Coğrafi Bilgi Sistemleri İçin Temel Matematik Final 14. Deneme Sınavı
Toplam 15 Soru1.Soru
A = {a, b, c, 1, 2, 3} ve B = {b, c, d, 0, 1, 2} olmak üzere A ∩ B kümesinin alt küme sayısı aşağıdakilerden hangisidir?
|
2 |
|
4 |
|
8 |
|
16 |
|
32 |
A = {a, b, c, 1, 2, 3} ve B = {b, c, d, 0, 1, 2} olmak üzere A ∩ B = {b, c, 1, 2} olarak bulunur. A ∩ B kümesinin alt küme sayısı
ve n=4 olmak üzere olarak bulunur. Doğru Cevap D seçeneğidir.
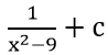
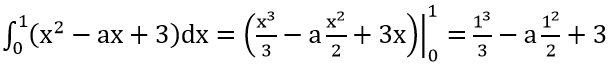
2.Soru
integralinin sonucu aşağıdakilerden hangisidir?
|
|
|
|
|
|
|
|
|
|
3.Soru
(3, 2) noktasının orijin etrafında, saat yönünün tersine 90° döndürülmesi ile elde edilen noktanın koordinatları aşağıdakilerden hangisidir?
|
(-2, -3) |
|
(3, -2) |
|
(2, -3) |
|
(-3, 2) |
|
(-2, 3) |
(x, y) noktasını (x΄, y΄) noktasına döndürme işleminde kullanılan denklemleri;
biçiminde ifade edilir. Bu soru için (x, y) = (3,2) ve
olarak verilmiştir. Buradan değişkenlerin değerleri yerine konulduğunda;
olarak bulunur. Bu nedenle Doğru Cevap E seçeneğidir.
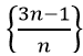
4.Soru
Aşağıdaki dizilerden hangisi azalandır?
|
|
|
|
|
|
|
|
|
|
Her n=1,2,3,... için an+1 an oluyorsa {an } dizisine azalan dizi denir. Her n=1,2,3,... için
dizisi an+1
an koşulunu sağladığından azalan bir dizidir.
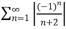
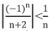
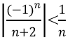
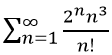
5.Soru
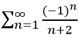
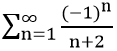
serisi ile ilgili aşağıdakilerden hangisi doğrudur?
|
|
|
|
|
|
|
|
|
|
serisi ıraksaktır. Teorem 11’deki koşullar sağlandığı için
serisi yakınsaktır. Bu yüzden seri şartlı yakınsaktır denir.
6.Soru
Bir torbada 1 den 20 e kadar sıralanmış 20 top vardır. Madeni bir para havaya atılıp torbadan bir top çekiliyor. Paranın yazı ve çekilen topun asal sayı veya tek sayı olma olasılığı nedir?
|
11/20 |
|
7/20 |
|
2/5 |
|
11/40 |
|
1/2 |
7.Soru
serisi için bölüm kuralına göre yapılan aşağıdaki yorumlardan hangisi doğrudur?
|
|
|
|
|
|
|
|
|
|
Yani seri yakınsaktır.
8.Soru
y=x2 eğrisi ile y=3-2x doğrusu arasında kalan bölgenin alanı aşağıdakilerden hangisidir?
|
11 |
|
|
|
9 |
|
|
|
6 |
x2=3-2x eşitliğinden x=-3 ve x=1 olup, [-3,1] aralığında 3-2x>x2 dir. Aranılan bölgenin alanı: olur.
9.Soru
1900’lerin başında geleneksel anlayıştan farklı olarak ‘olası’ kavramı ortaya kim tarafından atılmıştır?
|
Jan Lukasiewicz |
|
Max Planck |
|
Zadeh |
|
Gödel |
|
Aristo |
1900’lerin başında, geleneksel anlayıştan farklı olarak Polonyalı mantıkçı Jan Lukasiewicz 3. bir değer olan ‘olası’ kavramını ortaya atmıştır.
