Coğrafi Bilgi Sistemleri İçin Temel Matematik Final 12. Deneme Sınavı
Toplam 17 Soru2.Soru
Kutupsal koordinatlardaki noktası x - ekseni boyunca 2 birim sağa, y - ekseni boyunca 3 birim aşağı ötelenirse Kartezyen koordinatlarda hangi nokta elde edilir?
|
|
|
|
|
|
|
|
|
|
Kutupsal koordinatlarda verilen ikilisinin Kartezyen koordinatlardaki karşılığı
olur ve verilen noktanın Kartezyen koordinatlardaki karşılığı
olarak bulunur. Bu nokta x - ekseni boyunca 2 birim sağa, y - ekseni boyunca 3 birim aşağı ötelenirse
elde edilir.
3.Soru
Bulanık mantık işlemlerinde bir üçgenle bir yamuğun kesişiminden oluşan şekil aşağıdakilerden hangisi veya hangilerini ifade etmiş olabilir?
I) Bu iki şekilden oluşan yeni kuralın etkisini
II) Bu iki şekle ait olan kuralların etkinleştiğini
III) Yükseklik metodunun kullanıldığını
IV) Durulaştırma işlemi yapıldığını
|
II |
|
III |
|
I, II, IV |
|
II,III, IV |
|
I, II |
Bulanık mantık işlemlerinde bir üçgenle bir yamuğun kesişiminden oluşan şekil bu iki şekle ait olan kuralların etkinleştiğini,yükseklik metodunun kullanıldığını ve durulaştırma işlemi yapıldığını ifade etmektedir.
4.Soru
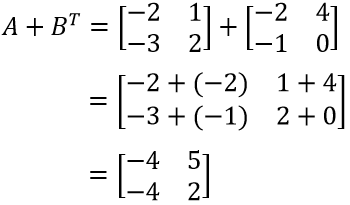
olduğuna göre A+BT matrisi aşağıdakilerden hangisidir?
|
|
|
|
|
|
|
|
|
|
olmak üzere C matrisinin devriği (transpozu), matrisin satırlarının sütun, sütunlarının ise satır olarak yazıldığı bir matris olup
şeklinde ifade edilir. Bu durumda ’dır. İki matrisi toplamak için ise aynı satır ve sütundaki elemanlar ayrı ayrı toplanarak, bu toplamlar ilgili satır ve sütuna yazılır. Bu durumda
elde edilir.
5.Soru
f(x)=x2+1, g(x)=x-2 ise f∘g(x) nedir?
|
x2 - 1 |
|
x2 - 4x +1 |
|
x2 + 7 |
|
x2 - 4x +5 |
|
x2 - x - 2 |
(f∘g)(x)=f(g(x)) olduğuna göre
f(g(x))=g(x)2+1=(x-2)2+1=x2-4x+5 bulunur.
6.Soru
şeklinde verilsin.
Bu iki vektörün iç çarpımı 5 ’e eşit olduğuna göre x ile y’nin çarpımı aşağıdakilerden hangisine eşittir?
|
-3 |
|
3 |
|
5 |
|
-5 |
|
1 |
a ile b vektörünün iç çarpımı
değerine eşittir. Buradan x.y =-3 olarak bulunur.
7.Soru
A = |■(-1&-3@4&7)| ise |A| kaçtır ?
|
-19 |
|
-12 |
|
5 |
|
7 |
|
19 |
|A| ifadesi matrisin determinantını göstermektedir. Bunun için verilen matrisin determinantı alınır. 2x2 byutundaki bir matrisin determinantı ise |■(a&b@c&d)| şeklinde ise
=a.d - b.c olarak hesaplanır.
|A| = (-1).7 – (-3).4 = -7 – (-12) = -7 + 12 = 5 olarak bulunur.
