Coğrafi Bilgi Sistemleri İçin Temel Matematik Ara 8. Deneme Sınavı
Toplam 18 Soru1.Soru
ise A matrisinin determinantı aşağıdakilerden hangisidir?
|
-4 |
|
-2 |
|
0 |
|
2 |
|
4 |
biçiminde 2×2 tipinde bir matrisinin determinantı
biçiminde hesaplanır. Bu durumda
elde edilir.
2.Soru
eşitsizliğini sağlayan x tamsayılarının toplamı aşağıdakilerden hangisidir?
|
2 |
|
3 |
|
4 |
|
6 |
|
8 |
eşitsizliği
şeklinde yazılırsa
eşitsizliğine dönüşür.
Bu aralıktaki tam sayılar -2,-1,0,1,2,3 olur. Bu sayıların toplamı ise 3 dur.
3.Soru
f(x)= x + 1 ise f-1(7) kaçtır ?
|
2 |
|
4 |
|
6 |
|
8 |
|
10 |
f(x) = y = x+1 olduğundan x = y - 1 elde edilir.
Böylece f-1(x) = x - 1 olur.Dolayısıyla f-1(7) = 7 - 1 = 6 olur.
4.Soru
Bir otobüste yolculardan 30 tanesi erkek, 10 tanesi bayandır. Erkeklerden 10 tanesi, bayanlardan 5 tanesi kahverengi gözlüdür. Gelişigüzel seçilen yolcunun erkek veya kahverengi gözlü ola olasılığı aşağıdakilerden hangisidir?
|
20/30 |
|
25/30 |
|
35/40 |
|
30/40 |
|
25/40 |
5.Soru
matrisleri veriliyor. C = A.B eşitliği verildiğine göre C matrisinin
elemanı aşağıdakilerden hangisidir?
|
11 |
|
12 |
|
13 |
|
14 |
|
15 |
C=A.B eşitliğine göre C matrisinin
elemanını bulmak için A matrisinin ikinci satırı ile B matrisinin ikinci sütununun çarpım değerlerini bulmak yeterlidir. Buna göre
olarak hesaplanır. Bu nedenle Doğru Cevap C seçeneği olur.
6.Soru
ve
ise
ise x kaçtır ?
|
-1 |
|
0 |
|
1 |
|
2 |
|
3 |
olup iki matrisin eşitliğinden, x=0 elde edilir.
7.Soru
A matrisinin boyutu 3x4 , B matrisinin boyutu 4x2 ce C matrisinin boyutu 2x3 olsun. (A.B.C)T işleminin sonucu çıkan matrisin boyutu ne olur ?
|
2x2 |
|
2x3 |
|
3x3 |
|
3x4 |
|
4x3 |
A3x4 . B4x2 .C2x3= (A.B.C)3x3
Çıkan matrisin transpozuda yine 3x3 olur.
8.Soru
Bir otomobil bayisinin günlük araba satış sayısına bağlı olasılık dağılımı aşağıdaki gibidir:Bir otomobil bayisinin günlük araba satış sayısına bağlı olasılık dağılımı aşağıdaki gibidir:
Bu dağılışa göre bayinin 100 günde beklediği satış değeri kaç olmalıdır?
|
189 |
|
224 |
|
261 |
|
292 |
|
371 |
Beklenen değer formülünden günlük satış beklentisi:
olarak bulunur. Buna göre 100 günlük satış beklentisi 261 olmalıdır.
9.Soru
f(x) = x2 + 1 fonksiyonunun görüntü kümesi aşağıdakilerden hangisidir?
|
|
|
|
|
|
|
|
|
|
f(x) = x2 + 1
fonksiyonunun görüntü kümesi 1 dahil 1 den büyük tüm gerçel sayılar kümesidir.
10.Soru
Bir torbada 7 tane sarı 3 tane mavi ve 8 tane kırmızı bilye vardır. Ali bu torbadan bir bilye çekiyor. Çekilen bilyenin mavi olma olasılığı kaçtır?
|
1/5 |
|
4/9 |
|
2/9 |
|
1/6 |
|
7/8 |
P(A)= A olayında içerilen sonuç sayısı/ Deneyin Toplam Sonuş Sayısı
Olduğuna göre toplam bilye 18, istenilen durum ise (mavi bilye sayısı) 3 olduğuna göre P(A)=3/18=1/6 bulunur.
