Coğrafi Bilgi Sistemleri İçin Temel Matematik Ara 4. Deneme Sınavı
Toplam 16 Soru1.Soru
Aşağıdaki verilen A,B matrisleri birbirlerine eşit olduğuna göre x+y aşağıdakilerden hangisine eşittir?
|
7 |
|
8 |
|
9 |
|
10 |
|
11 |
Eğer iki matris birbirlerine eşit ise bileşenleri de birbirlerine eşittir. Buradan x=3,y=5 ise x+y=8 olur.
2.Soru
Aşağıdakilerden hangisi bir rasyonel sayıdır?
|
|
|
|
|
|
|
|
|
|
,
sayıları iki tamsayının oranı şeklinde yazılamadığı için irrasyonel sayılardır. Fakat
sayısı iki tamsayının oranı şeklinde yazılabildiğinden rasyonel sayıdır.
3.Soru
8 kişiden oluşan bir sınıfta 1. arasınav sonrası alınan notlar 88, 92, 64, 76, 34, 56, 48, 70 tir. Bu arasınavın aritmetik ortalaması ile yaklaşık standart sapma değeri hangi seçenekte doğru olarak verilmiştir?
|
60, 20 |
|
63, 28 |
|
66, 20 |
|
62, 25 |
|
66,28 |
Aritmetik ortalama formülü:
Varyans formülü:
Standart sapma ise:
verilsin. Arasınav sonuçları Xi aritmetik ortalama formülünde yerine konulursa, n = 8 için aritmetik ortalama = 66 olarak elde edilir. Bulunan aritmetik ortalama varyans değerinde yerine konulup n = 8 için hesap yapılıp karekökü alınırsa standart sapma değeri yaklaşık olarak 20 çıkmaktadır. Doğru cevap C seçeneğinde verilmiştir.
4.Soru
Üzerinde 6, 1, 1, 2, 4, 5, 2, 2, 3, 5, 3 yazılı olan toplar bir torbaya konulmaktadır. Buna göre torbadan geri atılmamak koşuluyla arka arkaya çekilen iki topun üzerinde, topların üzerinde yazılan sayıların oluşturduğu karışık serinin medyanın yazma olasılığı kaçtır?
|
|
|
|
|
|
|
|
|
|
Verilen karışık seri düzenlendiğinde 1, 1, 2, 2, 2, 3, 3, 4, 5, 5, 6 düzgün serisi elde edilir. Bu seri 11 elemanlı olduğundan 6. sıradaki eleman medyan olacaktır. Bakıldığında medyan 3 olarak bulunmaktadır. Buna göre torbadan geri atılmamak koşuluyla arka arkaya çekilen iki topun üzerinde 3 olması olasılığı 11 top içerisinde üzerinde 2 adet 3 yazılı top olduğundan
olacaktır.
5.Soru
eşitsizliğinin çözüm kümesi aşağıdakilerden hangisidir?
|
|
|
|
|
|
|
|
|
|
olduğundan [2,∞) verilen eşitsizliğin çözüm kümesi olur.
6.Soru
f(x)=3x-5 ise f-1 (4) değeri aşağıdakilerden hangisidir?
|
3 |
|
4 |
|
5 |
|
2 |
|
1 |
y=f(x)=3x-5 fonksiyonunun ters fonksiyonunu bulabilmek için x yerine y, y yerine x yazarsak ;
buradan
bulunur. olur.
7.Soru
fonksiyonunun tersi aşağıdakilerden hangisidir?
|
|
|
|
|
|
|
|
|
|
fonksiyonunun tersi;
olarak elde edilir. Bu nedenle Doğru Cevap B seçeneği olur.
8.Soru
(4, 1) noktası ile (-2, -2) noktasından geçen doğrunun eğimi aşağıdakilerden hangisidir?
|
|
|
|
|
|
|
|
|
|
(4, 1) noktası ile (-2, -2) noktasından geçen doğrunun eğimini
eşitliği yardımıyla hesaplayabiliriz. İlgili sayılar eşitlikte yerine konulduğunda
olarak bulunur. Dolayısıyla Doğru Cevap E seçeneğidir.
