Coğrafi Bilgi Sistemleri İçin Temel Matematik Final 10. Deneme Sınavı
Toplam 18 Soru1.Soru
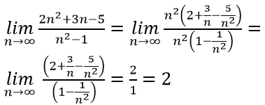
fonksiyonunun en geniş tanım kümesi aşağıdakilerden hangisidir?
|
[2,∞) |
|
(-∞,5] |
|
[2,5] |
|
[5,∞) |
|
[0,∞) |
Karaköklü ifadeler negatif olamaz. Bu durumda x-2≥0 ve 5-x≥0 olmalıdır. Buradan x≥2 ve 5≥x, 2≤x≤5 olduğundan en geniş tanım kümesi Df=[2,5] olmalıdır.
3.Soru
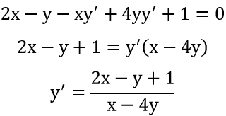
x2-xy+2y2+x-1=0 kapalı fonksiyonunun türevi aşağıdakilerden hangisidir?
|
|
|
|
|
|
|
|
|
|
x2-xy+2y2+x-1=0 fonksiyonunun türevi şu şekilde bulunur:
4.Soru
Taksimetresinin açılış ücreti 4 TL olan bir taksi şoförü götürdüğü her kilometre için 2 TL ücret almaktadır. Kilometre cinsinden gidilen yol x ile gösterilmek üzere, bu taksiye binen bir müşterinin ödemesi gereken ücreti veren fonksiyon aşağıdakilerden hangisidir?
|
f(x)=2x |
|
f(x)=6x |
|
f(x)=2+4x |
|
f(x)=4+x |
|
f(x)=4+2x |
Taksimetrenin açılış ücreti 4 TL olduğundan taksiye binen bir müşteri 4 TL ödeyecek, aynı zamanda gittiği her kilometre için de 2 TL ödeyeceğinden x kilometre giden bir müşteri 2.x TL daha ödeyecektir. Bu durumda x kilometre giden bir müşterinin ödeyeceği ücreti veren fonksiyon f(x)=4+2x olur.
6.Soru
x değeri arttıkça karşı gelen f değeri azalıyor, x değerleri arttıkça karşı gelen f değerleri de artıyorsa f fonksiyonuna verilen ad aşağıdakilerden hangisidir?
|
İç bükey |
|
Dış bükey |
|
Artan |
|
Azalan |
|
Daralan |
x değeri arttıkça karşı gelen f değeri azalıyor, x değerleri arttıkça karşı gelen f değerleri de artıyorsa f fonksiyonuna artan fonksiyon denir.
7.Soru
I. Üçgen
II. Yamuk
III. Kare
Yukarıdakilerden hangileri bulanık üye fonksiyonu olarak kullanılır?
|
Yalnız I |
|
I, II |
|
II, III |
|
I, III |
|
I, II, III |
Bulanık üye fonksiyonu olarak üçgen, yamuk ve gauss üyelik fonksiyonları kullanılır.
8.Soru
Çağlar aracına A=(-2, -4) noktasında biniyor ve bir süre sonra B=(x, 8) noktasına ulaşıyor. Çağlar'ın yapmış olduğu hareket sonucunda oluşan
vektörünün boyu 13 birim olduğuna göre x'in almış olduğu değer aşağıdakilerden hangisidir?
|
1 |
|
2 |
|
3 |
|
4 |
|
5 |
Bir vektörün uzunluğu (normu, büyüklüğü) vektörün başlangıç ve bitiş noktaları arasındaki
uzaklık olarak tanımlanmaktadır. Çağlar aracına A=(-2, -4) noktasında binip, B=(x, 8) noktasına ulaştığında oluşan
vektörünün uzunluğu 13 birim olarak verildiğinden B noktasının apsisi yani x değeri;
olarak hesaplanır. Dolayısıyla Doğru Cevap C seçeneği olur.
9.Soru
I. İnsan düşünce sistemine ve tarzına yakındır.
II. Geleneksel kontrol teknikleriyle uyum hâlindedir.
III. Bulanık mantık kavramını anlamak zordur.
Bulanık mantığın temelde sağladığı avantajlar ile ilgili yukarıdaki bilgilerden hangileri doğrudur?
|
Yalnız I |
|
Yalnız II |
|
Yalnız III |
|
I ve II |
|
I, II ve III |
Bulanık mantığın temelde sağladığı avantajlar aşağıda sıralanmıştır:
-İnsan düşünce sistemine ve tarzına yakındır.
-Uygulamasında mutlaka matematiksel bir modele gereksinim duymaz.
-Yazılımın basit olması nedeniyle, sistem daha ekonomik olarak kurulabilir.
-Bulanık mantık kavramını anlamak kolaydır.
-Üyelik değerlerinin kullanımı sayesinde, diğer kontrol tekniklerine göre daha esnektir.
-Kesinlik arz etmeyen bilgilerin kullanılması söz konusudur.
-Doğrusal olmayan fonksiyonların modellenmesine izin verebilir.
-Sadece uzman kişilerin tecrübelerinden faydalanılarak kolaylıkla bulanık mantığa dayalı bir modelleme ya da sistem tasarlanabilir.
