Coğrafi Bilgi Sistemleri İçin Temel Matematik Ara 1. Deneme Sınavı
Toplam 17 Soru1.Soru
Bir işyerinde çalışanların öğrenim durumları ile ilgili bilgiler tablodaki gibidir. Bu iş yerinde her sene bir çalışan tatil ile ödüllendirilmektedir. Bu sene tatile gidecek kişinin kadın olduğu bilindiğine göre ortaöğretim mezunu olma olasılığı kaçtır ?
İlköğretim Ortaöğretim Yükseköğretim Toplam
Kadın 9 15 16 40
Erkek 23 27 10 60
Toplam 32 42 26 100
|
0,23 |
|
0,29 |
|
0,32 |
|
0,39 |
|
0,42 |
Tabloya bakıldığında Kadın olduğu bilindiğine göre dediği için toplam kadın sayısına bakılır. Toplam kadın sayısı 40 olduğuna göre , bunların içinden ortaöğretim mezunu kişi sayısı ise 15 olarak verilmiş.
Bu durumda aranılan olasılık 15/40 olarak bulunur.
2.Soru
Düzgün bir para 4 defa atıldığında en az bir yazı gelme olasılığı aşağıdakilerden hangisidir?
|
|
|
|
|
|
|
|
|
|
Para 4 defa atıldığında hepsinin tura gelme olasılığı olur.
O halde en az bir yazı gelme olasılığı elde edilir.
3.Soru
3A sınıfında 3 erkek 4 kız, 3B sınıfında ise 5 erkek 2 kız öğrenci bulunmaktadır. Her iki sınıftan birer öğrenci sınıf değiştiriyor (3A sınıfından bir öğrenci 3B’ye, 3B sınıfından bir öğrenci ise 3A’ya geçiyor). Bunun sonucunda her iki sınıftaki erkek ve kız öğrenci sayılarının başlangıçtaki sayılar ile aynı olma olasılığı kaçtır?
|
|
|
|
|
|
|
|
|
|
Her iki sınıftaki erkek ve kız öğrenci sayılarının başlangıçtaki sayılar ile aynı olması ancak seçilecek öğrencilerin her ikisinin kız veya erkek olmasıyla sağlanacaktır. Bu durumda her iki sınıftan da birer erkek öğrenci seçilme olasılığı , her iki sınıftan da birer kız öğrenci seçilme olasılığı ise
’dur. Bileşke olasılık ise
’dur.
4.Soru
A ve B 3×3 tipinde, C ise 4×5 tipinde matrisler olsunlar. Aşağıdaki çarpma işlemlerinden hangisi yapılabilir?
|
AB |
|
BCT |
|
ACT |
|
AC |
|
BC |
İki matrisi çarpabilmek için ilk matrisin sütun sayısı ile ikinci matrisin satır sayısı aynı olmalıdır. A matrisinin sütun sayısı 3 ve B matrisinin satır sayısı 3 olduğundan bu iki matris birbiri ile çarpılabilir.
6.Soru
Bir zar 3 kez atıldığında gelen sayıların toplamının çift olma olasılığı nedir?
|
|
|
|
|
|
|
|
|
|
Bir zar 3 kez atıldığında gelen sayıların tek ya da çift olmasına göre ortaya çıkabilecek durumlar
{((T,T,T),(T,T,Ç),(T,Ç,T),(T,Ç,Ç),
(Ç,T,T),(Ç,T,Ç),(Ç,Ç,T),(Ç,Ç,Ç) )}
olur. Yani örnek uzayın eleman sayısı 8 olur. Zarların toplamının çift olması için tekler çift sayıda olmalıdır. Buna uyan durumlar da
{(T,T,Ç),(T,Ç,T),(Ç,T,T),(Ç,Ç,Ç)}
şeklinde 4 tane olduğundan cevap olur.
7.Soru
Bir yüzme takımındaki öğrencilerin yaşları sorulduğunda 11,13,14,12,15,12,13,12,11,15,12,16,12 olarak cevaplar alınmıştır. Bu yüzme takımın yaşlarına bakıldığında Mod değeri kaç tır ?
|
11 |
|
12 |
|
13 |
|
14 |
|
15 |
Bir dağılımda ya da popülasyonda en çok tekrar edilen terime mod (tepe değer) denir.Örneğimize göre en çok tekrar eden değer 12 dir.
