Coğrafi Bilgi Sistemleri İçin Temel İstatistik Ara 13. Deneme Sınavı
Toplam 20 Soru1.Soru
Sturges Kuralı'na göre gruplandırılmış seri oluştururken aşağıdakilerden hangisinin bilinmesi gereği yoktur?
|
Örneklenen veri sayısı |
|
Grup sayısı |
|
Veri setindeki en küçük değer |
|
Veri setindeki en büyük değer |
|
Veri seti aritmetik ortalaması |
Sturges Kuralı'na göre gruplandırılmış seri oluştururken yapılan hesaplamar için aritmetik ortalamayı bilmeye gerek yoktur. Örneklenen veri sayısı, grup sayısı, veri setindeki en büyük ve en küçük değere bağlı olarak gruplandırılmış seri aralıkları Sturges Kuralı'na göre oluşturulur.
2.Soru
Aşağıdakilerden hangisi dağılım ölçüsü değildir?
|
Standart Sapma |
|
Değişkenlik Katsayısı |
|
Varyans |
|
Değişkenlik Aralığı |
|
Medyan |
Medyan bir dağılım ölçüsü değildir.
3.Soru
işleminin sonucu kaçtır?
|
6 |
|
16 |
|
46 |
|
47 |
|
56 |
Gerekli işlemler yapıldığında
elde edilir.
4.Soru
Yukarıdaki basit serinin kareli ortalaması kaçtır?
|
0 |
|
2,4 |
|
3,2 |
|
3,4 |
|
4,2 |
Verilen serinin kareli ortalaması
olarak hesaplanır.
5.Soru
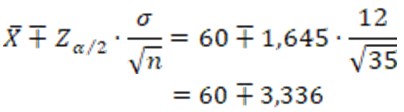
Bir ana kütleden çekilen 35 bireylik örnek kütlenin ortalaması 60 ve standart sapması 12’dir. Seçilen bu örneğe göre, %90 güvenirlik seviyesi için ortalamanın güven aralığı hangisidir?
|
|
|
|
|
|
|
|
|
|
olduğuna göre,
olduğundan istenen güven aralığı
olarak elde edilir.
6.Soru
Sayısal olarak ifade edilemeyen, özellik bakımından doğal olarak sınıflandırılmış ve kesin hatlarla birbirinden ayrılan serilere ne ad verilir?
|
Zaman serileri |
|
Mekan serileri |
|
Kalitatif seriler |
|
Biportit seriler |
|
Triportit seriler |
Sayısal olarak ifade edilemeyen, özellik bakımından doğal olarak sınıflandırılmış ve kesin hatlarla birbirinden ayrılan serilere kalitatif (nitel seriler) adı verilir.
7.Soru
Aşağıda verilen basit serinin değişim aralığı ve standart sapması hangi seçenekte doğru olarak verilmiştir?
|
|
|
|
|
|
|
|
|
|
Bu serinin değişim aralığı
olarak hesaplanır. Standart sapmanın hesaplanması için önce serinin aritmetik ortalamasını hesaplayalım:dir. Buna göre
olduğundan
biçiminde hesaplanır.
8.Soru
Seriyi oluşturan verilere sabit bir sayı eklendiğinde veya çıkarıldığında değeri değişmeyen ölçü olarak adlandırılan kavram aşağıdakilerden hangisidir?
|
Dağılım ölçüsü |
|
Merkezi eğilim ölçüsü |
|
Ortalama ölçü |
|
Temsili değer ölçüsü |
|
Ortanca ölçü |
Dağılım ölçüsü, seriyi oluşturan verilere sabit bir sayı eklendiğinde veya çıkarıldığında değeri değişmeyen ölçüdür.
9.Soru
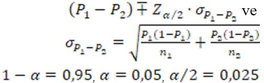
İki ayrı ekskavatörün günlük fiili çalışma randımanlarını karşılaştırmak için örneklemeler yapılmış ve aşağıdaki veriler elde edilmiştir: gün,
gün,
%95 güven seviyesi için bu ekskavatörün fiili çalışma randıman (oran) farklarının güven aralığının üst sınırı kaçtır?
|
0,225 |
|
0,234 |
|
0,265 |
|
0,284 |
|
0,296 |
olduğundan büyük örnekleme söz konusudur. İki ana kütlenin oran farklarının güven aralığını
güvenilirlikle hesaplayabilmek için şu eşitlikleri kullanırız:
olduğundan dır.Buna göre,
bulunur.
10.Soru
20 kişinin katıldığı bir yarışmada ilk üç dereceye girenler farklı şekillerde ödüllendirileceklerdir. Yarışma kaç değişik şekilde sonuçlanabilir?
|
6840 |
|
6700 |
|
6500 |
|
6200 |
|
5840 |
Örnekte sıra önemli olduğuna göre permütasyon uygulanması gerekir.P=20!/(20-3)! P=20!/17!= 20.19.18.17!/17!=6840
11.Soru
Aşağıdaki ifadelerden hangisi yanlıştır?
|
Standart hatayı küçültmek için mümkün olduğunca örnek kütle boyutunu küçük seçmek gerekir. |
|
Güven aralığının sınırları, ana kütleden alınacak n birimlik her örnek kütle için değişebilir. |
|
Güven aralığı ne kadar dar olursa, tahmin ana kütle parametresine o kadar yakın olur. |
|
Güven aralığının daralması, örnek kütle için hesaplanacak standart hatanın küçük olmasına bağlıdır. |
|
Güven aralığının daralması, güven seviyesinin küçük seçilmesine bağlıdır. |
Standart hatayı küçültmek için mümkün olduğunca örnek kütle boyutunu küçük değil büyük seçmek gerekir.
