Coğrafi Bilgi Sistemleri İçin Temel İstatistik Final 2. Deneme Sınavı
Toplam 20 Soru1.Soru
İki boyutlu Öklid uzaklık denkleminde x1 ve y1 neyi ifade eder?
|
Düzlem |
|
Doğru |
|
Uzay |
|
Köşe |
|
Açı |
İki boyutlu Öklid uzaklık denkleminde x1 ve y1 düzlem koordinatlarıdır. Doğru cevap A'dır.
2.Soru
İki değişken arasında herhangi bir ilişki yoksa, aşağıdakilerden hangisi korelasyon katsayısı olabilir?
|
0 |
|
-0.1 |
|
+0.1 |
|
-0.5 |
|
-0.7 |
a
3.Soru
Bir değişken değeri için beş noktadan örnek alınmış, A noktasından alınmamıştır. Aşağıdaki verilere göre, en yakın üç komşu nokta kullanılarak elde edilen A’nın yaklaşık değişken değeri nedir?
|
9.1 |
|
9.8 |
|
10.1 |
|
11 |
|
12.6 |
A ya en yakın üç nokta S1 ,S3 ve S4 noktalarıdır. d(S1, A) = 5, d(S3, A)= 15, d(S4, A) = 12, Z(S1) = 10 ve Z(S3) = 11, Z(S4) = 16 olduğundan, olur.
4.Soru
Genellikle topoğrafik yüzeylerin düzenli grid (kare) ağlar şeklinde modellenmesinde kullanılan yöntem nedir?
|
En küçük kareler yöntemi |
|
En yakın komşu yöntemi |
|
Yüzey trend analizi |
|
Uzaklığın tersi ile ağırlıklandırma yöntemi |
|
Kriging tahmin yöntemi |
Yüzey trend analizi yöntemi, genellikle topoğrafik yüzeylerin düzenli grid (kare) ağlar şeklinde modellenmesinde kullanılan yöntemdir.
5.Soru
Güçlü matematiksel temelleri olması nedeniyle jeoistatistiğin ilk uygulamalarından sonra hangileri kullanılmaya başlanmış olabilir ?
I- Yağışların tahmini
II- Birbirine bağımlı değişimler
III- Demografik değişimler
|
I |
|
I-III |
|
II-III |
|
I-II-III |
|
I-II |
Jeoistatistiğin ilk uygulamaları, maden yataklarından
alınan bölgesel değişkenlik gösteren tenör, kalori ve kalınlık gibi örnek değerleri ile örneklenmemiş noktaların değerlerinin kestirilmesi ve maden yataklarında rezerv tahmini yapılması çalışmalarından oluşmuştur. Ancak, daha sonra güçlü matematiksel
temelleri olması nedeniyle jeoistatistik, demografik değişimler, çevre ve iklim değişimlerinin izlenmesi, yağışların tahmini, tarımsal hasat tahmini, bitki, orman,
zemin ve toprak alanlarındaki değişimlerin izlenmesi ve haritalanması çalışmalarında kullanılmaya başlanmıştır.
Doğru cevap B şıkkıdır.
6.Soru
Aşağıdakilerden hangisi “sıfır hipotezi”nin karşılığıdır?
|
Karşıt hipotez |
|
Araştırma hipotezi |
|
Örnek kütleden elde edilen parametrelerin ana kütleyle uyumlu olduğunu iddia eden hipotez |
|
Örnek kütleden elde edilen parametrelerin ana kütleyle uyumlu olmadığını iddia eden hipotez |
|
Anlamlı fark hipotezi |
Örnek kütleden elde edilen parametrelerin ana kütleyle uyumlu olduğunu iddia eden hipotez sıfır hipotezi olarak adlandırılmaktadır.
7.Soru
Aşağıda verilenlerden hangileri Nokta Tahmininin sahip olması gereken özelliklerindendir?
