90˚olan dörtgene kare denir. Karenin köşegenleri birbirini dik ortalar. Köşegenlerin kenarlarla yaptığı açılar 45˚’dir. Bu bilgilerden de anlaşıldığı gibi doğru cevap C’dir. “Köşegenler birbirlerini ortalar.” şeklinde ifade edilen özellik dikdörtgenin özelliğidir. “Farklı kenarlarının birleştiği köşelerdeki açıları eşittir.” Olarak ifade edilen özellik ise deltoidin özelliklerindendir.
2.Soru
Düşey mesafe ile yatay mesafenin oranlanması ile yüzey eğimi açısının hangi değeri bulunur?
|
Sinüs
|
|
Kosinüs
|
|
Tanjant
|
|
Kotanjant
|
|
Yüzde
|
3.Soru
Aşağıdaki bilgilerden hangisi kontur ve eş eğriler için yanlış olarak verilmiştir?
|
Düzlük olan arazi bölgeleri uçakların veya helikopterlerin acil durumda inebilmesi için saptanabilirler. |
|
Yükseklik, sıcaklık, nem, kirlilik veya atmosferik basınç için oluşturulabilirler. |
|
Çizgiler girdi olarak verilen sabit değerdeki hücreleri birbirine bağlar. |
|
Yükseklik için izohips, basınç için izobar, sıcaklık için izoterm çizgileri şeklinde adlandırılırlar. |
|
Kontur çizgilerinin dağılımı o yüzeydeki verilerinin nasıl değiştiği hakkında bilgi verir. |
Kontur ve Eş Eğri (Contour)
Konturlar aynı değerdeki sürekli verileri birbirine bağlayan çizgilere veya eğrilere verilen isimdir. Yükseklik, sıcaklık, nem, kirlilik veya atmosferik basınç için oluşturulabilirler. Çizgiler girdi olarak verilen sabit değerdeki hücreleri birbirine bağlar. Kontur çizgileri sıklıkla izo-çizgileri olarak isimlendirilirler ama aynı zamanda genellikle gösterdikleri değerin ismine göre isimlendirilirler. Örneğin, yükseklik için izohips, basınç için izobar, sıcaklık için izoterm çizgileri şeklinde adlandırılırlar.
Eş yükseklik eğrilerinin sıklığının çok olduğu yerler eğimin hızla değiştiğini, sıklığın az olduğu yerler ise daha yavaş eğim değişikliğini ifade etmektedir. Elde edilen her bir eş eğri için öznitelik bilgisi ortaya çıkmaktadır.
Kontur çizgilerinin dağılımı o yüzeydeki verilerinin nasıl değiştiği hakkında bilgi verir. Değerlerde çok az bir değişim var ise çizgiler birbirinden daha uzak olacaklardır. Eğer
değişim fazla ise çizgiler daha sık ve birbirlerine yakın olurlar. Kontur yaratma araçları
olan; Contour, Contour List ve Contour with Barriers, raster girdisi üzerinden polyline
shapefile yaratmak için kullanılmaktadır.
4.Soru
Çemberin özelliklerine ilişkin aşağıdakilerden hangisi yanlıştır?
|
Bir çemberin merkezinden herhangi bir kirişine indirilen dikme, kirişi ortalar. |
|
Bir çemberde veya eş çemberlerde, eş kirişlerin merkeze uzaklıkları eşittir. |
|
Bir çemberde merkeze yakın olan kirişlerin uzunlukları daha fazladır. |
|
Bir çemberin dışındaki bir noktadan sonsuz teğet çizilebilir. |
|
Çemberin dışındaki nokta ve teğet değme noktaları arasındaki doğru parçalarının |
Bir çemberin dışındaki bir noktadan en çok iki teğet çizilebilir. Dolayısıyla D seçeneği yanlıştır.
5.Soru
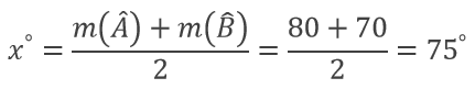
Şekildeki ABCD dörtgeninde [DP] ve [CP] iç açıortay, olduğuna göre
x açısı kaç derecedir?
|
65 |
|
70 |
|
75 |
|
80 |
|
85 |
Bir çokgenin iç açılarının toplamı şu şekilde bulunur:
6.Soru
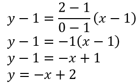
Aşağıdaki doğrulardan hangisi (1,1) ve (0,2) noktalarından geçen doğrunun denklemidir?
|
y=-x+1 |
|
y=x+2 |
|
y=-x+2 |
|
y=x+3 |
|
y=2x+1 |
Düzlemde iki noktası bilinen doğru denkleminden
olarak elde edilir
7.Soru
Aşağıdakilerden hangisi ya da hangileri Bakı Aracı kullanma nedenleri ile ilgilidir?
I. Bir bölgede yaşam çeşitliliğini araştırma amacı ile her konum için güneş aydınlanması miktarı hesaplanabilir.
II. Telefon baz istasyonu çekim alanı için kurulacak antenlerin görünürlüğünü sağlayacak en uygun yer seçimi hesapları yapılabilir.
III. En iyi kayak yapılabilecek yamaç bilgilerini seçmek için bir dağın kuzeye bakan tüm yamaçları bulunabilir.
|
Yalnız I
|
|
Yalnız II
|
|
Yalnız III
|
|
I ve III |
|
II ve III |
II. ifade Görünürlük analizi ile hesaplanabilir.
8.Soru
Gözlem noktasından görülebilen alanlar hangi renkle gösterilmiştir?
|
Mavi |
|
Yeşil |
|
Mor |
|
Kırmızı |
|
Sarı |
Gözlem noktasından görülemeyen alanlar “0” değerinde kırmızı renkle, görülebilen alanlar ise “1” değerinde yeşil renkle gösterilmiştir.
9.Soru
elipsinin odak noktalarının orijine olan uzaklığı aşağıdakilerden hangisidir?
|
9 |
|
11 |
|
13 |
|
15 |
|
17 |
Merkezi orijinde olan elipslerin denklemleri genel olarak;
biçiminde ifade edilmektedir. Verilen elips denkleminden;
olarak bulunur. Bu durumda odak noktalarının orijine olan uzaklıkları 13 birim olup Doğru Cevap C seçeneği olur.
10.Soru
Gölgeli kabartmada kullanılan gri ölçeğin değerleri aşağıdaki aralıklardan hangisiyle temsil edilir?
|
0-100 |
|
0-255 |
|
0-10 |
|
0-25 |
|
0-150 |
Gölgeli kabartma 0’dan 255’e kadar olan gri ölçeğin değerleriyle temsil edilir.
11.Soru
Herhangi bir çokgenin iç bölgesinde alınan, herhangi iki noktanın birleşmesiyle oluşan doğru parçası çokgeni kesiyor ise bu tür çokgenler aşağıdakilerden hangisidir?
|
Konkav çokgen |
|
Konveks çokgen |
|
Yıldızıl çokgen |
|
Poligonal Çokgen |
|
Ortay Çokgen |
Herhangi bir çokgenin iç bölgesinde alınan, herhangi iki noktanın birleşmesiyle oluşan doğru parçası çokgeni kesiyor ise bu tür çokgenlere içbükey çokgen (konkav) denir.