12.Soru
"Ana kütleyi oluşturan birimler çok geniş bir alana yayılmış ise, tüm coğrafik alanlardan örnekleme yapmak zaman ve bütçe açısından mümkün olmayabilir. Bu durumda, ana kütleyi tüm özellikleriyle temsil edebilecek dar bir alandan örnekleme yapılması gerekebilir."
Yukarıda tanımı verilen örnekleme yöntemi aşağıdakilerden hangisidir?
|
Rassal Olmayan Dilim Örneklemesi |
|
Kota Örneklemesi |
|
Basit Rassal Örnekleme |
|
Sistematik Rassal Örnekleme |
|
Küme Örnekleme |
A
13.Soru
Bir otel işletmesi otelde konaklayan misafirlerin memnuniyetini araştırmak için 100 bireye ait örnekleme yapmış ve memnuniyet oranı ortalamasını %70 olarak bulmuştur. Bu otelin memnuniyet oranı için %95 güvenilirlikle güven aralığı sınırları hangisidir?
|
|
|
|
|
|
|
|
|
|
,
’dür. Ana kütle varyansı bilinmemekle birlikte,
olduğundan, ana kütle oranı standart sapması şöyle hesaplanır:
olduğundan
’dır. O halde, güven sınırları
eşitliği ile şöyle hesaplanır:
14.Soru
Aşağıda verilen gruplandırılmış serinin modu kaçtır?
|
4,6 |
|
5,6 |
|
6,6 |
|
7,6 |
|
8,6 |
En büyük frekansı (30) içeren mod grubu 6-8 olduğundan, bu mod grubu dikkate alınarak gerekli değerleri belirleyelim:
olduğuna göre, bu serinin modu
olarak elde edilir.
15.Soru
Standart sapması 14,8 ve aritmetik ortalaması 42,5 olan bir dağılımın değişkenlik katsayısı kaçtır?
|
0,35 |
|
0,45 |
|
1,35 |
|
2,87 |
|
2,95 |
olduğundan, değişkenlik katsayısı
şeklinde hesaplanır.
16.Soru
Bir tramvay durağından 30 dakikada ortalama 3 metro geçmektedir. Buna göre 1 saat içinde 2’den fazla tramvay geçme olasılığı kaçtır?
|
%90,81 |
|
%92,81 |
|
%93,81 |
|
%95,81 |
|
%98,81 |
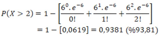
30 dakikada 3 tramvay geçiyorsa 1 saatte 6 tramvay geçmektedir. O halde ’dır.1 saat içinde 2 den fazla tramvay geçme olasılığı
olduğuna göre
bulunur.
17.Soru

Yukarıda verilen basit serinin kareli ortalaması kaçtır?
|
2,77 |
|
6,42 |
|
6 |
|
44 |
|
52 |
Basit serilerde kareli ortalama formulü ile hesaplanır. Bu durumda kareli ortalama;
olarak hesaplanır.
18.Soru
Aşağıda verilen sınıflandırılmış serinin aritmetik ortalaması kaçtır?
|
20 |
|
22 |
|
24 |
|
28 |
|
30 |
Hesaplanan ve frekanslar toplamı
olduğuna göre, aritmetik ortalama
elde edilir.
19.Soru
Aşağıdaki örnekleme yöntemlerinden hangisi diğerlerinden farklıdır?
|
Kota Örnekleme |
|
Basit Rassal Örnekleme |
|
Sistematik Rassal Örnekleme |
|
Küme Örnekleme |
|
Tabaklı Örnekleme |
A
20.Soru
Örnek kütlelerin aritmetik ortalamaları dağılımının standart sapması olarak tanımlanan kavram aşağıdakilerden hangisidir?
|
Standart hata |
|
Varyans |
|
Değişkenlik katsayısı |
|
Çarpıklık katsayısı |
|
Basıklık katsayısı |
Örnek kütlelerin aritmetik ortalamaları dağılımının standart sapması hesaplandığında bulunan değere standart hata denir.
-
- 1.SORU ÇÖZÜLMEDİ
- 2.SORU ÇÖZÜLMEDİ
- 3.SORU ÇÖZÜLMEDİ
- 4.SORU ÇÖZÜLMEDİ
- 5.SORU ÇÖZÜLMEDİ
- 6.SORU ÇÖZÜLMEDİ
- 7.SORU ÇÖZÜLMEDİ
- 8.SORU ÇÖZÜLMEDİ
- 9.SORU ÇÖZÜLMEDİ
- 10.SORU ÇÖZÜLMEDİ
- 11.SORU ÇÖZÜLMEDİ
- 12.SORU ÇÖZÜLMEDİ
- 13.SORU ÇÖZÜLMEDİ
- 14.SORU ÇÖZÜLMEDİ
- 15.SORU ÇÖZÜLMEDİ
- 16.SORU ÇÖZÜLMEDİ
- 17.SORU ÇÖZÜLMEDİ
- 18.SORU ÇÖZÜLMEDİ
- 19.SORU ÇÖZÜLMEDİ
- 20.SORU ÇÖZÜLMEDİ