Coğrafi Bilgi Sistemleri İçin Temel İstatistik Final 9. Deneme Sınavı
Toplam 20 Soru1.Soru
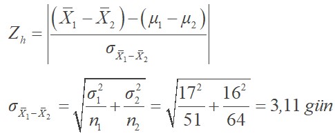
Ampul üretimi yapan A firmasının ürettiği ampuller arasından seçilen 51 tanesinin ortalama dayanma süresi 68 gün ve standart sapması 17 gün olarak bulunmuştur. Yine ampul üretimi yapan B firmasının ürettiği ampuller arasından seçilen 64 tanesinin ortalama dayanma süresi 58 gün ve standart sapması 16 gün olarak bulunmuştur. A firmasının ürettiği ampullerin ortalama dayanma süresinin, B firmasınınkilere göre daha fazla olduğu şeklindeki iddia, %5 anlamlılık düzeyine göre test edilecektir. Bu test için, test istatistiğinin değeri kaçtır?
|
2,12 |
|
2,48 |
|
2,84 |
|
3,22 |
|
3,56 |
Ana kütle standart sapmaları bilinmemekle birlikte, ve
olduğundan
kabul edebiliriz. Test istatistiği;
olarak hesaplanır.
2.Soru
Yukarıdaki grafiğin isimlendirmesi aşağıdakilerden hangisinde doğru olarak verilmiştir?
|
Yüzey grafiği |
|
Radar grafiği |
|
Yığın grafiği |
|
Regresyon doğrusu |
|
Serpilme diyagramı |
Verilen grafik serpilme diyagramı olarak isimlendirilmektedir.
3.Soru
İstatistik yöntemler temelinde geliştirilen interpolasyon (ara değer bulma) yöntemlerinin ortak noktası aşağıdakilerden hangisidir?
|
Her yöntemin örnek noktalarının konumsal bilgisini kullanıyor olması |
|
Genellikle topoğrafik yüzeylerin düzenli grid (kare) ağlar şeklinde modellenmesinde kullanılması |
|
Her bir örnek noktası polinom denkleminin elde edilmesinde kullanılması |
|
Yakın noktalara uzak noktalardan daha yüksek ağırlık değeri ataması |
|
Her örnek noktası, değeri tahmin edilecek noktaya olan uzaklığına göre ters oranda ağırlık değeri alması |
B ve C seçeneği sadece Yüzey Trend Analiz, D ve E seçeneği ise sadece Uzaklığın Tersi ile Ağırlıklandırma ile ilişkili açıklamalardır. Doğru cevap A'dır.
4.Soru
Araştırma amaçları doğrultusunda araştırmacının kendi takdiri veya iradesi ile seçtiği birimlerden oluşan örnekleme aşağıdakilerden hangisidir?
|
Rassal olmayan örnekleme |
|
Sistematik örnekleme |
|
Kota örnekleme |
|
Dilim örneklemesi |
|
Kümeli örnekleme |
Rassal Olmayan Örnekleme:Ana kütleden örnek seçiminin rassal olarak yapılmadığı, araştırmacının kendi takdiri veya iradesi ile seçtiği birimlerden oluşan örnekleme rassal olmayan örneklemedir. Ana kütleden yapılan bu tür örneklemelerde, araştırmacının ana kütle hakkındaki bilgisi, uzmanlığı ve yansızlığı önemlidir.
Sistematik örnekleme: Ana kütlenin 1 den N e kadar numaralandırılıp, ana kütlenin hedeflenen kişi sayısına bölümü sonucu bulunarak aralık katsayısı ile oluşturulan örneklem grubuna denir.
Kota örnekleme: Ana kütlenin sınıflandırılması halinde farklı kısımlardan ya da bölümlerden oluştuğu biliniyorsa örneklemenin tüm kısımları temsil etmesi amacıyla her bir kısma belirli oranlarda kota konularak oluşturulan örneklem grubuna denir.
Dilim örneklemesi: Ana kütleyi oluşturan çok geniş bir alana yayılmış ise, tüm coğrafik alanlardan örnekleme yapmak zaman ve bütçe açısından mümkün olmayabilir. Bu durumda ana kütleyi tam özellikleri ile temsil edebilecek dar bir alandan oluşturulan örneklemeye denir.
Kümeli örnekleme: Ana kütlenin küme adı verilen gruplara ayrıldığı ve kümelerden örneklerin alındığı yönteme denir.