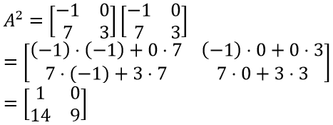
8.Soru
ise A2 matrisi aşağıdakilerden hangisidir?
|
|
|
|
|
|
|
|
|
|
olur.
9.Soru
vektörlerinin a⋅b iç çarpımının değeri aşağıdakilerden hangisidir?
|
7 |
|
5 |
|
-1 |
|
-5 |
|
-7 |
vektörlerinin iç çarpımı
a x b = x1 . x2 + y1. y2 +z1 . z2
formülü kullanılarak hesaplandığında,
a⋅b=3⋅(-1)+(-4)⋅1+2⋅0=-7 olur.
10.Soru
Bir torbada bulunan 3 yeşil, 5 kırmızı bilye içinde rastgele çekilen bir bilyenin yeşil çıkma olasılığı aşağıdakilerden hangisidir?
|
|
|
|
|
|
|
|
|
|
11.Soru
f(x)= √(x-7) fonksiyonunun en geniş tanım kümesini bulunuz.
|
{0,7} |
|
[7,∞) |
|
[0,7) |
|
R-[0,7] |
|
(-7,7) |
Cebirsel fonksiyonların en genişi tanım kümesini bulurken Köklü ifadenin içi ≥0 olması lazım(Kökün derecesi çift ise).
x-7 ≥ 0
x ≥ 7
En geniş tanım kümesi bu durumda [7,∞) aralığıdır.
12.Soru
Aşağıda verilen tabloya göre bu deneyin beklenen değeri hangi seçenekte verilmiştir? X:1-2-3-4-5-6, P(x): 0.15-0.22-0.38-0.19-0.02-0.04
|
0.83 |
|
1.33 |
|
1.83 |
|
2.33 |
|
2.83 |
Tabloda verilen değerleri beklenen değer formülünde yerine koyduğumuzda
E(x) = 0.15*1 + 0.22*2 + 0.38*3 + 0.19*4 + 0.02*5 + 0.04*6
E(x) = 2.83 olarak bulunur. Doğru cevap E seçeneğinde verilmiştir.
13.Soru
Bir basketbol oyuncusunun 5 maç sonunda üç sayılık atış ortalaması 6’dır. Oyuncunun altıncı maç sonunda ortalamasını 7 yapabilmesi için altıncı maçta kaç başarılı üç sayılık atış yapması gerekir?
|
10 |
|
11 |
|
12 |
|
13 |
|
14 |
Oyuncunun i. maçtaki başarılı üç sayılık atış sayısına dersek 5 maç sonunda da ortalaması 6 olduğundan
veya
olur.
olması istediğinden
elde edilir.
14.Soru
ise tan(x) = ?
|
|
|
|
|
|
|
1 |
|
|
değerinden bir dik üçgen oluşturabiliriz. Hipotenüs c=3, karşı kenar a=2 olduğundan x açısına komşu olan kenarın uzunluğunu bulalım.
32 - 22 = b2 ise b= bulunur. Tan(x)=karşı/komşu olduğuna göre
tan(x) = olur.
15.Soru
ise (fog)(0) kaçtır?
|
0 |
|
1 |
|
2 |
|
3 |
|
4 |
(fog)(0) = f(g(0)) = f(-1) = (-1)3 + 1 = 0 olur.
16.Soru
ifadesinin çözüm kümesi aşağıdakilerden hangisidir?
|
[-3, -1] |
|
|
|
|
|
|
|
[1, 3] |
Verilen eşitsizliğin çözüm kümesi, mutlak değerin büyük eşit olma kuralı uygulandığında
olarak elde edilir. Bu ifade ile aslında
ifade edilmektedir. Dolayısıyla Doğru Cevap B seçeneği olur.
17.Soru
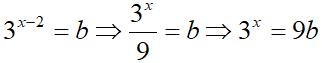
2x-1 = a
3x-2 = b olduğuna göre 6x neye eşittir ?
|
18ab |
|
24ab |
|
6ab |
|
12ab |
|
ab |