Coğrafi Bilgi Sistemleri İçin Temel İstatistik Ara 5. Deneme Sınavı
Toplam 20 Soru1.Soru
Gerçekte var olmayan, gelecekte oluşturulabilecek birimlerden oluşan kütleye ne ad verilir?
|
Sonlu kütle |
|
Varsayımsal kütle |
|
Sürekli kütle |
|
Süreksiz kütle |
|
Doğal kütle |
Gerçekte var olmayan, gelecekte oluşturulabilecek birimlerden oluşan kütleye varsayımsal kütle denir.
2.Soru
Bir insanın nadir olarak görülen MS (Multipl Skleroz) hastalığına yakalanma olasılığının hesaplanmasında aşağıdaki dağılımlardan hangisini kullanmak daha doğrudur?
|
Binom Dağılımı |
|
Normal Dağılım |
|
Poisson Dağılımı |
|
Standart Normal Dağılım |
|
Lognormal Dağılım |
Belirli bir zaman aralığında, bir alanda ya da hacimde nadir rastlanan olayların olasılık dağılımları, Poisson dağılımı ile daha kolay açıklanabilmektedir.
3.Soru
Aşağıda verilen basit serinin medyanı kaçtır?
|
23 |
|
34 |
|
32 |
|
18 |
|
41 |
Veri sayısı n=5 tek olduğundan, (5+1)/2=3 üncü gözlem değeri olan 32 medyandır.
4.Soru
Aşağıda bir işletmenin 5 gün boyunca yaptığı satışlar listelenmiştir. Bir haftalık satış sayısının harmonik ortalamasını nedir?
|
4 |
|
3 |
|
2 |
|
5 |
|
6 |
| Gün | Satılan Ürün Sayısı | ||
| Pazartesi | 4 | 0.25 | |
| Salı | 5 | 0.2 | |
| Çarşamba | 10 | 0.1 | |
| Perşembe | 2 | 0.5 | |
| Cuma | 5 | 0.2 | |
| 1.25 | 4 |
5.Soru
X normal dağılmış sürekli bir değişken,olduğuna göre,
nedir?
|
0.5 |
|
0.4938 |
|
0.0054 |
|
0.6915 |
|
0.6853 |
X=16 için ve X=22 için
olduğundan,
olur.
6.Soru
800 öğrencisi olan bir okulda, 40 öğrenci seçilerek bir araştırma yapılmak istenmektedir. Bu araştırma için büyütme faktörü (k) kaçtır?
|
20 |
|
25 |
|
30 |
|
35 |
|
40 |
N=800 ve n=40 olduğundan büyütme faktörü k=800/40=20 olur.
7.Soru
Normal dağılımlı bir ana kütleden rassal olarak oluşturulan 49 birimlik örnek kütle verileri yardımıyla örneklem ortalaması 25, standart sapma değeri ise 4 olarak hesaplanmıştır. %95 güven seviyesinde ana kütle ortalaması için alt güven sınırı değeri kaçtır?
|
23,88 |
|
21,22 |
|
20,58 |
|
19,05 |
|
13,52 |
8.Soru
Örneklemelerde elde edilen ham verilerin, elde edildikleri ya da gözlendikleri sıra ile veya küçükten büyüğe ya da büyükten küçüğe sıralanması ile oluşturulan serilere ne ad verilir?
|
Basit Seri |
|
Mekan Serisi |
|
Zaman Serisi |
|
Sınıflandırılmış Seri |
|
Gruplandırılmış Seri |
A
9.Soru
Ortalaması µ ve varyansı ?² olan bir ana kütleden her seferinde n birey içerecek şekilde yapılan büyük örneklemelerde, örnek kütlelerin aritmetik ortalamaları dağılımının standart sapması hesaplandığında bulunan değer aşağıdakilerden hangisiyle ifade edilmektedir?
|
Varyans |
|
Regresyon |
|
Korelasyon |
|
Standart hata |
|
Kartil |
Ortalaması µ ve varyansı ?² olan bir ana kütleden her seferinde n birey içerecek şekilde yapılan büyük örneklemelerde, örnek kütlelerin aritmetik ortalamaları dağılımının standart sapması hesaplandığında bulunan değer standart hata olarak ifade edilmektedir.
