Coğrafi Bilgi Sistemleri İçin Temel Matematik Ara 10. Deneme Sınavı
Toplam 17 Soru1.Soru
f(x)=5x+4 , g(x)=x2-1 ise (f∘g)(-2) aşağıdakilerden hangisidir?
|
18 |
|
19 |
|
-18 |
|
-19 |
|
0 |
(f∘g)(-2)=f(-2).g(-2) olur.
f(-2)=5.(-2)+4=-6
g(-2)=(-2)2-1=3 bulunur.
Yani (f∘g)(-2)=-6.3=-18 bulunur.
2.Soru
Aşağıdaki noktalardan hangisi 2x+3y=6 doğrusunun üzerindedir?
|
(2,0) |
|
(0,1) |
|
(0,-2) |
|
(0,2) |
|
(-2,0) |
(0,2) noktası 2x+3y=6 doğru denkleminde yerine yazılırsa 2⋅0+3⋅2=6=6 eşitliği sağlanır. Verilen diğer noktalar ise bu eşitliği sağlamaz.
3.Soru
Bir fabrikanın ürettiği ürünün maliyeti a TL, satış fiyatı b TL, günlük satış adedi 3x olsun. Fabrikanın bu üründen bir ayda elde edeceği toplam karı x’in bir fonksiyonu türünden ifadesi aşağıdakilerden hangisidir?
|
f(x)=30(b-a)x |
|
f(x)=10(b-a)x |
|
f(x)=90(b+a)x |
|
f(x)=30(b+a)x |
|
f(x)=90(b-a)x |
Kar=b-a TL dir. Günlük elde edilen kar (b-a).3x TL dir.
Bir ayda elde edeceği kar ise;
f(x)=30(b-a)3x f(x)=90(b-a)x
4.Soru
Bir kalemlikte 8 kurşun kalem 12 tükenmez kalem ve 10 tane de pilot kalem bulunmaktadır. Kalemlikten seçilen bir kalemin kurşun kalem veya pilot kalem olma olasılığı kaçtır?
|
3/5 |
|
2/15 |
|
4/15 |
|
2/3 |
|
1/5 |
Kalemlikten kurşun kalem veya pilot kalem seçilmesı ayrık olaylardır. Ayrık olaylar için toplama kuralı P(A veya B)=P(A)+P(B) dir.
Kurşun kalem seçilme olasılığı P(A) olsun.
P(A)=8/30
Pilot kalem seçilme olasılığı P(B) olsun.
P(B)=10/30 olur.Bu durumda
P(A veya B)=8/30+10/30=18/30=3/5
5.Soru
Aşağıda tipleri verilen matrislerden hangisinin determinantı hesaplanabilir?
|
4×1 |
|
2×3 |
|
3×2 |
|
3×3 |
|
3×5 |
Bir matrisin determinantının hesaplanabilmesi için karesel matris olması yani satır ve sütun sayısının eşit olması gerekir.
6.Soru
f(x-2)=mx+4 ve f-1(12)=6 ise m nedir?
|
2 |
|
-1 |
|
|
|
1 |
|
-2 |
12=f(6) olduğundan x=8 için;
f(6)=8m+4=12
8m=8
m=1
7.Soru
A = {Ahmet,Seda,Pelin,Metin} kümesinin alt kümelerinin kaç tanesinde Metin
bulunmaz ?
|
2 |
|
4 |
|
6 |
|
8 |
|
10 |
A = {Ahmet,Seda,Pelin} kümesinin alt kümelerinde “Metin” bulunmaz. Üç elemanlı bir kümenin alt küme sayısı 2n olduğundan 23=8 tanedir.
