Coğrafi Bilgi Sistemleri İçin Temel İstatistik Final 4. Deneme Sınavı
Toplam 20 Soru1.Soru
İki değişken arasında artan bir doğrusal ilişki varsa, aşağıdakilerden hangisi regresyon denkleminin eğimi olabilir?
|
+0.5 |
|
-0.5 |
|
-0.3 |
|
-0.2 |
|
0 |
a
2.Soru
Bir işyerinde çalışan personelin %60’dan fazlasının evli olduğu iddiasını test etmek amacıyla rassal olarak 25 personelin 12’sinin evli olduğu belirlenmiştir. Ana kütle ve örnek kütle ortalamaları arasındaki farkların dağılımının standart hatası olduğuna göre test istatistiği değeri kaçtır?
|
0,65 |
|
0,76 |
|
0,85 |
|
0,96 |
|
1,05 |
Soruda verilen verilere göre olduğundan
elde edilir.
3.Soru
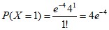
Bir mağazaya Cumartesi günleri 5 dakikada ortalama olarak 4 müşteri gelmektedir. Bir Cumartesi günü bu mağazaya, 5 dakika içinde 1 müşteri gelmesi olasılığını, kaçtır?
|
1 |
|
2 |
|
3 |
|
4 |
|
5 |
? = 4 P ( x = 1 ) = ?=4
4.Soru
Arama kapsama alanı içerisindeki örnek nokta sayısının 4’ün altında olması, kriging yöntemiyle yapılacak tahminlerde ne gibi sonuçlar verebilir?
|
Tutarlı |
|
Yanıltıcı |
|
Kusursuz |
|
Gerçekçi |
|
Belirsiz |
Örnek nokta sayısının 15 veya 16 olması ideal durumdur. Alan içindeki örnek nokta sayının 4 ve altında olması yanıltıcı sonuçlar verecektir.
5.Soru
Serpilme diyagramında işaretlenen noktalar aynı çizgi üzerinde bulunduğu ve bir değişken artarken diğerinin de arttığı bir durum için aşağıdakilerden hangisi yanlıştır?
|
Değişkenler arası ilişki pozitif yönlüdür. |
|
Değişkenler arasında artan bir ilişki vardır. |
|
Değişkenler arasında güçlü bir ilişki vardır. |
|
Değişkenler arasında doğrusal bir ilişki vardır. |
|
Serpilme diyagramında noktaların dağılımı herhangi bir yönde değişim göstermez. |
Serpilme diyagramında işaretlenen noktalar aynı çizgi üzerinde bulunuyorsa, değişkenler arasında kesin veya güçlü bir ilişki vardır.
6.Soru
Güven aralığı tahminlerinde (1 - ?) aşağıdakilerden hangisiyle ifade edilmektedir?
|
Anlamlılık düzeyi |
|
Güven düzeyi |
|
Serbestlik düzeyi |
|
Hata düzeyi |
|
İstisna düzeyi |
Güven aralığı tahminlerinde (1 - ?) güven düzeyi olarak ifade edilmektedir.
7.Soru
İçme suyu standardında kurşun miktarı en fazla 10 mg/lt olmalıdır. Bez fabrikası atıklarının içme suyu kaynağını kirlettiğinden şüphe edilmektedir. Bu amaçla yılın her bir ayında birer kez (12 kez) içme kaynağından su örnekleri alınmış, kurşun miktarı ortalaması 11,5 mg/lt ve standart sapması 4 mg/lt olarak bulunmuştur. Fabrika atıklarının suyu kirletip kirletmediği %5 anlamlılık düzeyine göre test edildiğinde hesaplanacak standart hata değeri kaçtır?
|
1,15 |
|
1,80 |
|
2,00 |
|
2,40 |
|
2,98 |
8.Soru
Jeoistatistiksel yöntemlerde, konumsal değişkenler arasında belirli bir uzaklığa ve yöne bağlı bir bölgeselleşmiş ilişki aşağıdakilerden hangisi ile açıklanır?
|
Variogram fonksiyonu, |
|
Yersellik fonksiyonu |
|
Devamlılık fonksiyonu |
|
Veri fonksiyonu |
|
Geçişlilik fonksiyonu |
Jeoistatistiksel yöntemlerde, konumsal değişkenler arasında belirli bir uzaklığa ve yöne bağlı bir bölgeselleşmiş ilişki "Variogram fonksiyonu" ile açıklanır.
