Coğrafi Bilgi Sistemleri İçin Temel Matematik Ara 13. Deneme Sınavı
Toplam 19 Soru1.Soru
f(x)=7x + 4 ise 2.f-1 (-3)+f(1) kaçtır?
|
6 |
|
-6 |
|
7 |
|
9 |
|
-9 |
f(x)=7x+4 ise f(1)=7+4=11 olur.
f-1(-3)=a olsun. 7a+4=-3 ise f-1(-3)=a=-1 bulunur.
2f-1 (-3)=-2 ise 2f-1(-3)+f(1)=9 olur.
2.Soru
x<0 olmak üzere,
ifadesinin eşiti aşağıdakilerden hangisidir?
|
-3x + 7 |
|
3x + 4 |
|
-3x + 3 |
|
5x + 7 |
|
-5x + 4 |
x<0 ise olarak açılmaktadır.Buna göre
olarak bulunmaktadır. Doğru cevap C'dir.
3.Soru
Bir para 3 defa atılıyor. En fazla 2 defa yazı gelme olasılığının tamamlayıcı olayının olma olasılığı nedir?
|
7/8 |
|
1/2 |
|
1/8 |
|
1/4 |
|
5/6 |
Bir para havaya 3 defa atıldığında toplamda 8 farklı durum vardır. Bunların arasından en fazla 2 defa yazı gelme durumları şunlardır:
YYT, YTY, TYT, TTY, TTT, TYY, YTT yani 7 durum söz konusudur. O halde en fazla 2 defa yazı gelme olasılığı 7/8’dir. Bunun tamamlayıcı olayının olma olasılığı ise 1-7/8=1/8 olur. Yani tamamlayıcı olayı açık olarak yazarsak bu 3 defa yazı gelme durumu olan YYY dır.
4.Soru
Aşağıdakilerden hangisi simetrik bir matristir?
|
|
|
|
|
|
|
|
|
|
Bir matrisin transpozu kendisine eşitse bu matrise simetrik matris denir. Bu tanımdan hareketle yukarıdaki matrisleri incelediğimizde matrisin bu tanıma uyduğu ve diğer matrislerin uymadığını kolaylıkla gözlemleyebiliriz.
5.Soru
A(6,6), B(1,6), C(1,1) ve D(a,b) noktaları bir karenin köşeleri olduğuna göre a+b toplamı kaçtır ?
|
4 |
|
5 |
|
6 |
|
7 |
|
8 |
6+1=a+1 , a=6
6+1=b+6, b=1
O halde, a+b=7
7.Soru
x ekseni ile
eğim açısına sahip doğruların eğimleri toplamı aşağıdakilerden hangisidir?
|
|
|
|
|
|
|
|
|
|
x ekseni ile eğim açısına sahip doğruların eğimleri sırasıyla
olarak bulunmaktadır. Buradan eğimler toplamı hesaplandığında
olarak bulunmaktadır. Doğru cevap A'dır.
8.Soru
Aşağıda verilen ifadelerden hangileri standart sapmanın özelliklerinden olabilir? I.Verilen artimetik ortalamaya göre nasıl bir yayılım gösterdiğini anlamamıza yardımcı olur. II. Standart sapmanın değeri büyükse popülasyondaki değerlerin birbirine uzak olduğu anlaşılır. III. Varyansın karekökü ile elde edilir.
|
Yalnız II |
|
Yalnız III |
|
I ve II |
|
II ve III |
|
I, II ve III |
Standart sapma: "Verilerin aritmetik ortalamaya göre nasıl bir yayılım gösterdiğini anlamamıza yardımcı olur. Standart sapmanın büyük değeri bize popülasyondaki değerlerin birbirine uzak olduğunu gösterir. Standart sapma değerinin küçük olması da popülasyondaki değerlerin birbirine yakın olduğunun ölçütüdür. Varyansın karekökünün alınması ile bulunur." ifadesi ile tanımlanmıştır. Bu ifade gereğince doğru cevap E seçeneğidir.
9.Soru
(1,1) ve (3,5) noktalarını birleştiren doğrunun orta noktası ile orijin arasındaki mesafe aşağıdakilerden hangisidir?
|
|
|
|
|
|
|
|
|
|
(1,1) ve (3,5) noktalarını birleştiren doğrunun orta noktası olarak hesaplanmaktadır. Bu noktanın orijinle arasındaki mesafesi ise
olarak hesaplanmaktadır. Doğru cevap B'dir.
10.Soru
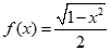
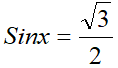
Verilen bir üçgenin bir iç açısı x ve
olmak üzere sin x + cos x ifadesinin eşiti aşağıdakilerden hangisidir?
|
|
|
|
|
|
|
|
|
|
Verilen x açısı koordinat ekseninin birinci bölgesinde olup sin x ve cos x değerleri bu bölgede pozitiftir. Bu bilgilere göre ilgili üçgeni cot x = 4/3 eşitliği ve pisagor bağıntısı yardımıyla
biçiminde oluşturabiliriz. Buradan
olarak elde edilir. Dolayısıyla Doğru Cevap D seçeneğidir.