5.Soru
Korelasyon katsayısının test edilmesinde kullanılan t dağılımının serbestlik derecesi aşağıdakilerden hangisinde doğru olarak verilmiştir?
|
v = n - 3 |
|
v = n - 2 |
|
v = n - 1 |
|
v = n |
|
v = n +1 |
Doğrusal regresyon eşitliğinin iki adet parametresi (a ve b) olduğundan, t dağılımın serbestlik derecesi v = n - 2 olur.
6.Soru
Düzlemde P1 = (10,6) ve P2 = (7,2) noktaları arasındaki Öklid uzaklığı aşağıdakilerden hangisidir?
|
2 |
|
3 |
|
4 |
|
5 |
|
6 |
olur.
7.Soru
X normal dağılmış sürekli bir değişken,
olduğuna göre,
nedir?
|
0.4938 |
|
0.9938 |
|
0.0062 |
|
0.5 |
|
0.5062 |
X=16 için olduğundan z tablosundan 2.5 değerine bakılır ve ilgili değerin 0.4938 olduğu görülür. Bu değer normal dağılımın ortalaması (21) ile 16yı olasılk olarak temsil eden -2,5 değer arasındaki bölgeyi temsil etmektedir. 16 dan büyük değerler için, normal dağılımın orta noktasının sağındaki bütünlük anlamındaki 0.5 değerini de dahil etmek gerekir.
olur.
8.Soru
Aşağıdakilerden hangisi ana kütlenin bilinen veya varsayılan parametre değeri ile örnek kütleden elde edilen arasında anlamlı bir fark olmadığı kabulü ön şartını içerir?
|
Sıfır hipotezi |
|
Karşıt hipotez |
|
Araştırma hipotezi |
|
Akademik hipotez |
|
Antitez |
Sıfır hipotezi ana kütlenin bilinen veya varsayılan parametre değeri ile örnek kütleden elde edilen arasında anlamlı bir fark olmadığı kabulü ön şartını içerir.
9.Soru
Aşağıdaki ortalamalardan hangisi duyarsız ortalamadır?
|
Kartil |
|
Aritmetik |
|
Kareli |
|
Geometrik |
|
Harmonik |
Duyarsız ortalamalar kartil ortalamalar ile mod ve medyan ortalamalardır.
10.Soru
Aşağıdakilerden hangisi çift taraflı testtir?
|
|
|
|
|
|
|
|
|
|
Eşitsizlik durumu A şıkkı çift taraflı testtir.
11.Soru
Güven aralığı kavramı çerçevesinde aşağıdaki ifadelerden hangisi doğru bir ifade değildir?
|
Standart hatayı küçültmek için mümkün olduğunca örnek kütle boyutunu büyük seçmek gerekir. |
|
Güven aralığı ne kadar geniş olursa, tahmin ana kütle parametresine o kadar yakın olur. |
|
(1- α): güven aralığı için belirlenen güven seviyesidir. |
|
Güven aralığının daralması, örnek kütle için hesaplanacak standart hatanın küçük olmasına bağlıdır. |
|
Güven aralığının daralması,güven seviyesinin küçük seçilmesine bağlıdır. |
Güven aralığı ne kadar geniş değil ne kadar dar olursa, tahmin ana kütle parametresine o kadar yakın olur.
12.Soru
I) Külçe Varyansı
II) Eşik Değer
III) Anisotropi Oranı
Yukarıdakilerden hangileri Deneysel Semi-Variogram Parametreleridir?
|
I, II , III |
|
I ve II |
|
II ve III |
|
I ve III |
|
Hiçbiri |
A
13.Soru
Genellikle sınıflandırma ve kümeleme çalışmalarında kullanılan en yakın komşu yönteminde, örnekleme yapılmamış herhangi bir noktanın değişken değerini tahmin etmede, örnek noktaları arasında en yakın olan noktanın değişken değeri belirlenerek, tahmin edilecek noktaya ataması yöntemi nedir?
|
En Küçük Kareler Yöntemi |
|
En Yakın Komşu Yöntemi |
|
Yüzey Trend Analizi |
|
Uzaklığın Tersi ile Ağırlıklandırma Yöntemi |
|
Kriging Tahmin Yöntemi |
En Yakın Komşu Yöntemi, genellikle sınıflandırma ve kümeleme çalışmalarında kullanılan en yakın komşu yönteminde, örnekleme yapılmamış herhangi bir noktanın değişken değerini tahmin etmede, örnek noktaları arasında en yakın olan noktanın değişken değeri belirlenerek, tahmin edilecek noktaya ataması yöntemidir.