-Geleneksel kontrol teknikleriyle uyum hâlindedir.
10.Soru
y = 3x2 – 18x + 7 fonksiyonunun kritik noktasını bulunuz.
|
X = - 1 |
|
X = 0 |
|
X = 1 |
|
X = 3 |
|
y = 3 |
Kritik nokta f1(x) = 0 olarak bulunur.
6x-18=0
X=3 olur.
11.Soru
Yukarıda verilen üyelik fonksiyonunun tipi isimlendirilmesi seçeneklerden hangisidir?
|
Üçgen |
|
Yamuk |
|
Gauss |
|
Sigmoid |
|
Dikdörtgen |
Burada üyelik fonksiyonu, μA(x)=e–a(x–m)2 a>0,m∈R olarak tanımlanan ve yukarıdaki şekilde verilen üyelik fonksiyonun Gauss (çan eğrisi) tur. Doğru cevap C seçeneğidir.
12.Soru
denkleminin çözüm kümesi nedir?
|
|
|
|
|
|
|
|
|
|
için
olduğundan mutlak değerli ifade negatif olamaz. Buna göre çözüm kümesi boş kümedir.
13.Soru
y = xx ise y' = ?
|
2x3 |
|
xx |
|
xx In (x) |
|
xx (In (x) + 1) |
|
xx (In(x) – 1 ) |
y = xx olduğundan In (y) = x In (x) olur. Her iki tarafında x’e göre türevini alırsak (y' / y) = In (x) + 1 olur. Böylece y' = xx (In (x) +1) elde edilir.
14.Soru
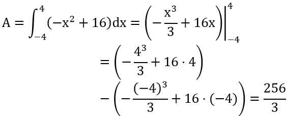
Üstten f(x)=-x2+16 parabolü alttan x-ekseni ile sınırlı bölgenin alanı kaç birim karedir?
|
|
|
|
|
|
|
|
|
|
f(x)=-x2+16 parabolünün x-eksenini kestiği noktalar -x2+16=0 denklemi çözülerek bulunur. Bu denklemin kökleri x=-4 ve x=4 olur. Üstten f(x)=-x2+16 parabolü alttan x-ekseni ile sınırlı bölgenin alanı ise olur.
15.Soru
İngilizce Fuzzy Logic ifadesininin Türkçe karşılığı aşağıdakilerden hangisidir?
|
Sinirsel Bulanıklık |
|
Bulanık Mantık |
|
Nöral Ağlar |
|
İkili Mantık |
|
Genetik Algoritma |
Belirsizlik, güvensizlik anlamındaki ‘Fuzzy’ kelimesinin, Türkçedeki yaygın kullanımı ‘bulanık’ kelimesidir. Bulanık Mantık (Fuzzy Logic) bu ilkeden yola çıkar ve kesin olmayan bir bilgiyi daha basit ve kullanışlı bir hâle getirir.
16.Soru
Yukarıdaki grafikte Genç – Orta Yaşlı – Yaşlı kavramlarını temsil eden üyelik fonksiyonları gösterilmiştir.
41 yaş için aşağıdakilerden hangisi doğrudur?
|
|
|
|
|
|
|
|
|
|
Grafiğe göre olur.
17.Soru
Yukarıdaki grafikte Genç – Orta Yaşlı – Yaşlı kavramlarını temsil eden üyelik fonksiyonları gösterilmiştir.
33 yaş için aşağıdakilerden hangisi doğrudur?
|
|
|
|
|
|
|
|
|
|
Grafiğe göre ve
olur.
18.Soru
an = n / n + 1 dizisi için verilen ifadelerden hangisi ya da hangileri doğru olabilir?
- Dizi ıraksaktır.
- Dizi yakınsaktır.
- Dizinin limiti 0 a eşittir.
- Dizinin limiti 1 e eşittir.
- Dizinin limiti 2 ye eşittir.
|
Yalnız I |
|
Yalnız II |
|
II ve III |
|
II ve IV |
|
I, II ve V |
olduğundan dizinin limiti 1 e eşittir. Limiti olan dizilere yakınsak dizi denilir. Bu sebeple doğru cevap D seçeneğidir.
-
- 1.SORU ÇÖZÜLMEDİ
- 2.SORU ÇÖZÜLMEDİ
- 3.SORU ÇÖZÜLMEDİ
- 4.SORU ÇÖZÜLMEDİ
- 5.SORU ÇÖZÜLMEDİ
- 6.SORU ÇÖZÜLMEDİ
- 7.SORU ÇÖZÜLMEDİ
- 8.SORU ÇÖZÜLMEDİ
- 9.SORU ÇÖZÜLMEDİ
- 10.SORU ÇÖZÜLMEDİ
- 11.SORU ÇÖZÜLMEDİ
- 12.SORU ÇÖZÜLMEDİ
- 13.SORU ÇÖZÜLMEDİ
- 14.SORU ÇÖZÜLMEDİ
- 15.SORU ÇÖZÜLMEDİ
- 16.SORU ÇÖZÜLMEDİ
- 17.SORU ÇÖZÜLMEDİ
- 18.SORU ÇÖZÜLMEDİ