9.Soru
Üç boyutlu uzayda (-1,2,-3) noktasının koordinatlarının sx = -1 , sy = (-1)/2 ve sz = 4 ile ölçeklenmesi sonucu elde edilen noktanın koordinatları aşağıdakilerden hangisidir ?
|
( -1, (-1)/2 ,4 ) |
|
( 1, 2 , 4 ) |
|
(1 , -1, -12 ) |
|
( 1, (-1)/2 ,12 ) |
|
(-1,-2,3) |
(x,y,z ) noktasının x değişkeni sx , y değişkeni sy ve z değişkeni sz ile çarpılarak ölçekleme yapılır.
(sx.x , sy.y , sz ) = ( -1.(-1) , (-1)/2 .2 , 4. (-3) ) = (1 , -1, -12 )
10.Soru
I. Çıkarım
II. Yükseklik
III. Ağırlık merkezi
Yukarıdakilerden hangileri durulaştırma işleminde kullanılan yöntemlerdendir?
|
Yalnız I |
|
Yalnız II |
|
Yalnız III |
|
I ve II |
|
II ve III |
Durulaştırma işleminde kullanılan yöntemlerden ikisi Yükseklik Yöntemi ve Ağırlık Merkezi Yöntemidir.
11.Soru
Aşağıdakilerden hangisi Bulanık mantığın endüstride kullanımının kazandırdığı avantajlardan biri değildir ?
|
Verimliliği arttırır |
|
Daha uygun üretim sağlar |
|
Zamandan tasarruf sağlar |
|
Ekonomik açıdan fayda getirir |
|
Rekabeti artırır |
Sayfa 175 te , Bulanık mantığın endüstride kullanımı verimliliği arttırır, daha uygun üretim sağlar, zamanın çok önemli olduğu günümüzde zamandan tasarruf sağlar ve ekonomik açıdan fayda getirir.
12.Soru
Üyelik fonksiyonun simetrik olması durumunda aşağıdakilerden hangisi doğrudur ?
|
Durulaştırma işleminde sonuç girdi ile aynı olur. |
|
Bulanıklaştırma işleminde çıktının girdisi ile aynı olur. |
|
Durulaştırma sonucunun üyelik aktivasyon fonksiyonun tersi olur. |
|
Kural işleme biriminde eğer durumları tekil olur ve birleştirme uygulanmaz |
|
Kümeleme işleminde kurallar minimum üyelik değerlerini alır |
Diğer şıklarda belirtilen durumlar doğru değildir. Sadece A şıkkında belirtilen olay gerçekleşir
13.Soru
eşitsizliğinin çözüm kümesi aşağıdakilerden hangisidir?
|
|
|
|
|
|
|
|
|
|
olduğundan
verilen eşitsizliğin çözüm kümesi olur.
14.Soru
y=x2-4x eğrisi ile y=0 doğrusu arasında kalan alan aşağıdakilerden hangisidir?
|
128/3 |
|
128 |
|
64 |
|
32 |
|
32/3 |
Önce bu iki denklemin kesiştiği noktaları bulalım. x2-4x=0, x(x-4)=0 olur. Buradan x=0 ve x=4 bulunur. Aradığımız alan; bulunur. Ancak alan negatif olmayacağından eksi işareti bize alanın x ekseninin altında kaldığını gösterir.
15.Soru
5. Üç boyutlu uzayda (2,3,1) noktasının koordinatlarının ile ölçeklenmesi sonucu oluşan noktanın koordinatları aşağıdakilerden hangisidir?
|
|
|
|
|
|
|
|
|
|
Yukarıda verilen noktayı ile ölçeklersek
yani
koordinatları oluşur.
16.Soru
Yukarıdaki grafikte Çok Soğuk – Soğuk – Ilık – Sıcak – Çok Sıcak kavramlarını temsil eden üyelik fonksiyonları gösterilmiştir.
25C0 sıcaklık için aşağıdakilerden hangisi doğrudur?
|
|
|
|
|
|
|
|
|
|
17.Soru
(2,-8) ve (-6,7) noktaları arasında mesafe aşağıdakilerden hangisidir?
|
5 |
|
12 |
|
17 |
|
23 |
|
32 |
P1 = (x1,y1) , P2 = (x2,y2) noktaları arasındaki mesafe eşitliği ile hesaplanmaktadır. Buradan
olarak bulunmaktadır. Doğru cevap C'dir.