9.Soru
Bir çikolata paketleme üretim hattından rassal olarak seçilen 11 örnek paketin ağırlıklarının standart sapması 10 gr. bulunmuştur. Bu paketleme ana kütlesindeki varyansın % 99 alt güven sınırı (AGS) kaçtır?
|
60,62 |
|
55,55 |
|
80,64 |
|
45,46 |
|
54,64 |
n=11, s=10 s2=100
(1 - α) = 0,90, α = 0,10, α / 2 = 0,05, n = 11 ⇒ v = n - 1 = 11 - 1 = 10 α / 2 = 0,05 ve v = 10 için Khi-kare çizelgesinden;
10.Soru
Küresel Semi-Variogram parametreleri, a=70 m, ve C = 4(%Zn)2 olan bir değişken için, konumsal olarak aralarında 20 m mesafe bulunan iki nokta arasındaki ortalama semi-variogram aşağıdakilerden hangisidir?
|
4 |
|
3.688 |
|
2.101 |
|
1.5 |
|
1.668 |
ve h=20 olduğundan,
olarak bulunur.
11.Soru
Belirlilik katsayısı r2'nin 1'e yakın bir değer alması durumunda aşağıdakilerden hangisi doğrudur?
|
Regresyon denkleminin gözlem değerlerinin fazlasıyla uyumlu olduğu ve çok iyi açıklayabildiği |
|
Regresyon denkleminin gözlem değerlerinin fazlasıyla uyumlu olduğu ancak iyi açıklayamadığı |
|
Regresyon denkleminin gözlem değerlerinin çok az uyumlu olduğu ve çok az açıklayabildiği |
|
Regresyon denkleminin gözlem değerlerinin orta derecede uyumlu olduğu ve orta derecede açıklayabildiği |
|
Regresyon denkleminin gözlem değerleriyle arasında çoklu bağlantı problemi olduğu |
Belirlilik katsayısının sıfır (r2R2=0) olması durumunda değişkenler arasında hiçbir ilişki olmadığı, bir (r2=1) olması durumunda ise değişkenler arasında tam bir ilişki olduğu kararına varılır. r2’nin değeri 1,0’a yaklaştıkça belirlilik artar ve değişkenler arası ilişki güçlenir, 0’a yaklaştıkça ise belirsizlik artar ve değişkenler arası ilişki zayıflar.
12.Soru
Hariç tutma açısı, uzaklığın tersi ile ağırlıklandırma yönteminde hangi gözlem noktalarını hesaplamaya dahil eder.
|
En yakın noktaları |
|
En uzak gözlem değerlerini |
|
Etki mesafesindeki gözlem değerlerini |
|
Hariç tutma açısının taradığı alanda bulunan gözlem değerlerini |
|
Hariç tutma açısının taradığı alanda bulunan gözlem değerlerinin sadece en yakında olanı |
Hariç tutma açısının taradığı alanda bulunan gözlem değerlerinin sadece en yakında olanı dahil etmektedir.
13.Soru
Hariç tutma açısı parametresi ile ilgili verilen bilgilerden hangisi doğrudur?
|
En yakın komşu yönteminin bir parametresidir. |
|
Yüzey trend analizinin güvenilirliğini arttırır. |
|
Uzaklığın tersi ile ağırlıklandırma yönteminde tüm gözlem değerlerinin kullanılmasını sağlar. |
|
Tek yönde ortaya çıkacak fazla ağırlık değerinin oluşturacağı yanıltıcı sonuçları önler. |
|
Belirli mesafeden daha uzakta olan noktaların hesaplamalara dahil edilmemesini sağlar. |
Uzaklığın tersi ile ağırlıklandırma yönteminde tahmin değerlerini önemli ölçüde etkileyen, eşitlikte tanımlanmayan parametreler bulunmaktadır. Bu parametrelerin en önemlilerinden biri “etki mesafesi”dir. Etki mesafesi, belirli uzaklıktaki gözlem değerlerinin hesaplamada kullanılabileceğini ifade eder. Etki mesafesinden daha uzakta olan noktalar hesaplamalara dahil edilmez. Bu parametrelerin bir diğeri “hariç tutma açısı”dır. Bu parametre sayesinde hariç tutma açısının süpürdüğü alanda bulunan gözlem değerlerinin sadece en yakında olanı hesaplamaya dahil edilmektedir. Böylece tek yönde ortaya çıkacak fazla ağırlık değerinin meydana getireceği yanıltıcı sonuçlardan kaçınılmış olacaktır.