I) Tutarlılık
II) Sapmazlık
III) Rassallık
|
I-II |
|
Yalnızca I |
|
Yalnıcza II |
|
II-III |
|
I-III |
A
8.Soru
Bir kibrit üreticisinin kibrit paketlerinde 50 adet kibritten az olduğu iddia ediliyorsa sıfır hipotezi aşağıdakilerden hangisi olur?
|
x¯ = µ = 50 |
|
x¯ < µ = 50 |
|
x¯ > µ = 50 |
|
x¯ < µ = 49 |
|
x¯ > µ = 49 |
A
9.Soru
Uzaklığın tersi ile ağırlıklandırma yöntemindeki üssel değer (p) için aşağıdakilerden hangisi yanlıştır?
|
Eşitlikteki p değeri azaldıkça, örnek noktalarına atanan ağırlık değerleri birbirine yaklaşır. |
|
Eşitlikteki p değeri arttıkça, örnek noktalarına atanan ağırlık değerleri farklılaşır. |
|
En yüksek ağırlık değeri en yakın örnek için atanır. |
|
Genellikle p değeri 1 veya 2 olarak kullanılır. |
|
Eşitlikteki p değeri azaldıkça, örnek noktaların sayısı azalır. |
p değeri ile örnek nokta sayısı arasında böyle bir ilişki kuramayız.
10.Soru
İki farklı şirket tarafından üretilen ve
gibi iki farklı yazıcı modelinin sabit mürekkep miktarıyla kağıt baskı sayılarının farklı olduğu iddia ediliyor. Bu iddiayı kanıtlamak için şirketlerin yazıcılarından örnekler alınmış ve 12 adet
model yazıcının kartuş başına ortalama 9200 sayfa (
) ve 14 adet
model yazıcının kartuş başına ortalama 9205 sayfa
kağıt basabildiği görülmüştür. Buna göre, test istatistiği değeri kaçtır?
|
15,123 |
|
16,123 |
|
17,123 |
|
18,123 |
|
19,123 |
Eldeki verilere göre olduğundan
bulunur.
11.Soru
Mühendislik ve eğitim bilimlerinde genellikle kullanılan anlamlılık düzeyi aşağıdakilerden hangisinde doğru olarak verilmiştir?
|
%0.05 |
|
%1 |
|
%2.5 |
|
%5 |
|
%10 |
%5
12.Soru
Bir şeker fabrikasının ürettiği şeker paketlerinin üzerinde ağırlığının 20 kg ve standart sapmanın 0,75 kg olduğu yazmaktadır. Ancak, şeker paketlerinin 20 kg’dan daha az olduğu iddia edilmektedir. Bu iddia, 45 paket örnek üzerinde test edilmiş ve örnek paketlerin ortalama ağırlığı 18,5 kg olarak hesaplanmış olduğuna göre, test istatistiğinin değeri ()kaçtır?
|
10,4 |
|
11,4 |
|
12,4 |
|
13,4 |
|
14,4 |
dir.
elde edilir.
Buradan
bulunur.
13.Soru
Okul öncesi eğitim veren bir kurumda çocuklara öğle yemeğinde 558 kalorilik yemek verilmektedir. Ancak veliler daha düşük kaloride yemek verildiğini iddia etmektedirler. Bu amaçla tesadüfi olarak 60 gün seçilmiş ve bu günlerde verilen yemeklerin ortalama kalori miktarı 550 kalori ve standart sapması da 10 kalori bulunmuştur. Velilerin iddiasını %5 anlamlılık düzeyine göre test ediniz. Problemin çözümü için hesaplanan test istatistiği değeri kaç olur?
|
6,197 |
|
5,823 |
|
4,258 |
|
3,879 |
|
1,960 |
14.Soru
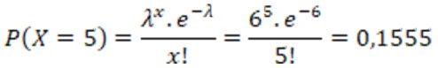
Bir matbaada basılan her 1000 kitap içinden 2 tanesinde baskı hatası bulunmaktadır. Bu matbaada 3000 kitabın basıldığı bir ay içinde 5 kitabın baskı hatasıyla basılma olasılığı kaçtır?
|
%14,25 |
|
%14,55 |
|
%15,55 |
|
%16,45 |
|
%17,55 |
Örnek kütle boyutu ve
olduğuna göre Poisson dağılımından
olmak üzere)
elde edilir. Bu da %15,55 olasılığı verir.
15.Soru
Varyansların testinde red bölgesinin tanımlanmasında ve test istatistiğinin hesaplanmasında hangi dağılım kullanılır?
|
Normal dağılım |
|
Binom dağılımı |
|
Student t dağılımı |
|
F dağılımı |
|
Khi-kare |
Varyansların testinde red bölgesinin tanımlanmasında ve test istatistiğinin hesaplanmasında Khi-kare dağılışından yararlanılmaktadır. Red bölgesinin tanımlanmasında, öncelikle belirli bir a anlamlılık düzeyi ve v = n – 1 serbestlik derecesi için
dağılımı çizelgelerinden, red bölgesi sınırını ifade eden teorik test istatistiği değeri belirlenir.
