Devre Analizi Final 11. Deneme Sınavı
Toplam 20 Soru1.Soru
Yukarıdaki devreye göre I1 ve I2 akımlarını çevre akım yöntemiyle bulunacak olursa aşağıdakilerden hangisi doğru olur?
|
I1=−0,586 ∠−45° A I2= 2,076 ∠ 61,21° A |
|
I1=0,586 ∠−45° A I2= -2,076 ∠ 61,21° A |
|
I1=1,586 ∠−45° A I2= 1,076 ∠ 61,21° A |
|
I1=−0,586 ∠−45° A I2= -2,076 ∠ 61,21° A |
|
I1=−0,586 ∠−45° A I2= 1,076 ∠ 61,21° A |
2.Soru
10pF(pikofarad) kaç uF(mikrofarad)'dır?
|
10-2 |
|
10-3 |
|
10-4 |
|
10-5 |
|
10-6 |
piko=10-12, mikro ifadesi 10-6 olduğundan 10 pf10-5 uF'dır.
3.Soru
Kolları üzerinde devre elemanları bulunan kapalı devreye ne denmeketedir?
|
Devre |
|
Düğüm |
|
Çevre |
|
Göz |
|
Kol |
Bir devrede bir düğüm noktasından başlayarak elemanlar üzerinden hareket ederek aynı düğüm noktasına ulaştığımızda bir kapalı devre oluşur. Kolları üzerinde devre elemanları bulunan kapalı devreye çevre denir.
4.Soru
Hem karmaşık sayılarla yapılan işlemlerden hem de zamana bağlı değişimden dolayı birden fazla güç kavramı söz konusudur. Aşağıdakilerden hangisi bu kavramlar arasında değildir?
|
Anlık Güç |
|
Ortalama Güç |
|
Reaktif Güç |
|
Görünür Güç |
|
Düşük Güç |
Düşük Güç bu kavramlar arasında değildir.
5.Soru
Düğüm noktaları arasında kalan ve üzerinde devre elemanlarının yer aldığı devre parçasına ne ad verilir?
|
Çevre |
|
Kol |
|
Düğüm noktası |
|
Devre elemanı |
|
Göz |
Kapalı bir devrede üzerinden akım geçen direnç, kaynak gibi elemanlara devre elemanı denir. Bir elektrik devresinde ikiden fazla devre elemanının birleştiği yere düğüm veya düğüm noktası denir. Bir devrede akımın devresini tamamladığı yola çevre, içerisinde kol bulunmayan çevrelere göz denir. Kol, her bir devre elemanının üzerinde yer aldığı devre parçasıdır. Bir başka şekilde ifade edilirse, düğüm noktaları arasında kalan ve üzerinde devre elemanlarının yer aldığı devre parçasına kol denir.
6.Soru
RC devrelerinde şarj/deşarj esnasında kondansatör enerjisinin ------------ değişim göstermesi için gereken süre devrenin zaman sabitine eşittir. İfadesindeki boşluklu yere aşağıdakilerden hangisi gelmelidir?
|
%27 |
|
%37 |
|
%50 |
|
%63 |
|
%73 |
RC devrelerinde şarj/deşarj esnasında kondansatör enerjisinin %63 değişim göstermesi için gereken süre devrenin zaman sabitine eşittir.
7.Soru
Yüzey alanı 25 cm² ve plakalar arası 4 mm uzaklık bulunan hava aralıklı bir kondansatörün kapasitesi aşağıdakilerden hangisinde verilmiştir?(?0 = 8,854 . 10-12 F/m, ?r = 1)
|
0,24 F |
|
6,63mF |
|
16,55nF |
|
7,25 pF |
|
22,14 pF |
A=25cm²=0,0025 m²
d=4mm=0,004 m
C=?0.?r·A/d=8,854 . (10-12) .1·25 .10-4 / 4. 10-3 =22,14pF
8.Soru
9 V'luk üreteçten çekilen güç kaç W'dır?
|
0,5 |
|
2 |
|
4,5 |
|
9 |
|
19 |
9 V'luk üreteç 0,5 A ürettiğinden P=V.I olduğundan P=9V. 0,5 A =4,5 W
9.Soru
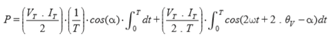
Bir direncin üzerindeki ortalama güç hesaplanmak istenirse aşağıdaki formüllerden hangisi kullanılır?
