Devre Analizi Ara 1. Deneme Sınavı
Toplam 19 Soru1.Soru
Elektronların kaynakta üretilen enerji dolayısı ile hareket etmesi sırasında iletkenin buna karşı uyguladığı zorluğa ne ad verilir?
|
Kaynak |
|
Güç |
|
Gerilim |
|
Akım |
|
Direnç |
Elektronların kaynakta üretilen enerji dolayısı ile hareket etmesi sırasında iletkenin buna karşı uyguladığı zorluğa direnç denir.
2.Soru
Çok sayıda kaynak bulunan karmaşık devrelerde, her kaynağın tek tek devredeki etkisi ile bulunan değerlerin cebirsel toplamı aşağıdakilerden hangisi ile ifade edilir?
|
Ohm kanunu |
|
Kısadevre teoremi |
|
Süperpozisyon teoremi |
|
Kaynak Dönüşümü |
|
Thevenin teoremi |
Süperpozisyon teoremi, çok sayıda kaynak bulunan karmaşık devrelerde, her kaynağın tek tek devredeki etkisi ile bulunan değerlerin cebirsel toplamıdır.
3.Soru
Verilen devrede R3 direnci üzerine düşen gerilim kaç V ‘tur?
|
2 V |
|
4 V |
|
5 V |
|
6 V |
|
7 V |
Buradan Vx = 7 V olarak bulunur. Bu aynı zamanda R3 üzerindeki gerilimdir.
4.Soru
Şekilde verilen devrede IA göz akımının değeri aşağıdakilerden hangisidir?
|
1,5 A |
|
2,5 A |
|
3,5 A |
|
4 A |
|
4,5 A |
1. göze (IA) ait denklem: –12 + 4 . IA + 2 . (IA – IB) = 0
2. göze ait denklem: –10 + 8 . IB + 2 . (IB – IA) = 0
Denklemler düzenlenerek tekrar yazılırsa aşağıdaki denklemler elde edilir:
6 . IA – 2 . IB = 12
–2 . IA + 10 . IB = 10
Yukarıda elde edilen iki bilinmeyenli denklemler çözüldüğünde,
IA = 2,5 A olarak elde edilir.
5.Soru
Yukarıdaki devrede R3 üzerine düşen gerilim değeri kaç volttur?
|
2 |
|
4 |
|
2.5 |
|
3.5 |
|
6 |
Kirşof gerilimler kanunuda göre kapalı bir devrede tüm gerilim düşümlerinin toplamı sıfırdır, buna göre,
6.Soru
Yukarıdaki şekilde R1=5 ? ,R2=2 ?, R3=2 ? ve V1=20V olduğuna göre I akımı kaçtır?
|
3,333 |
|
3,334 |
|
66,68 |
|
67 |
|
67,68 |
Burada R1=5, R2=2 ve R3=2, V1=20 değerleri yerine yazılırsa V=3,333 bulunur.
-(3,333-20)/5=3,334 I=3,334
7.Soru
Şekil 3’te R1 =10 ? , R2 =5 ?, R3 =5 ? ve kaynak gerilimi (V) 40 Volt’tur. Devreden geçen akımın değeri kaç Amper’dir?
|
1 A |
|
2 A |
|
3 A |
|
4 A |
|
5 A |
E=I.R1+I.R2+I.R3
40=I.10+I.5+I.5 I=40/20 = 2 A’dir.
8.Soru
Düğüm denklemleri yazılırken, hangisine göre düğüm noktasına gelen akımlar eksi (–), düğüm noktasından giden akımlar artı (+) alınır?
|
Ohm kanunu |
|
Temel akım yasaları |
|
Çevre akımları yöntemi |
|
Kirchhoff akım yasası |
|
Düğüm noktası yöntemi |
Düğüm denklemleri yazılırken, Kirchhoff’un akım yasasına göre düğüm noktasına gelen akımlar eksi (–), düğüm noktasından giden akımlar artı (+) alınır.
9.Soru
Direnç-akım ve gerilim arasındaki ilişki aşağıdakilerin hangisinde doğru ifade edilmiştir?
|
Seri bağlı dirençler |
|
Ohm kanunu |
|
Gerilim çarpanı |
|
Paralel bağlı dirençler |
|
Karışık bağlı dirençler |
Bir iletkenin iki ucu arasındaki potansiyel farkın, iletkenden geçen akımın şiddetine oranı sabittir. Bir iletkenin direnci, üzerinden geçen akımla ters, üzerindeki gerilimle doğru orantılıdır. Direnç, akım ve gerilim arasındaki bu ilişkiyi belirleyen kanuna Ohm Kanunu denir.
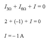
10.Soru
Yukarıdaki şekle göre I değeri kaçtır?
|
1 |
|
2 |
|
-1 |
|
-2 |
|
3 |
11.Soru
Boyu 1000 cm ve kesiti 5 mm2, özdirenci 0,02 ohm. mm2/metre olan bakır telin iletkenliği kaçtır?
|
10 S |
|
15 S |
|
20 S |
|
25 S |
|
30 S |
Direnç değeri hesaplanır ve tersi alındıktan sonra iletkenlik değeri bulunur İletkenin boyu cm olarak verilmiş denklemde m olması gerektiğinden l=1000cm=10m’dir. R=?.(l/S)=(0,02.10)/5=0.04, G=1/R= 25 S’tir.
