Coğrafi Bilgi Sistemleri İçin Temel Matematik Ara 9. Deneme Sınavı
Toplam 17 Soru1.Soru
Bir olayın olma olasılığı aşağıdakilerden hangisi olamaz?
|
0 |
|
1 |
|
10/11 |
|
5/2 |
|
1/2 |
Bir olayın olma olasılığı daima sıfır ile bir aralığında olmak zorundadır. 5/2>1 olduğundan doğru cevap 5/2’dir.
2.Soru
Yapılmış olan bir deneyin nihai sonuçlarına verilen ad aşağıdakilerden hangisidir?
|
Bileşik olay |
|
Basit olay |
|
Karmaşık olay |
|
Aritmetik olay |
|
Olanaksız olay |
Yapılmış olan bir deneyin nihai sonuçlarına basit olay denir. Basit olayın bir tek sonucu vardır.
3.Soru
işleminin sonucu aşağıdakilerden hangisidir?
|
100 |
|
110 |
|
120 |
|
130 |
|
140 |
Faktöriyel işlemi n! şeklinde gösterilir ve n!=n.(n-1).(n-2)…..1 şeklinde hesaplanır.Bu durumda 5! = 5.4.3.2.1 = 120 ve
elde edilir.
olur.
4.Soru
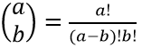
Bir işyerinde çalışan 9 kişinin 4’ü tanıtım faaliyetleri için görevlendirilecektir. Kaç farklı görevlendirme yapılabilir ?
|
84 |
|
92 |
|
112 |
|
126 |
|
144 |
(9¦4)= 9!/4!(9-4)! = 9.8.7.6.5!/4.3.2.1.5! =126
5.Soru
olduğuna göre aşağıdakilerden hangisine eşittir?
|
7 |
|
8 |
|
9 |
|
10 |
|
11 |
Yukarıdaki determinantı hesapladığımızda
3x-7=23 denklemini elde ederiz. Buradan x=0 bulunur.
6.Soru
f(x)= 3x2-5x+2 ve g(x)= 5x+1 fonksiyonları için (f.g)(2) işleminin sonucu nedir ?
|
2 |
|
12 |
|
17 |
|
44 |
|
51 |
(f.g)(x) = ( 3x2-5x+2 ).( 5x+1 )
X=2 için
(f.g)(2)=(3.22-5.2+2)(5.2+1)
=(12-10+2).(10+1)
=4.11
=44
7.Soru
İki farklı olayın bir deneyin tüm sonuçlarını içermesine verilen ad aşağıdakilerden hangisidir?
|
Tamamlayıcı olaylar |
|
Bağımlı olaylar |
|
Bağımsız olaylar |
|
Koşullu olaylar |
|
Doğrudan olaylar |
İki farklı olayın bir deneyin tüm sonuçlarını içermesine tamamlayıcı ya da bütünleyici olaylar denir. Tamamlayıcı olaylar her zaman ayrık olaylardır.
8.Soru
Aşağıdaki doğrulardan hangisi 4x+2y-7=0 doğrusuna paraleldir?
|
-4x+8y+7=0 |
|
4x-2y+7=0 |
|
-4x+8y+5=0 |
|
4x-2y+5=0 |
|
-4x-2y+5=0 |
4x+2y-7=0 doğrusu
4x-7=-2y ?
biçiminde yazılırsa x’in katsayısı olan -2 verilen doğrunun eğimi olur. Buradan yukarıda verilen şıklardaki doğruların eğimleri hesaplandığında
-4x-2y+5=0 doğrusunun da eğiminin -2 olduğu görülür. Bu iki doğrunun eğimi eşit olduğu için birbirine paraleldirler.
9.Soru
1,2,2,3,3,3,4,4,4,4,5,5,5,5,5 sayılarının modu aşağıdakilerden hangisidir?
|
1 |
|
2 |
|
3 |
|
4 |
|
5 |
Bir dağılımda en çok tekrar eden terime mod denir. Buna göre bu dağılımda en çok tekrar eden sayı 5’tir.
10.Soru
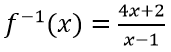
fonksiyonunun tersi aşağıdakilerden hangisidir?
|
|
|
|
|
|
|
|
|
|
y = f-1 (x) olsun elde edilir. Denklemden y çekilirse
y = olur.
11.Soru
fonksiyonları için fog(x) fonksiyonu aşağıdakilerden hangisidir?
|
x+2 |
|
2x-1 |
|
x |
|
-3x |
|
x/2 |
Verilen ve fonksiyonlarına göre:
olarak bulunmaktadır.
12.Soru
vektörünün uzunluğunun 6 olması için x sayısı aşağıdakilerden hangisi olabilir?
|
-5 |
|
-4 |
|
-3 |
|
3 |
|
5 |
vektörünün uzunluğu
ile hesaplanır. Buradan
olur.
13.Soru
olmak üzere bu vektörler arasındaki açının kosinüsü nedir?
|
-2 |
|
-1 |
|
0 |
|
1 |
|
2 |
14.Soru
y- 2x+11=0 ile ky+11-2=0 doğrularının paralel olması için k ne olmalıdır ?
|
2/11 |
|
-2/11 |
|
5/8 |
|
-11/2 |
|
3/8 |
Paralel olması için eğimlerinin eşit olması lazım.
y- 2x+11=0 doğrusunun eğimi m1=2 ve
ky+11-2=0 doğrusunun eğimi m2=(-11)/k buradan
2= (-11)/k ve k= (-11)/2 olarak bulunur.
15.Soru
f(x)= 3x2+4x-3 ve g(x)= 5x-6 fonksiyonları için f(g(2)) değerini hesaplayınız.
|
2 |
|
4 |
|
12 |
|
37 |
|
61 |
f(g(2)) = 3(5x-6)2+4(5x-6)-3 = 3(5.2-6)2+4(5.2-6)-3 =3(4)2+4(4)-3 =48+16-3=61
16.Soru
ve
olsun.Buna
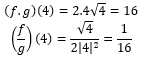
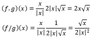
göre (f.g)(4) + (f/g)(4) kaçtır?
|
|
|
|
|
|
|
|
|
|
Verilen fonksiyonlara göre
olarak bulunmaktadır.Buna göre
ve
17.Soru
Aşağıdaki eşitsizliklerden hangisi yanlıştır?
|
|
|
|
|
|
|
|
|
|
Mutlak değer özellikleri göz önüne alındığında eşitsizliğin yanlış olduğu görülebilmektedir. Doğru cevap D'dir.