16.Soru
Anlamlılık düzeyi dikkate alınarak sıfır hipotezinin kabulü için tanımlanan bölge aşağıdakilerden hangisiyle ifade edilmektedir.
|
Anlam bölgesi |
|
Varlık bölgesi |
|
Red bölgesi |
|
Gri bölge |
|
Kabul bölgesi |
Anlamlılık düzeyi dikkate alınarak sıfır hipotezinin kabulü için tanımlanan bölge kabul bölgesidir.
17.Soru
Aşağıdakilerden hangisi Semi-variogramın başlangıç noktası civarında gösterdiği davranışlardan biridir?
|
İç düzey davranış, |
|
Kavramsal davranış |
|
Dış düzey davranış, |
|
Parabolik davranış, |
|
Anizotropik davranış |
Parabolik davranış Semi-variogramın başlangıç noktası civarında gösterdiği davranışlardan biridir
18.Soru

Yukarıda sınıflandırılmış serinin aritmetik ortalaması kaçtır?
|
4 |
|
5 |
|
6 |
|
7 |
|
8 |
Aritmetik ortalama, tüm terimlerin toplamının terim sayısına bölümüdür. Bu durumda tüm terimlerin toplamı, 3*3+4*2+5*2+6*4+7*1+9*2+10*2= 9+8+10+24+7+18+20=96 olarak hesaplanır. Terim sayısı ise 3+2+2+4+1+2+2=16 dır.
Aritmetik ortalama= 96/16=6 olarak bulunur.
19.Soru
Uzaklığın tersi ile ağırlıklandırma yönteminde, belirli uzaklıktaki gözlem değerlerinin hesaplanmasında hangi parametre kullanılır?
|
Hariç Tutma Açısı |
|
Eşik Değer |
|
Külçe Etki Oranı |
|
Etki Mesafesi |
|
Varyans |
Uzaklığın tersi ile ağırlıklandırma yönteminde, belirli uzaklıktaki gözlem değerlerinin hesaplanmasında etki mesafesi parametresi kullanılır.
20.Soru
| Konumsal Koordinatlar (m) | |||
| İstasyon | (X) | (Y) | Karbondioksit |
| 1 | 4075 | 2345 | 50 |
| 2 | 4160 | 2370 | 15 |
| 3 | 4200 | 2340 | 65 |
| 4 | 4180 | 2325 | 30 |
| 5 | 4150 | 2310 | 70 |
Bir kent merkezinde 5 ayrı istasyonda Ocak ayında ölçülen karbondioksit miktarları yukarıdaki çizelgedeki gibidir. En yakın komşu yöntemi kullanılarak ve en yakın iki komşu noktaya göre kent merkezinde (X=3900 , Y=2325) koordinatlarında bulunan hastane (SH) civarında karbondioksit miktarı ne olabilir?
|
61.2 |
|
50 |
|
15 |
|
20 |
|
67.4 |
a
-
- 1.SORU ÇÖZÜLMEDİ
- 2.SORU ÇÖZÜLMEDİ
- 3.SORU ÇÖZÜLMEDİ
- 4.SORU ÇÖZÜLMEDİ
- 5.SORU ÇÖZÜLMEDİ
- 6.SORU ÇÖZÜLMEDİ
- 7.SORU ÇÖZÜLMEDİ
- 8.SORU ÇÖZÜLMEDİ
- 9.SORU ÇÖZÜLMEDİ
- 10.SORU ÇÖZÜLMEDİ
- 11.SORU ÇÖZÜLMEDİ
- 12.SORU ÇÖZÜLMEDİ
- 13.SORU ÇÖZÜLMEDİ
- 14.SORU ÇÖZÜLMEDİ
- 15.SORU ÇÖZÜLMEDİ
- 16.SORU ÇÖZÜLMEDİ
- 17.SORU ÇÖZÜLMEDİ
- 18.SORU ÇÖZÜLMEDİ
- 19.SORU ÇÖZÜLMEDİ
- 20.SORU ÇÖZÜLMEDİ