14.Soru
(3,5) koordinatının (23,20) koordinatına olan uzaklığı nedir?
|
15 |
|
25 |
|
35 |
|
45 |
|
55 |
d2 = (23-3)2 +(20-15)2
d=25
15.Soru
Ana kütle ortalamasının 42’den farklı olup olmadığını test etmek amacıyla 19 bireylik örnekleme yapılmış olup, örnek kütlenin ortalaması 33 ve standart sapması 6 olarak bulunmuştur. Bu verilerle, teorik test istatistiği 2,131 ve hesaplanan test istatistiği 2,121 bulunduğuna göre, ana kütle ortalaması hakkında ne karar verilebilir?
|
Ana kütle ortlaması 42'ye eşittir. |
|
Ana kütle ortlaması 42'den büyüktür. |
|
Ana kütle ortlaması 42'den küçüktür. |
|
Ana kütle ortlaması 33'e eşittir. |
|
Ana kütle ortlaması 33'den büyüktür. |
Test istatistiği teorik değerden küçük olduğu için sıfır hipotezi reddedilemez. Ana kütle ortlaması 42'ye eşittir denir.
16.Soru
Aşağıdakilerden hangisi değişken değeri bilinmeyen noktalarda tahmin yapabilmek için kullanılan yöntemlerden biri değildir?
|
En Yakın Komşu Yöntemi |
|
Yüzey Trend Analizi |
|
Normal Dağılım |
|
Uzaklığın Tersi ile Ağırlıklandırma Yöntemi |
|
Kriging Tahmin Yöntemi |
Normal Dağılım, değişken değeri bilinmeyen noktalarda tahmin yapabilmek için kullanılan yöntemlerden biri değildir.
17.Soru
Anlamlılık düzeyi dikkate alınarak sıfır hipotezinin kabulü için tanımlanan bölgeye ne ad verilir?
|
Red bölgesi |
|
Anlamlı bölge |
|
Kabul bölgesi |
|
Sıfır bölgesi |
|
Araştırma bölgesi |
Anlamlılık düzeyi dikkate alınarak sıfır hipotezinin kabulü için tanımlanan bölgeye Kabul bölgesi adı verilir.
18.Soru
Kriging yönteminde arama kapsamı içindeki örnek nokta sayısının ideal olarak hesaplama yapabilmek için kaç olması gerekir?
|
2 |
|
4 |
|
16 |
|
10 |
|
12 |
Arama kapsama alanı içerisindeki örnek nokta sayısının 15 veya 16 olması ideal bir durumdur. Bu alan içindeki örnek nokta sayısı 4’ün altında olursa, kriging yöntemiyle yapılacak tahminler yanıltıcı sonuçlar verebilmektedir (Tüysüz ve Yaylalı, 2005).
19.Soru
Y=aXb denklemiyle aşağıdakilerden hangisi ifade edilmektedir?
|
Varyans |
|
Basit doğrusal regresyon |
|
Kareli regresyon |
|
Üstel regresyon |
|
Rank |
Y=aXb üstel regresyonu ifade etmektedir.
20.Soru
Örneklenen 12 adet veri ile oluşturulan seride, gözlem değeri toplamı 132 ise serinin aritmetik ortalaması kaçtır?
|
11 |
|
12 |
|
13 |
|
14 |
|
15 |
Aritmetik Ortalama=132/12=11 olur.
-
- 1.SORU ÇÖZÜLMEDİ
- 2.SORU ÇÖZÜLMEDİ
- 3.SORU ÇÖZÜLMEDİ
- 4.SORU ÇÖZÜLMEDİ
- 5.SORU ÇÖZÜLMEDİ
- 6.SORU ÇÖZÜLMEDİ
- 7.SORU ÇÖZÜLMEDİ
- 8.SORU ÇÖZÜLMEDİ
- 9.SORU ÇÖZÜLMEDİ
- 10.SORU ÇÖZÜLMEDİ
- 11.SORU ÇÖZÜLMEDİ
- 12.SORU ÇÖZÜLMEDİ
- 13.SORU ÇÖZÜLMEDİ
- 14.SORU ÇÖZÜLMEDİ
- 15.SORU ÇÖZÜLMEDİ
- 16.SORU ÇÖZÜLMEDİ
- 17.SORU ÇÖZÜLMEDİ
- 18.SORU ÇÖZÜLMEDİ
- 19.SORU ÇÖZÜLMEDİ
- 20.SORU ÇÖZÜLMEDİ