11.Soru
ise secx=?
|
|
|
|
|
|
|
|
|
|
olarak verilmiştir. Kotanjant fonksiyonunun dik üçgende değeri hesaplanacak açının komşu kenarının uzunluğunun karşı kenarın uzunluğuna oranı olduğunu biliyoruz. Buradan dik üçgende Pisagor bağıntısı kullanılarak hipotenüs uzunluğu da
olarak bulunur. Dik üçgen yardımıyla olur.
12.Soru
|x-1|<2 eşitsizliğinin çözüm kümesi aşağıdakilerden hangisidir?
|
(4,7) |
|
[-4,-1] |
|
(-1,3) |
|
(2,7) |
|
(3,4) |
|x-1|<2 ⇔-2<x-1<2 Her bir terime 1 eklersek,-1<x<3 olur.
13.Soru
A(2,-1), B(-1,y), C(1,3) noktalarının doğrusal olması için y ne olmalıdır?
|
-8 |
|
-11 |
|
6 |
|
11 |
|
-6 |
A, B ve C doğrusal olduğundan AC ve BC doğrularının eğimleri aynı olmalıdır.
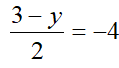
3-y = -8
y= 11
14.Soru
Birbirinden farklı üç basamaklı üç pozitif tam sayının toplamı 432’ dir. Bu sayıların en büyüğü en fazla kaçtır?
|
201 |
|
211 |
|
221 |
|
231 |
|
241 |
Üç basamaklı 3 sayıdan en büyük olanını bulmak için diğer ikisinin en küçük alınması gerekir.
Bu sayılar 100 ve 101 olursa 100+101=201 olacaktır. Büyük sayı 432-201=231 dir.
15.Soru
Bir olayın olma olasılığı aşağıdakilerden hangisi olabilir?
|
2 |
|
3/2 |
|
4/3 |
|
5/4 |
|
5/6 |
Bir olay ister bileşik ister basit olay olsun, olay gerçekleşmeden önce olasılığı sıfırdan az ya da birden büyük olamaz. İlk dört şık birden büyük olup cevap 5/6 dır.
16.Soru
vektörlerinin a×b dış çarpımının sonucu aşağıdakilerden hangisidir?
|
-3i+j+10k |
|
3i-j-10k |
|
-3i-j-10k |
|
2i-12j |
|
2i-12k |
vektörlerinin dış çarpımı
a x b = (y1 . z2 – z1. y2)i - (x1 . z2 – z1. x2)j + (x1 . y2 – y1. x2)k
formülü kullanılarak hesaplandığında,
a x b =(4 . 0-((-1).(-3)))i – (2 . 0 – ((-1).1))j + (2 .(-3) – 4 . 1)k = -3i-j-10k
17.Soru
Bir kümenin tüm altkümelerinin sayısı 64 olduğuna göre bu kümenin eleman sayısı kaçtır?
|
7 |
|
6 |
|
5 |
|
4 |
|
3 |
n elemanlı bir kümenin tüm altkümelerinin sayısı 2n dir. Tüm altkümelerinin sayısı 2n =64 olarak verildiğine göre 64=2n =2n eşitliği n=6 için sağlanır.
18.Soru
|¦(3&-1&0@2&5&4@7&0&-3)| matrisinin determinantı kaçtır ?
|
23 |
|
35 |
|
-12 |
|
-79 |
|
41 |
|¦(3&-1&0@2&5&4@7&0&-3)| = 3 |¦(5&4@0&-3)| - (-1) |¦(2&4@7&-3)| + 0 |¦(2&5@7&0)|
3.(-15) + 1.(-6-28) + 0 = -45 – 34 = -79
-
- 1.SORU ÇÖZÜLMEDİ
- 2.SORU ÇÖZÜLMEDİ
- 3.SORU ÇÖZÜLMEDİ
- 4.SORU ÇÖZÜLMEDİ
- 5.SORU ÇÖZÜLMEDİ
- 6.SORU ÇÖZÜLMEDİ
- 7.SORU ÇÖZÜLMEDİ
- 8.SORU ÇÖZÜLMEDİ
- 9.SORU ÇÖZÜLMEDİ
- 10.SORU ÇÖZÜLMEDİ
- 11.SORU ÇÖZÜLMEDİ
- 12.SORU ÇÖZÜLMEDİ
- 13.SORU ÇÖZÜLMEDİ
- 14.SORU ÇÖZÜLMEDİ
- 15.SORU ÇÖZÜLMEDİ
- 16.SORU ÇÖZÜLMEDİ
- 17.SORU ÇÖZÜLMEDİ
- 18.SORU ÇÖZÜLMEDİ