|
|
|
|
|
|
|
|
|
|
Doğru formül
10.Soru
Bir devrede R=5?, C=60mF ve vs(t)=2u(t) olan direnç, kondansatör ve gerilim kaynağı birbirine seri bağlanmıştır. Kondansatör üzerindeki başlangıç gerilimi vc(0)=0 olduğuna göre t=150msn iken vc(t) değeri aşağıdakilerden hangisidir?
|
0,8V |
|
3V |
|
0,5V |
|
5V |
|
8V |
Gerilim kaynağı birim basamak fonksiyonu ile tanımlandığından t?0 için vs(t)=0, t?0 için vs(t)=2V olacaktır. Buna göre t sonsuza giderken kondansatör açık devre, vc(?)=2V, RTH=5? ve zaman sabiti ?=RTH.C=0,3sn olacaktır. vc(t)=K1+K2.e-t/? ifadesinden t=150msn sonra kondansatör gerilimi vc(t)=2+(0-2). e-0,15/0,3=0,8V bulunur.
11.Soru
Şekildeki devrenin t < 0 için durumu aşağıdakilerden hangisidir?
|
|
|
|
|
|
|
|
|
|
Bu şekildeki devrenin t < 0 için durumu şu şekildedir:
12.Soru
Şekildeki devrede t < 0 süresince kapalı bulunan anahtar t = 0 anında açıldığına göre t = 100 msn anında iL akımının aldığı değer aşağıdakilerden hangisidir?
|
1,5 A |
|
2,1 A |
|
2,8 A |
|
3,2 A |
|
4 A |
t < 0 durumu için aktif olan devrede
Olarak elde edilir. t ? 0 durumunda ise, devrenin voltaj kaynağı ile bağlantısı devam ettiğinden devrenin tüm tepkisi bulunur. iL(t) akımının bulunması için IL0 akımının yanında iL (?) akımının da hesaplanması gerekir. Bunun için öncelikle Thevenin eşdeğer direnci hesaplanır.
RTH = R1 + R2 = 15 + 5 = 20 ?
t->?için bobin kısa devre olacağından,
Devrenin zaman sabiti ise,
Olarak bulunur.
şeklinde bulunur. Buna göre;
olarak bulunmaktadır.
13.Soru
Değeri R=5Ω olan bir direnç, L=1H olan bir bobin ve Is=8A olan bir doğru akım kaynağı birbirine paralel bağlanmıştır. Buna göre akım kaynağı devreden çıkartıldıktan 100msn sonra bobin üzerinden akan akımın değeri aşağıdakilerden hangisidir?
|
1,35A |
|
8A |
|
2,45A |
|
4,85A |
|
3A |
Akım kaynağı devrede iken bobin kısa devredir ve iL(0)=8A olur. Zaman sabiti ise τ=L/R=0,2sn ve 100msn sonra iL(t)= iL(0). e-t/τ=8.e-0,1/0,2=4,85A bulunur.
14.Soru
AA akım veya gerilimin belirli bir anda aldığı değere ne denir?
|
Etkin Değer |
|
Nominal Değer |
|
Sabit Değer |
|
Anlık Değer |
|
Frekans Değer |
AA akım veya gerilimin belirli bir anda aldığı değere anlık değer denir. Anlık değer zamana bağlı değişim gösterir. AA gerilimi için anlık değer t zaman değişkenine bağlı v (t) fonksiyonuyla, AA akımı için anlık değer t zaman değişkenine bağlı i(t) fonksiyonuyla gösterilir.
15.Soru
Bir seri RLC devresinde direnç 4 Ω , kondansatör 20 mF, bobin 8 µH ise rezonans frekansı kaç rad/sn’dir?
|
1 Krad / sn B) 2 Krad / sn C)2.5 Krad / sn D)3 Krad / sn E)3.5 Krad / sn |
|
2 Krad / sn |
|
2.5 Krad / sn |
|
3 Krad / sn |
|
3.5 Krad / sn |
16.Soru
Güç faktörünün düzeltilmesindeki amaç devreye uygun ilave elektriksel yükü bağlayarak devrenin harcadığı reaktif yani kayıp gücü azaltmak, diğer bir deyişle güç faktörünü yükseltmektir. Buna göre izlenecek yolda aşağıdakilerden hangisi 2.adımdır?
|
Mevcut devrenin harcadığı ortalama güç ve reaktif güç hesaplanır |
|
Hesaplanan fark negatifse bağlanacak olan yük kondansatör, pozitifse bağlanacak yük bobindir. |
|
İstenilen güç faktörünün sağlanması için harcanması gereken reaktif güç hesaplanır. |
|
Harcanması gereken reaktif güçten mevcut reaktif güç çıkarılır. Elde edilen güç devreye eklenecek elemanın harcayacağı reaktif güçtür |
|
Devrenin çalışma frekansı kullanılarak ilave yükün değeri reaktans kullanılarak bulunur. |
İstenilen güç faktörünün sağlanması için harcanması gereken reaktif güç hesaplanır.