10.Soru
ise a sayısının değeri aşağıdakilerden hangisidir?
|
|
|
|
|
|
|
|
|
|
1=1 olduğundan denklem çözüldüğünde a= bulunur.
11.Soru
Aşağıda verilen ifadelerden kaç tanesi üyelik fonksiyonlarının belirlenmesinde kullanılan başlıca yöntemlerdendir?
- Mertebeleme
- Açılı bulanık kümeler
- Yapay sinir ağları
- Genetik algoritmalar
- Çıkarım
|
1 |
|
2 |
|
3 |
|
4 |
|
5 |
Bulanıklaştırma sürecinde ele alınan üyelik fonksiyonları, problemin yapısına ve amacına uygun olmalıdır. Genel anlamda üyelik fonksiyonları sezgisel, matematiksel, geometrik ya da istatistiksel yaklaşımlara dayandırılabilmektedir. Bulanık kümelerin gerek üyelik derecelerinin gerekse bunların tümünü temsil edebilecek üyelik fonksiyonlarının belirlenmesinde, ilk başlayanlar tarafından bile kişisel sezgi, mantık ve tecrübelerin kullanılmasına sıkça rastlanır. Zaten pratikte birçok sorunun üstesinden gelebilmek için bu yaklaşımlar çoğu zaman yeterlidir. Öyle olmasa bile, ilk yaklaşım olarak bu esaslara göre davranmaları faydalıdır. Üyelik fonksiyonlarının belirlenmesinde kullanılan başlıca yöntemler;
a) Sezgi,
b) Çıkarım,
c) Mertebeleme,
d) Açılı bulanık kümeler,
e) Yapay sinir ağları,
f) Genetik algoritmalar,
g) Çıkarımcı muhakeme şeklindedir. Doğru cevap E seçeneğidir.
12.Soru
1, 2, 2, 3 setinin aritmetik ortalama, varyans ve standart sapmasının çarpımı kaçtır?
|
|
|
|
|
|
|
|
|
|
Verilen setin aritmetik ortalama, varyans ve standart sapması sırasıyla:
olarak hesaplanmaktadır. Buna göre aritmetik ortalama, varyans ve standart sapmanın çarpımı olarak hesaplanmaktadır.
14.Soru
Aşağıdakilerden hangisi bulanık mantığın sağladığı avantajlardan birisi değildir?
|
Doğrusal olmayan fonksiyonların modellenmesine izin verebilir. |
|
Geleneksel kontrol teknikleriyle uyum halindedir. |
|
Herhangi bir kişinin görüşlerinden faydalanılarak kolaylıkla bulanık mantığa dayalı bir sistem tasarlanabilir. |
|
Yazılımın basit olması nedeniyle, sistem daha ekonomik olarak kurulabilir. |
|
Uygulamasında mutlaka matematiksel modele gereksinim duymaz. |
Herhangi bir kişinin görüşüyle değil ancak sadece uzman kişilerin tecrübelerinden faydalanılarak bulanık mantığa dayalı bir modelleme ya da sistem tasarlanabilir. Bu yüzden "Herhangi bir kişinin görüşlerinden faydalanılarak kolaylıkla bulanık mantığa dayalı bir sistem tasarlanabilir." şıkkında belirtilen ifade bulanık mantığın sağladığı avantajlardan birisi değildir.
15.Soru
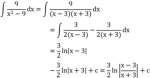
İntegralaltı fonksiyon u.dv şeklinde ifade edilebilirse uygulanabilecek yöntem aşağıdakilerden hangisidir?
|
Kısmi integralleme yöntemi |
|
Trigonometrik değişken değiştirilmesi yöntemi |
|
Değişken değiştirme yöntemi |
|
Basit kesirlere ayırma yöntemi |
|
Aritmetik rassal yöntem |
u ve v fonksiyonları x değişkeninin birer diferansiyellenebilir fonksiyonları olsunlar. Bu durumda elde edilen formüle kısmi integralleme formülü adı verilir ve bu yöntem, integralaltı fonksiyon u-dv şeklinde ifade edilebilirse uygulanabilir.