14.Soru
Y=a+bX fonksiyonundaki regresyon katsayılarından "b" aşağıdakilerden hangisini ifade etmektedir?
|
Doğrunun eğimi |
|
Doğrunun X ekseni ile yaptığı açı |
|
Doğrunun Y ekseni ile yaptığı açı |
|
Doğrunun X eksenine uzaklığı |
|
Doğrunun Y eksenine uzaklığı |
Y=a+bX fonksiyonunda b regresyon katsayısı doğrunun eğimini göstermektedir.
15.Soru
Bir kibrit üreticisinin kibrit paketlerinde 50 adet kibritten az olduğu iddia ediliyorsa H1 hipotezi aşağıdakilerden hangisi olur?
|
x¯ < µ = 50 |
|
x¯ > µ = 50 |
|
x¯ = µ = 50 |
|
x¯ < µ = 49 |
|
x¯ > µ = 49 |
A
16.Soru
4,28, 4,61, 4,86, 5,56 ve 5,04 değerlerinden oluşan bir serinin harmonik ortalama değeri aşağıdakilerden hangisidir?
|
4,81 |
|
5,02 |
|
5,23 |
|
5,24 |
|
6,25 |
formülüne göre; H= 5/1,04= 4,81 sonucu elde edilir.
17.Soru
Bir kolonya dolum tesisinde üretilen sıvının ortalama derecesinin 80 olduğu bilinmektedir. Ancak sıvı ortalama sıcaklık derecesinin 80'den büyük olduğu iddiasını test etmek amacıyla 30 şişeden örnekleme yapılmış ve örnek kütle ortalaması 81,5 ve standart sapması 12,5 olarak bulunmuştur. Bu testte kurulan karşıt hipotez aşağıdakilerin hangisinde doğru olarak verilmiştir?
|
X¯=80 |
|
X¯≠80 |
|
X¯>80 |
|
X¯≥80 |
|
X¯≤80 |
Sıvı sıcaklık derecesinin 80'den büyük olduğu iddiasının araştırması olduğu için karşıt hipotezi; X¯>80 olacaktır.
18.Soru
Bir veri setinde değerler 10, 20, 30, 40, 50, 60 şeklinde ise bu serinin medyan değeri kaçtır?
|
30 |
|
35 |
|
40 |
|
45 |
|
10 |
Medyan 30 ve 40 değerlerinin ortalaması olan 35 dir.
19.Soru
Jeoistatistiksel tahminlerde kullanılacak etki alanını belirlemede hangi parametre kullanılır?
|
Eşik Değer |
|
Külçe Etki Oranı |
|
Yönsel Etki Mesafesi |
|
Külçe Varyansı |
|
Etki Mesafesi |
Yönsel etki mesafesi, Jeoistatistiksel tahminlerde kullanılacak etki alanını belirlemede kullanılır.
20.Soru
Bir kaynak suyu işletmesinin ürettiği damacana suların içinde bir bakteri türü olan E.Coli bulunduğu iddia edilmektedir. Bu durumda, hipotezi aşağıdakilerden hangisidir?
|
|
|
|
|
|
|
|
|
|
Daha önceden ana kütle ortalaması (yani suda ne kadar E.Coli olduğu bilinmediğinden ve suda bulunmaması gerektiğinden ana kütle ortalaması kabul edilir.
hipotezi örnek kütle parametrelerinin ana kütle parametreleri ile uyumlu olduğunu savunduğundan
olarak kurulur.
-
- 1.SORU ÇÖZÜLMEDİ
- 2.SORU ÇÖZÜLMEDİ
- 3.SORU ÇÖZÜLMEDİ
- 4.SORU ÇÖZÜLMEDİ
- 5.SORU ÇÖZÜLMEDİ
- 6.SORU ÇÖZÜLMEDİ
- 7.SORU ÇÖZÜLMEDİ
- 8.SORU ÇÖZÜLMEDİ
- 9.SORU ÇÖZÜLMEDİ
- 10.SORU ÇÖZÜLMEDİ
- 11.SORU ÇÖZÜLMEDİ
- 12.SORU ÇÖZÜLMEDİ
- 13.SORU ÇÖZÜLMEDİ
- 14.SORU ÇÖZÜLMEDİ
- 15.SORU ÇÖZÜLMEDİ
- 16.SORU ÇÖZÜLMEDİ
- 17.SORU ÇÖZÜLMEDİ
- 18.SORU ÇÖZÜLMEDİ
- 19.SORU ÇÖZÜLMEDİ
- 20.SORU ÇÖZÜLMEDİ