17.Soru
- İçinde en az bir bobin ve bir kondansatör bulunduran devrelerde rezonans kavramından bahsedilir.
- Rezonans durumu belirli bir frekansta gerçekleşir ve rezonans durumunda endüktif ve kapasitif reaktanslar birbirini dengeleyerek reaktans sıfıra eşitlenir.
- Devrenin eşdeğer empedansı direnç gibi davranır ve devrenin üzerinden geçen akım ile devrenin eşdeğer gerilimi arasındaki faz farkı sıfırdır.
Yukarıdakilerden hangisi rezonans için söylenebilir?
|
Yalnız i |
|
Yalnız ii |
|
Yalnız iii |
|
i ve iii |
|
i, ii ve iii |
- İçinde en az bir bobin ve bir kondansatör bulunduran devrelerde rezonans kavramından bahsedilir.
- Rezonans durumu belirli bir frekansta gerçekleşir ve rezonans durumunda endüktif ve kapasitif reaktanslar birbirini dengeleyerek reaktans sıfıra eşitlenir.
- Devrenin eşdeğer empedansı direnç gibi davranır ve devrenin üzerinden geçen akım ile devrenin eşdeğer gerilimi arasındaki faz farkı sıfırdır.
maddelerinin üçü de rezonans için söylenebilir
18.Soru
VR(t)=?
|
600e-20t V |
|
6e-5t V |
|
500e-10t V |
|
100e-25t V |
|
6e-20t V |
VR(t)=R.i(t)=100.6e-20t =600e-20t V
19.Soru
R1=12?, R2=20?, R3=30? ve C=0,5F olan üç direnç ve kondansatör ile bir doğru gerilim kaynağı birbirine paralel bağlanmıştır. Kaynak devreden çıkartıldığı anda vc(0)=6V olduğuna göre, 6sn sonra R2 direnci üzerinden akan akımın değeri aşağıdakilerden hangisidir?
|
0,8mA |
|
80mA |
|
40mA |
|
18mA |
|
20mA |
Devrenin Thevenin eşdeğeri birbirine paralel bağlı üç dirençten oluşmaktadır. Buna göre RTH=6?, zaman sabiti ?=RTH.C=3sn ve 6sn sonraki vC(6)= vc(0). e-t/?=6. e-6/3= 0,8V bulunur. R2 direncinden akan akım ise i2(6)= vC(6)/R2 formülünden 0,04A veya 40mA olarak elde edilir.
20.Soru
5 k?’luk direnç ile 100µF’lık kondansatörün seri bağlandığı devrenin zaman sabiti ne kadardır?
|
0,05 sn |
|
0,1 sn |
|
0,5 sn |
|
1 sn |
|
5 sn |
Direnç ve kondansatörden oluşan RC devrelerinde devrenin zaman sabiti direnç ve kondansatörün değerlerinin çarpımına eşittir. Dolayısıyla;
olarak bulunmaktadır.
-
- 1.SORU ÇÖZÜLMEDİ
- 2.SORU ÇÖZÜLMEDİ
- 3.SORU ÇÖZÜLMEDİ
- 4.SORU ÇÖZÜLMEDİ
- 5.SORU ÇÖZÜLMEDİ
- 6.SORU ÇÖZÜLMEDİ
- 7.SORU ÇÖZÜLMEDİ
- 8.SORU ÇÖZÜLMEDİ
- 9.SORU ÇÖZÜLMEDİ
- 10.SORU ÇÖZÜLMEDİ
- 11.SORU ÇÖZÜLMEDİ
- 12.SORU ÇÖZÜLMEDİ
- 13.SORU ÇÖZÜLMEDİ
- 14.SORU ÇÖZÜLMEDİ
- 15.SORU ÇÖZÜLMEDİ
- 16.SORU ÇÖZÜLMEDİ
- 17.SORU ÇÖZÜLMEDİ
- 18.SORU ÇÖZÜLMEDİ
- 19.SORU ÇÖZÜLMEDİ
- 20.SORU ÇÖZÜLMEDİ