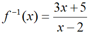
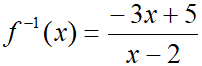
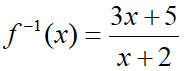
8.Soru
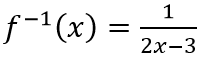
fonksiyonunun tersi aşağıdakilerden hangisidir?
|
|
|
|
|
|
|
|
|
|
9.Soru
Tabanı daire olan ve taban yarıçapı x olan bir dik silindirin yüksekliği yarıçapının 2 katı ise dik silindirin hacmini veren fonksiyon aşağıdakilerden hangisidir?
|
|
|
|
|
|
|
|
|
|
Silindirin hacmi formülüyle bulunur. r=x ise h=2x olduğuna göre
V= bulunur.
10.Soru
∣5∣+∣-1∣-∣-2∣-∣-6∣ işleminin sonucu kaçtır?
|
-8 |
|
-2 |
|
0 |
|
2 |
|
8 |
∣5∣+∣-1∣-∣-2∣-∣-6∣=5+1-2-6=-2 olarak bulunur.
11.Soru
P1=(-1,2) ve P2=(2,-2) noktaları arasındaki mesafe ne kadardır ?
|
5 |
|
6 |
|
7 |
|
7,2 |
|
8 |
√(〖(x1-x2)〗^2+〖(y1-y2)〗^2 )
√(〖(-1-2)〗^2+〖(2-(-2))〗^2 ) =√(〖(-3)〗^2+4^2 ) = 5
12.Soru
Bir İlköğretim okulu yıl sonunda okul takımlarında olan sporcuları ödüllendirmek için başarı belgesi vermek istemektedir. Basketbol takımından 7 , Voleybol takımından 8 ve Yüzme takımından 5 sporcu olduğu bilinmektedir. Başarı belgesi verirken öğrencileri takımlarına göre değil de rastgele çağırmak isteyen okul müdürünün çağırdığı ilk öğrencinin Yüzme takımından, ikinci öğrencinin de Yüzme takımından olma olasılığı kaçtır?
|
0,03 |
|
0,04 |
|
0,05 |
|
0,06 |
|
0,071 |
Başarı belgesi alan bir öğrenci tekrar çağırılmayacağı için ikinci sporcu çağırılırken toplam kişi sayısı azalmış olacaktır.Bu yüzden
Birinci öğrencinin Yüzme takımından olma olasılığı 5/20 ,
İkinci öğrencinin de Yüzme takımından olma olasılığı ise 4/19 olarak bulunur. Bu olaylar arka arkaya gerçekleştiği için olasılıkları çarpılır.
5/20.4/19= 20/380 = 0,05
13.Soru
denkleminin çözüm kümesi aşağıdakilerden hangisidir?
|
5 |
|
3 |
|
-2 |
|
-3 |
|
-5 |
olur.
14.Soru
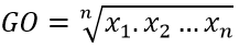
2, 4, 8 sayılarının geometrik ortalaması nedir?
|
12 |
|
10 |
|
|
|
4 |
|
8 |
olduğuna göre
bulunur.
15.Soru
Aşağıdakilerden hangisi tek fonksiyondur?
|
x4 - x2 |
|
cosx |
|
|
|
xlxl |
|
x.sinx |
f(-x)=-f(x) ise f(x) fonksiyonu tek fonksiyondur. Buna göre
f(-x) = (-x)4 -(-x)2 = x4 -x2 = f(x)
f(-x) = cos(-x) =cosx = f(x)
f(-x) = (-x)l-xl = -xlxl = -f(x)
f(-x)=(-x)sin(-x) = (-x)(sin(-x))=xsin(x) = f(x)
16.Soru
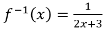
fonksiyonunun tersi aşağıdakilerden hangisidir?
|
|
|
|
|
|
|
|
|
|
ise y(2x-3)=1 olur.
Böylece
elde edilir.
17.Soru
Bir olayın başka bir olaya bağlı olmasının bilinmesi durumunda diğer olayın gerçekleşme olasılığına verilen ad aşağıdakilerden hangisidir?
|
Basit olay |
|
Olasılık |
|
Süreç |
|
Bileşen olasılık |
|
Koşullu olasılık |
Koşullu olasılık bir olayın başka bir olaya bağlı olmasının bilinmesi durumunda diğer olayın gerçekleşme olasılığıdır.