Coğrafi Bilgi Sistemleri İçin Temel İstatistik Final 8. Deneme Sınavı
Toplam 20 Soru1.Soru
- x¯ < µ = 12
- x¯ > µ = 12
- x¯
? µ = 12
? µ = 12Yukarıda verilen hipotezlerden hangileri x¯ = µ = 12 hipotezine karşıt hipotez olarak kullanılabilir?
|
1,2 ve 3 |
|
Yalnızca 2 |
|
Yalnızca 3 |
|
1 ve 3 |
|
Yalnızca 1 |
A
2.Soru
N adet gözlemin kullanıldığı doğrusal regresyonda, t dağılışının serbestlik derecesi (v) nedir?
|
v=n+2 |
|
v=n+1 |
|
v=n |
|
v=n-1 |
|
v=n-2 |
Doğrusal regresyon eşitliğinin iki adet parametresi (a ve b) olduğundan, t dağılışının serbestlik derecesi v = n - 2 olur.
3.Soru
"Türkiye'deki güvercinlerin sayısı" aşağıdaki istatistiksel kütlelerden hangisine örnektir?
|
Sonsuz kütle |
|
Sonlu kütle |
|
Varsayımsal kütle |
|
Sürekli kütle |
|
Alt kütle |
Bir kütleyi oluşturan birimler sayılabiliyor olmakla birlikte tamamını sayabilmek mümkün değil ise bu tür kütlelere sonsuz kütle denilir.
4.Soru
........................ tarafından ............ yılından itibaren geliştirilmeye başlanmış olan jeoistatistik, farklı nicelikte ve duyarlılıktaki veri örneklerinin birbiri arasındaki konumsal ilişkisini göz önünde bulunduran uygulamalı istatistik bilim dalıdır.
Yukarıdaki boşluklara aşağıdaki şıklardan hangisi gelmelidir?
........................ tarafından ............ yılından itibaren geliştirilmeye başlanmış olan jeoistatistik, farklı nicelikte ve duyarlılıktaki veri örneklerinin birbiri arasındaki konumsal ilişkisini göz önünde bulunduran uygulamalı istatistik bilim dalıdır.
Yukarıdaki boşluklara aşağıdaki şıklardan hangisi gelmelidir?
|
George Matheron - 1963 |
|
George Micheal - 1991 |
|
George Orwell - 1950 |
|
George Martin - 1975 |
|
George Bush - 2000 |
George Matheron tarafından 1963 yılından itibaren geliştirilmeye başlanmış olan jeoistatistik, farklı nicelikte ve duyarlılıktaki veri örneklerinin birbiri arasındaki konumsal ilişkisini göz önünde bulunduran uygulamalı istatistik bilim dalıdır.
5.Soru
İki ayrı fabrikada üretilen lastiklerin ortalama aşınma sürelerinin karşılaştırılmak istediği bir araştırmada, fabrikalardan rassal olarak seçilen 50 ve 70 birimlik iki ayrı örneklem için ortalama aşınma süreleri arasındaki fark 12000 km ve ortalama farklar örnekleme dağılımının standart hatası 7500 km olduğuna göre test istatistiğinin değeri nedir?
|
1,45 |
|
1,60 |
|
1,91 |
|
2,30 |
|
2,45 |
Test istatistiği = 12000/7500 = 1,6
6.Soru
En küçük kareler yöntemi ile ’yinci dereceden polinom denklemi ile değişken değeri bilinmeyen noktalar için tahmin yapılan yöntem hangisidir?
|
Kiging yöntemi |
|
Uzaklığın tersi ile ağırlıklandırma yöntemi |
|
Yüzey trend analizi |
|
En yakın komşu yöntemi |
|
Polinomlar yöntemi |
Yüzey trend analizi yönteminde öncelikle, örnek noktalarının değişken değerleri ile iki boyutlu veya (xi , yi) üç boyutlu (xi , yi , zi) konumsal koordinatları dikkate alınarak, en küçük kareler yöntemiyle p’inci dereceden polinom denklemi elde edilmektedir. Elde edilen denklem yardımıyla da, değişken değeri bilinmeyen noktalar için tahminler yapılmaktadır.