10.Soru
İki ayrı ana kütle ortalamaları arasındaki farkların alt ve üst sınırlarının işaretleri dikkate alındığında “Birinci ana kütlenin ortalaması ikinciden büyüktür” yorumunu yapabilmek için AGS ve ÜGS değerlerinin işaretleri aşağıdakilerden hangisi gibi olmalıdır?
|
AGS = - ve ÜGS = - |
|
AGS = - ve ÜGS = + |
|
AGS = + ve ÜGS = - |
|
AGS = + ve ÜGS = + |
|
AGS=ÜGS |
AGS = + ve ÜGS = + ise “Birinci ana kütlenin ortalaması ikinciden büyüktür”
11.Soru
Merkezi dağılım ölçüleri ile ilgili aşağıdaki seçeneklerden hangisi yanlıştır?
|
Değişkenlik aralığı küçük ise homojen, büyük ise heterojen gruptur. |
|
Değişkenlik aralığı ile standart sapma arasında doğrusal ilişki vardır. |
|
Standart sapması küçük olan gruplarda değişkenlik aralığı da küçüktür. |
|
Standart sapma ortalamadan ne kadar uzakta olduğunu, varyans ise ortalamaya göre yayılmanın büyüklüğünü gösterir. |
|
Medyan merkezi dağılım ölçüsüdür. |
2, 2, 3, 4, 4, 4, 5, 5, 6, 7, 8, 10 (12 kişilik bir sınıfta) DA=10-2= 8 (büyük)
“NOT: Değişkenlik aralığına büyük ya da küçük olarak yargıda bulunulması için o seride alınabilecek en yüksek değerin yarısı bulunur. Eğer DA bulunan bu değerden büyük ise büyük, küçük ise küçük yargısına varılır.”
Bu dizide sınıftaki öğrencilerin notları olsun. Alınabilecek en yüksek not 10 ise bunun yarısı 5 dir. 8≥5 0lduğu için büyük diyebiliriz. Görüldüğü gibi başarılı öğrenci de var başarısız öğrencide vardır. Yani grup heterojen gruptur.
7, 7, 7, 7, 8, 8, 8, 8, 8, 9, 9, 10
DA=10-7=3 3≤5 olduğundan DA na küçük ve homojen grup diyebiliriz. Çünkü öğrencilerin notları birbirine çok yakındır. A seçeneği doğru
2, 2, 3, 4, 4, 4, 5, 5, 6, 7, 8, 10 serisinin ortalaması 5 standart sapması 8 bulunur.
7, 7, 7, 7, 8, 8, 8, 8, 8, 9, 9, 10 serisinin ortalaması 8 standart sapması 3,16 bulunur. Karşılaştırma yaparsak B seçeneği doğru
2, 2, 3, 4, 4, 4, 5, 5, 6, 7, 8, 10 serisinin ortalaması 5 standart sapması 8 ve DA da 8 bulunur.
7, 7, 7, 7, 8, 8, 8, 8, 8, 9, 9, 10 serisinin ortalaması 8 standart sapması 3,16 ve DA da 3 bulunur. Görüldüğü gibi standart sapma küçük ise DA da küçük, standart sapma büyük ise DA da büyüktür.
Varyans, rassal örneklenmiş verilerin aritmetik ortalamaya göre farklarının karelerinin toplamının ortalaması olup, verilerin ortalamadan sapmasını ve ortalamaya göre yayılmanın büyüklüğünü gösteren bir ölçüdür. varyans ortalamaya göre yayılmanın büyüklüğünü gösterir. Varyansın kareköküne de standart sapma denilir. Ortalamadan olan uzaklığı temsil eder. D seçeneği doğru
Medyan merkezi dağılım ölçüsü değil merkezi eğilim ölçüsüdür.
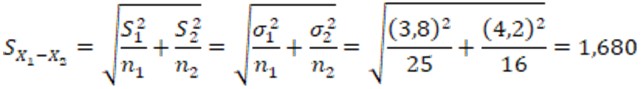
12.Soru
Standart sapmaları ve
olan iki ayrı ana kütlenin ilkinden 25 diğerinden 16 bireylik rassal örnek alınıyor. Buna göre,
farkları olasılık dağılımının standart hatası kaçtır?
|
1,28 |
|
1,38 |
|
1,48 |
|
1,58 |
|
1,68 |
elde edilir.
13.Soru
Bir okulda kız ve erkek öğrenciler arasında başarı ortalamaları ile ilgili bir araştırma yapılıyor. Bu amaçla 100 kız ve 100 erkek öğrenci seçiliyor. Kız öğrencilerin başarı ortalaması 78, standart sapması 10, erkek öğrencilerin başarı ortalaması 62, standart sapması 12 olarak bulunuyor. %95 güvenilirlikle ana kütle ortalaması farklarının güven aralığı değerleri nedir?
|
AGS=12,938 ÜGS=19,062 |
|
AGS=11,980 ÜGS=20,020 |
|
AGS=11,480 ÜGS=20,520 |
|
AGS=13,420 ÜGS=18,580 |
|
AGS=10,600 ÜGS=21,400 |
14.Soru
Ana kütleden çekilecek örnek kütlelerin parametrelerinin beklenen değerinin ana kütle parametresine eşit olması aşağıdakilerden hangisiyle ifade edilmektedir?
|
Yanlılık |
|
Sapmasızlık |
|
Yeterlilik |
|
Etkinlik |
|
Tutarlılık |
Sapmasızlık: Ana kütleden çekilecek örnek kütlelerin parametrelerinin beklenen değerinin ana kütle parametresine eşit olmasına denir.