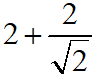
11.Soru
işleminin sonucu aşağıdakilerden hangisidir?
|
-11.6 |
|
-10.4 |
|
-10.3 |
|
-9.2 |
|
-10.2 |
12.Soru
y-3x-6=0 ve y+2x-8=0 doğrularının kesim noktasının koordinatları aşağıdakilerden hangisidir?
|
|
|
|
|
|
|
|
|
|
y-3x-6=0
y+2x-8=0
taraf tarafa çıkaralım. -5x=-2 ve
13.Soru
2, 1, 3, 5, 8, 7, 9, 6, 2 şeklinde verilen popülasyonun medyanını bulunuz?
|
1 |
|
2 |
|
5 |
|
8 |
|
9 |
Medyan(ortanca), bir popülasyondaki veri serisi sayısal büyüklük olarak sıralandığında ortadaki sayıdır. Sıralama yapıldığında 1,2,2,3,5,6,7,8,9 elde edilir. Ortadaki terim 5. terim olup buda 5 sayısıdır.
14.Soru
f(x)=x+1 ve g(x)=x2-1 olduğuna göre (gof)(x) kaçtır?
|
x2 |
|
x2 + 2 |
|
x2 - 2x |
|
x2 + 2x |
|
x2 - 2 |
(gof)(x)=g(f(x))=g(x+1)=(x+1)2-1=x2+2x
15.Soru
3, 3, 4, 5, 6, 7, 4, 7, 3, 5, 4, 3, 3, 3
Yukarıda verilen veri grubunda tepe değerin değişmesi için veri grubuna en az kaç sayı eklenmelidir?
|
1 |
|
2 |
|
3 |
|
4 |
|
5 |
Bu veri grubunda en çok tekrar eden 3 değeri veri grubunun tepe değeridir ve 6 kez tekrar etmektedir. İkinci en çok tekrar eden 4 değeri ise 3 kez tekrar etmektedir. Eğer bu veri grubuna 4 tane daha 4 değeri eklenirse veri grubunun tepe değeri 4 olur. Dolayısıyla cevap D olur.
16.Soru
fonksiyonunun ters fonksiyonu aşağıdakilerden hangisidir?
|
|
|
|
|
|
|
2x |
|
|
denkleminden çekilirse
olmaktadır. Yani
olarak bulunmaktadır.
17.Soru
3x-y+1=0 doğrusu ile 2x-2y+4=0 doğrusunun kesiştiği nokta aşağıdakilerden hangisidir?
|
|
|
|
|
|
|
(1,5) |
|
(5,1) |
3x-y+1=0 doğrusu ile 2x-2y+4=0 doğrusunun kesiştiği noktayı bulmak için iki denklemin ortak çözümü bulunmalıdır. Birinci denklemden
y=3x+1 ifadesi ikinci denlemde y yerine yazılırsa olur. Bu x değeri iki denklemden herhangi birinde yerine yazılırsa
hesaplanır. Buradan doğruların kesiştikleri nokta
noktasıdır.
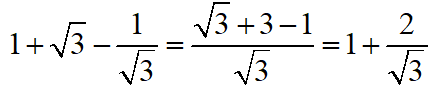
18.Soru
eşitsizliğini sağlayan x tamsayılarının toplamı aşağıdakilerden hangisidir?
|
2 |
|
3 |
|
4 |
|
6 |
|
8 |
eşitsizliği
şeklinde yazılırsa
eşitsizliğine dönüşür. Bu aralıktaki tamsayılar -2,-1,0,1,2,3 olur. Bu sayıların toplamı ise 3’tür.
19.Soru
İki madeni para atılıyor. Paralardan en az birinin yazı gelme olasılığı aşağıdakilerden hangisidir?
|
3/4 |
|
1/4 |
|
1/2 |
|
1/3 |
|
2/3 |
Paralardan en az birinin yazı gelmesi olayı, ikisinin tura tura gelmesi olayının tümleyenidir. İkisininde tura gelme olasılığı
1/2.1/2=1/4
En az birinin yazı gelme olasılığı
1-1/4=3/4 dür.
-
- 1.SORU ÇÖZÜLMEDİ
- 2.SORU ÇÖZÜLMEDİ
- 3.SORU ÇÖZÜLMEDİ
- 4.SORU ÇÖZÜLMEDİ
- 5.SORU ÇÖZÜLMEDİ
- 6.SORU ÇÖZÜLMEDİ
- 7.SORU ÇÖZÜLMEDİ
- 8.SORU ÇÖZÜLMEDİ
- 9.SORU ÇÖZÜLMEDİ
- 10.SORU ÇÖZÜLMEDİ
- 11.SORU ÇÖZÜLMEDİ
- 12.SORU ÇÖZÜLMEDİ
- 13.SORU ÇÖZÜLMEDİ
- 14.SORU ÇÖZÜLMEDİ
- 15.SORU ÇÖZÜLMEDİ
- 16.SORU ÇÖZÜLMEDİ
- 17.SORU ÇÖZÜLMEDİ
- 18.SORU ÇÖZÜLMEDİ
- 19.SORU ÇÖZÜLMEDİ