7.Soru
Bir araştırma raporuna göre üniversitelerde öğrencilerin kitap okuma oranı ortalamasının %60 olduğu belirtilmektedir. Ancak kitap fuarlarının artması, kitap fiyatlarının ucuzlaması gibi etkenlerle bu oranın arttığı iddia edilmektedir. Bu amaçla 100 öğrenci seçilmiş ve 70 kişi kitap okuduklarını söylemiştir. İddianın doğru olup olmadığı %5 anlamlılık düzeyinde test edildiğinde hesaplanan test istatistiği kaçtır?
|
2,04 |
|
2,87 |
|
2,90 |
|
3,47 |
|
4,58 |
8.Soru
Bir kolonya şişeleme fabrikasında şişelenen ürünlerden 50 ml'lik şişelerin içinde 50 ml'den az kolonya olduğu iddia ediliyorsa H0 hipotezi aşağıdakilerden hangisi olur?
|
x¯ = µ = 50ml |
|
x¯ = µ = 40ml |
|
x¯ < µ = 50ml |
|
x¯ > µ = 50ml |
|
x¯ = µ = 49 ml |
A
9.Soru
Aşağıdakilerden hangisi örnekten elde edilen bilgilere dayalı olarak belirli bir güvenirlik düzeyinde, ileri sürülen iddianın doğruluğunun test edilmesine verilen genel addır?
|
Çift taraflı test |
|
Hipotez testi |
|
Karar verme |
|
Tek taraflı test |
|
Varyansların testi |
Genel olarak hipotezler, bir durum hakkında ileri sürülen varsayımlardır. İstatistiksel anlamda hipotezler ise ana kütlenin durumu hakkında ileri sürülen iddiaların, örnek küle olasılık dağılım modeline göre araştırılmasıdır. Hipotez testinde, örnekten elde edilen bilgilere bağlı olarak belirli bir güvenirlik seviyesinde, ileri sürülen hipotezin doğru olup olmadığı test edilir.
10.Soru
Belirlilik katsayısının 0,5’ten büyük olması durumunda aşağıdaki ifadelerden hangisi söylenebilir?
|
Regresyon denklemi gözlem değerlerinin tamamını açıklayabilmektedir. |
|
Regresyon denklemi gözlem değerlerinin yarısından fazlasıyla uyumludur. |
|
Değişkenler arasında ilişki yoktur. |
|
Regresyon denklemi gözlem değerlerinin yarısından daha azıyla uyumludur. |
|
Değişkenler arasında zayıf bir ilişki vardır. |
Belirlilik katsayısı R2’nin 0,5’ten büyük olması (R2>0,5) durumunda, regresyon denkleminin gözlem değerlerinin %50’den fazlasıyla uyumlu olduğu ve %50’den fazlasını açıklayabildiğini söyleyebiliriz. Ayrıca, R2>0,5 olması durumunda, değişkenler arasında güçlü bir ilişki olduğu söylenebilir.
11.Soru
- Küresel
- Anizotropi
- Üstsel
- Doğrusal
- Varyans
Yukarıdakilerden hangileri deneysel semi-variogram modelleri arasında sayılmaktadır?
|
i. iii. iv. |
|
i. ii. iii. |
|
iii. iv. v. |
|
i. ii. iv. |
|
ii. iii. iv. |
Küresel model, doğrusal model ve üstsel model deneysel semi-variogram modelleri arasında sayılmaktadır. Doğru cevap A'dır.
12.Soru
Yüzey trend analiz yöntemi aşağıdaki alanlardan hangisi veya hangilerinde eş yükselti veya eş değişken değeri haritalama çalışmalarında yaygın bir şekilde kullanılmaktadır?
I. Maden arama
II. Petrol arama
III. Çevre araştırmaları
|
Yalnız I |
|
Yalnız II |
|
Yalnız III |
|
I-II |
|
I-II-III |
Seçeneklerdeki üç alanda da yaygın şekilde kullanılmaktadır. Cevap E'dir.
13.Soru
X rassal değişkeninin -∞ ve +∞ aralık değerleri için normal dağılım olasılık fonksiyonunun integrali alındığında , normal eğri altında kalan toplam alanın değeri aşağıdakilerden hangisidir?
|
0 |
|
100 |
|
10 |
|
1 |
|
∞ |
X rassal değişkeninin -∞ ve +∞ aralık değerleri için normal dağılım olasılık fonksiyonunun integrali alındığında , normal eğri altında kalan toplam alanın değeri 1'dir.
14.Soru
Genel olarak “bir durum hakkında öne sürülen varsayım” şeklinde tanımlanan kavram aşağıdakilerden hangisidir?
|
Görüş |
|
Önyargı |
|
Varsayım |
|
Hipotez |
|
Kural |
Hipotez genel olarak bir durum hakkında öne sürülen varsayım şeklinde tanımlanmaktadır.