9.Soru
Aşağıda verilen değerler için standart sapma değeri kaçtır ?
2,3,5,7,8
|
1,17 |
|
1,98 |
|
2,28 |
|
3,14 |
|
5,2 |
Verilen serinin ortalaması ¯x= (2+3+5+7++8)/5 = 5 olarak bulunur.
σ = √(∑▒〖(x-(x)) ̅ 〗^2/n) = √((∑▒〖(2-5)〗^2+∑▒〖(3-5)〗^2+∑▒〖(5-5)〗^2+(∑▒(7-5) ^2+∑▒〖(8-5)〗^2)/5) = √((9+4+0+4+9)/5) = √(26/5) = 2,28
10.Soru
Bir havuzu üstteki musluk su ile doldururken alttaki musluk ise boşaltmaktadır. Üstteki musluk saatte
litre su akıtırken alttaki musluk ise saatte
litre su boşaltmaktadır. Boş havuz t saatte dolduğuna göre dolu havuzun kaç litre su alacağı aşağıdaki eşitliklerden hangisi ile ifade edilebilir?
|
|
|
|
|
|
|
|
|
|
Üstteki musluk
litre su doldurduğundan ve alttaki musluk
litre su boşalttığından bir saat sonunda havuzda
kadar su bulunur. Bu işlem t saat süreyle devam edeceğinden t saat sonunda havuzda
litre su bulunur. Bu nedende Doğru Cevap C seçeneği olur.
11.Soru
Bir olaya ilişkin değişkenlerin tümüne ait merkezi bir değeri gösteren kavram aşağıdakilerden hangisidir?
|
Ana kütle |
|
Örnek kütle |
|
Merkezi eğilim ölçüleri |
|
Dağılım ölçüleri |
|
Örneklem |
Bir olaya ilişkin değişkenlerin tümüne ait merkezi bir değeri gösteren kavram merkezi eğilim ölçüleridir.
12.Soru
A={a,b,c,d} , B={c,d,1,2,3} , C={a,c,k,3} kümeleri veriliyor. A∪(B⋂C) kümesi aşağıdakilerden hangisidir?
|
{a,d,3} |
|
{b,k,3} |
|
{a,b,c,d,1} |
|
{a,b,c,d,3} |
|
{c,d,1,2} |
Önce B⋂C kümesini yani B ve C kümelerinin ortak elemanlarının oluşturduğu kümeyi bulalım.
B⋂C={c,3} dir. A∪(B⋂C) kümeside A kümesi veya B⋂C den en az birine ait olan elemanlarının oluşturduğu kümedir.
A∪(B⋂C)={a,b,c,d,3} arak elde edilir.
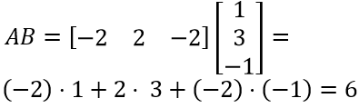
13.Soru
olarak veriliyor.
vektörünün uzunluğu (normu) aşağıdakilerden hangisidir?
|
|
|
|
|
|
|
|
|
|
olur. Buradan
’dir.
olmak üzere
şeklinde hesaplanır. Bu durumda
vektörünün uzunluğu
biçiminde elde edilir.
14.Soru
Aşağıda verilen olasılık değerlerinden hangisi kesin olayı temsil etmektedir?
|
P(E1) = 1 |
|
P(E2) = 0.7 |
|
P(E3) = 0.4 |
|
P(E4) = 0.2 |
|
P(E5) = 0 |
Bir olayın olasılığı daima 0 ile 1 aralığında olmak zorundadır. Bununla beraber bir olayın meydana gelme olasılığı 0 ise olanaksız olay, 1 ise kesin olay diyebiliriz. Verilen bilgilere göre doğru cevap A seçeneğidir.
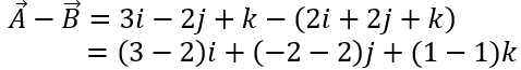
15.Soru
ise
vektörü aşağıdakilerden hangisidir?
|
5i- j+2k |
|
-5i- j+2k |
|
5i-j-2k |
|
25i-5 j+2k |
|
25i+5j-2k |
olur.