12.Soru
Yukarıda görülen devrede E=12V, R1=5?, R2=2, ? R3=2 ? olarak verilmiştir. Devreden geçen akım kaçtır?
|
0,33 |
|
0,66 |
|
1,33 |
|
1,66 |
|
2 |
VR1=I.R1=I.5=5I Volt
VR2=I.R2=I.2=2I Volt
VR3=I.R3=I.2=2I Volt
-E+5I+2I+2I=0
-12+9I=0
I=1,33
13.Soru
Renk kodları mor, gri ve siyah olan direncin minimum ve maksimum değerleri aşağıdakilerden hangisinde doğru olarak verilmiştir?
|
Rmin=60 Ω ve Rmax=93 Ω |
|
Rmin=62,4 Ω ve Rmax=93,6 Ω |
|
Rmin=64,2 Ω ve Rmax=95 Ω |
|
Rmin=63 Ω ve Rmax=94 Ω |
|
Rmin=63,4 Ω ve Rmax=94,6 Ω |
R=AB.10C = 78. 100
R=78±%20
R=78±(78.20/100)
Rmin=62,4 Ω
Rmax=93,6 Ω
14.Soru
Verilen bir devrede değerleri R1=2 ? ve R2=8 ? olan iki direnç paralel bağlıdır. Bu dirençlere paralel bağlı halde bulunan gerilim kaynağının değeri 16 Volt’tur. Belirtilen devre için kaynaktan çekilen akımın değeri kaçtır?
|
5 A |
|
8 A |
|
10 A |
|
12 A |
|
15 A |
Ohm kanunun’dan I=V/Reş = 16/1,6 = 10 A.
15.Soru
Şekildeki devrede R1=R2=R3=R4=R5=3 Ω , R6=2 Ω , R7=1 Ω ve kaynak gerilimi V=12 Volt olarak verilmektedir. Buna göre devre akımının değeri kaç A’dir?
|
2 A |
|
3 A |
|
4 A |
|
5 A |
|
6 A |
Şekilde görüldüğü gibi R2, R3 ve R4 dirençleri üçgen formdadır. Devrenin eşdeğer direncinin hesaplanabilmesi için üçgen form yıldız forma çevrilir. Üçgen devreyi oluşturan dirençlerin hepsi eşit olduğu için yıldız devrenin dirençlerinin her biri,
Rλ =RΔ /3 Rλ =3 /3 Rλ = 1 Ω
Re ş1 = 1 + R5 = 1 + 3 = 4 Ω
Re ş2 = 1 + R6 + R7 = 1 + 2 + 1 = 4 Ω olarak bulunur.
Bu devrede 4Ω ve 4 Ω paraleldir. İki direncin paralelliği ile bulunan Reş3 direnci ise 1 Ω ve R1 dirençleri ile seri bağlıdır.
Reş3 = 4.4 / 4+4 = 2 Ω
Devrenin eşdeğer direnci,
Reş = R1 + 1 + 2 = 3 + 1 + 2 = 6 Ω olur.
Kaynaktan çekilen akım Ohm yasası kullanılarak bulunur.
I = V / Reş = 12 / 6
I= 2 A
16.Soru
Yukarıdaki şekle göre V1 kaç Volttur?
|
5 V |
|
6 V |
|
7 V |
|
15 V |
|
30 V |
Sayfa 52 de çözüm 6V bulunmuştur.
17.Soru
Renk kodları mavi-mor-siyah-gümüş-altın olarak verilen direncin değeri kaçtır?
|
670± %5 |
|
6,7± %5 |
|
67± %20 |
|
67± %10 |
|
67± %5 |
Beş renk bantlı bir direncin büyüklüğü R = ABC . 10D ± % T eşitliği ile bulunur. Bu durumda, R=670.10-2 ± %5 olarak yazılır.
18.Soru
Thevenin eşdeğer devresinden Norton eşdeğer devresine dönüşüm yapabilmenin ilk şartı aşağıdakilerden hangisidir?
|
Gerilim kaynağına seri bağlı bir direnç olması |
|
Gerilim kaynağının boyutunun hesaplanması |
|
Ohm yasasının işleme dahil edilmemesi |
|
Denklem çıkarılması |
|
Kaynak türlerinin önemsenmemesi |
Thevenin eşdeğer devresinden Norton eşdeğer devresine dönüşüm yapabilmek için ilk şart gerilim kaynağına seri bağlı bir direnç olmasıdır.
19.Soru
R3 direnci üzerine düşen gerilim kaç V'dur?
|
24 |
|
48 |
|
64 |
|
96 |
|
128 |
Düğüm noktası 16 V ve bağımlı üreteç=kI1=8.8A=64V olur. (burada I1, R2 direnci üzerinden geçen akım) R3 direnci üzerine ise 64-16=48 V düşer.
-
- 1.SORU ÇÖZÜLMEDİ
- 2.SORU ÇÖZÜLMEDİ
- 3.SORU ÇÖZÜLMEDİ
- 4.SORU ÇÖZÜLMEDİ
- 5.SORU ÇÖZÜLMEDİ
- 6.SORU ÇÖZÜLMEDİ
- 7.SORU ÇÖZÜLMEDİ
- 8.SORU ÇÖZÜLMEDİ
- 9.SORU ÇÖZÜLMEDİ
- 10.SORU ÇÖZÜLMEDİ
- 11.SORU ÇÖZÜLMEDİ
- 12.SORU ÇÖZÜLMEDİ
- 13.SORU ÇÖZÜLMEDİ
- 14.SORU ÇÖZÜLMEDİ
- 15.SORU ÇÖZÜLMEDİ
- 16.SORU ÇÖZÜLMEDİ
- 17.SORU ÇÖZÜLMEDİ
- 18.SORU ÇÖZÜLMEDİ
- 19.SORU ÇÖZÜLMEDİ