15.Soru
Eksponansiyel modelin fonksiyonu aşağıdakilerden hangisidir?
|
γ(h) = p.hλ |
|
y(h) = C[1-exp(-h/a)] |
|
2y*(h)= 1/n ∑ [z(x) - z(x+h)]2 |
|
2y*(h)= 1/2n ∑ [z(x) - z(x+h)]2 |
|
y(h) = C[3*h/2a - h3/2a3] |
Eksponansiyel modelin fonksiyonu y(h) = C[1-exp(-h/a)] 'dur. Doğru cevap B'dir.
16.Soru
İki değişken arasında azalan bir doğrusal ilişki varsa, aşağıdakilerden hangisi regresyon denkleminin eğimi olabilir?
|
-0.4 |
|
+0.5 |
|
+0.4 |
|
+0.3 |
|
0 |
A
17.Soru
Bir mandırada şişelenen 5 lt'lik süt şişelerinde 5 lt'den daha az süt olduğu iddia ediliyorsa ediliyorsa H0 hipotezi aşağıdakilerden hangisi olur?
|
x¯ = µ = 5 lt |
|
x¯ < µ = 5 lt |
|
x¯ > µ = 5 lt |
|
x¯ = µ = 4 lt |
|
x¯ > µ = 4 lt |
a
18.Soru
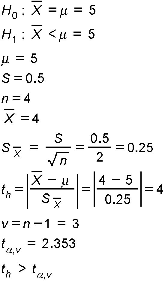
Matematik dersinden her dönem ortalama 5 öğrenci kalmaktadır. Ders saatinin arttırılması ile 4 dönem boyunca ortalama 4 öğrenci kaldığı ve standart sapmanın 0.5 olduğu belirlenmiştir. %5 anlamlılık düzeyi için dersten kalan öğrenci sayısında azalma meydana gelmiş midir ve th değeri nedir? ( t0.05,3=2.353 )
|
3, Dersten kalan öğrenci sayısında azalma meydana gelmemiştir. |
|
4, Dersten kalan öğrenci sayısında azalma meydana gelmemiştir. |
|
4, Dersten kalan öğrenci sayısında azalma meydana gelmiştir. |
|
3, Dersten kalan öğrenci sayısında azalma meydana gelmiştir. |
|
6, Dersten kalan öğrenci sayısında azalma meydana gelmemiştir. |
Dersten kalan öğrenci sayısında azalma meydana gelmiştir.
19.Soru
I. Red bölgesinin tanımlanması
II. Karar verme
III. Hipotezlerin kurulması
IV. Test istatistiğinin hesaplanması
Yukarıda verilen bir hipotez testi sürecinin adımları aşağıdakilerden hangisinde doğru olarak sıralanmıştır?
|
III-II-I-IV |
|
III-I-IV-II |
|
II-III-I-IV |
|
II-I-III-IV |
|
I-III-IV-II |
Hipotez testi, ana kütle parametresi hakkında yapılacak araştırmaya uygun olarak hipotezlerin kurulması, red veya kabul bölgesinin belirlenmesi, olasılık dağılım modeline uygun test istatistiğinin hesaplanması ve karar verme aşamalarından oluşur.
20.Soru
Ana kütle ortalamasının 70’den az olduğu iddiasını test etmek amacıyla yapılan bir hipotez testinde 19 birimlik bir örneklemden veri toplanmış ise %5 anlamlılık düzeyi için teorik test istatistiğinin değeri nedir?
|
1,729 |
|
2,093 |
|
2,131 |
|
1,734 |
|
2,086 |
%5 anlamlılık düzeyi içinserbestlik derecesi 18 olan tek taraflı T-tablo değeri
-
- 1.SORU ÇÖZÜLMEDİ
- 2.SORU ÇÖZÜLMEDİ
- 3.SORU ÇÖZÜLMEDİ
- 4.SORU ÇÖZÜLMEDİ
- 5.SORU ÇÖZÜLMEDİ
- 6.SORU ÇÖZÜLMEDİ
- 7.SORU ÇÖZÜLMEDİ
- 8.SORU ÇÖZÜLMEDİ
- 9.SORU ÇÖZÜLMEDİ
- 10.SORU ÇÖZÜLMEDİ
- 11.SORU ÇÖZÜLMEDİ
- 12.SORU ÇÖZÜLMEDİ
- 13.SORU ÇÖZÜLMEDİ
- 14.SORU ÇÖZÜLMEDİ
- 15.SORU ÇÖZÜLMEDİ
- 16.SORU ÇÖZÜLMEDİ
- 17.SORU ÇÖZÜLMEDİ
- 18.SORU ÇÖZÜLMEDİ
- 19.SORU ÇÖZÜLMEDİ
- 20.SORU ÇÖZÜLMEDİ