15.Soru
Normal dağılım hangi bilim insanı tarafından geliştirilmiştir?
|
Carl Friedrich Gauss |
|
Tschbyshev |
|
Thomas Bayes |
|
Jacobu Bernoulli |
|
Blaise Pascal |
Normal dağılım 19. yüzyılın başlarında Carl Friedrich Gauss isimli bilim insanı tarafından astronomi alanında yaptığı çalışmalar sırasında geliştirilmiştir.
16.Soru
Aşağıdakilerden hangisi istatiksel anlamda sonsuz kütleye bir örnektir?
|
Anadolu üniversitesine kayıtlı öğrenciler |
|
Türkiyedeki motorlu taşıtlar |
|
Marmara denizinde yaşayan balıklar |
|
Eskişehir ilindeki öğretmenler |
|
Bir hastanede çalışan doktorlar |
Marmara denizinde yaşayan balıkları sonlu sayıda saymak mümkün değildir.
17.Soru
n>20 ve p<0,10 olduğu durumlarda, aşağıdaki dağılımlardan hangisini kullanmak tercih edilmelidir?
|
Poisson Dağılımı |
|
Bernoulli Dağılımı |
|
Lognormal Dağılım |
|
Sürekli Dağılım |
|
Normal Dağılım |
Genellikle n>20 ve p<0,10 olduğu durumlarda,Poisson Dağılımı kullanmak tercih edilir.
18.Soru
Bir gıda fabrikasında üretilen bisküvilerin üretim hattından rassal olarak alınan 36 paketin ağırlık ortalaması 124 gr ve standart sapması 12 gr olarak hesaplanmıştır. Bu bilgilere dayanarak %90 güven düzeyinde ana kütlenin ortalamasının alt sınırı aşağıdakilerden hangisinde verilmiştir?
|
122,71 |
|
120,71 |
|
120,08 |
|
118,85 |
|
127,29 |
dir ve
olduğunda
19.Soru
Nokta tahmin hatasının sıfır olması durumu, nokta tahmin hatasının hangi özelliğidir?
|
Yeterlilik |
|
Tutarlılık |
|
Etkinszilik |
|
Sapmasızlık |
|
Tutarsızlık |
Nokta tahmin hatasının sıfır olması durumuna tutarlılık denir. Böyle bir durumda örnek kütle boyutunun ana kütle boyutuna yaklaşması ve tam sayım yapıldığı demektir.
20.Soru
Normal bir seride ortalamalar arasındaki büyüklük ilişkisi nasıldır?
(K: Kareli, A: Aritmetik, G: Geometrik, H: Harmonik)
|
K>A>G>H |
|
H>A>G>K |
|
A>K>G>H |
|
K<A<G<H |
|
K<A<G<H |
Normal bir seride ortalamalar arasında aşağıdaki gibi bir büyüklük ilişkisi vardır.
(K: Kareli, A: Aritmetik, G: Geometrik, H: Harmonik)
K>A>G>H
-
- 1.SORU ÇÖZÜLMEDİ
- 2.SORU ÇÖZÜLMEDİ
- 3.SORU ÇÖZÜLMEDİ
- 4.SORU ÇÖZÜLMEDİ
- 5.SORU ÇÖZÜLMEDİ
- 6.SORU ÇÖZÜLMEDİ
- 7.SORU ÇÖZÜLMEDİ
- 8.SORU ÇÖZÜLMEDİ
- 9.SORU ÇÖZÜLMEDİ
- 10.SORU ÇÖZÜLMEDİ
- 11.SORU ÇÖZÜLMEDİ
- 12.SORU ÇÖZÜLMEDİ
- 13.SORU ÇÖZÜLMEDİ
- 14.SORU ÇÖZÜLMEDİ
- 15.SORU ÇÖZÜLMEDİ
- 16.SORU ÇÖZÜLMEDİ
- 17.SORU ÇÖZÜLMEDİ
- 18.SORU ÇÖZÜLMEDİ
- 19.SORU ÇÖZÜLMEDİ
- 20.SORU ÇÖZÜLMEDİ