Devre Analizi Final 15. Deneme Sınavı
Toplam 20 Soru1.Soru
Aşağıda verilen devrenin R1 direnci 10 Ω ve R2 direnci 6 Ω olup, kaynak gerilimi ise 32 Volt’tur. Verilenlere göre aşağıdaki şıklardan hangisinde devrenin eşdeğer direnci, çekilen akım ve R1 direncinden harcanan güç sırasıyla doğru olarak verilmiştir?
|
16 Ω, 2 A, 40 Watt |
|
16 Ω, 2 A, 12 Watt |
|
16 Ω, 4 A, 32 Watt |
|
32 Ω, 4 A, 20 Watt |
|
32 Ω, 4 A, 12 Watt |
Reş=R1+R2=10+6=16 Ω
I=V/Reş=32/16=2 A
VR1= I.R1=2.10=20 V
R1 direnci üzerinden harcanan güç ise, P=I.VR1=2.20=40 Watt olarak bulunur.
2.Soru
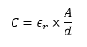
Kondansatörün kapasitesi aşağıdaki formüllerden hangisiyle bulunur?
|
|
|
|
|
|
|
|
|
|
Kondansatörün kapasitesi formülüyle bulunur.
3.Soru
Yukarıda sembol hangi tür kondansatöre aittir?
|
Kutupsuz kondansatör |
|
Kutuplu kondansatör |
|
Trimmer kondansatör |
|
Kağıtlı kondansatör |
|
Plastik kondansatör |
Kondansatörlerde pozitif ve negatif bacak uçları kutup olarak bilinmektedir. Kondansatörler, kutuplu ve kutupsuz olarak iki farklı türde üretilmektedir.
4.Soru
I. Gerilim ile açı arasındaki mutlak oran
II. Faz farkı
III. Radyan ile derece arasındaki bağıntı
Empedans sayesinde yukarıdakilerden hangisi/hangileri ölçülebilir? ölçülebildiği gibi faz farkı da ölçülebilmektedir?
|
Yalnız I |
|
Yalnız II |
|
Yalnız III |
|
I, II ve III |
|
I ve II |
Empedans sayesinde gerilim ile açı arasındaki mutlak oran ölçülebildiği gibi faz farkı da ölçülebilmektedir.
5.Soru
Akımın aldığı her bir anlık değerin o andan bir miktar süre geçtikten sonra kendini tekrar etmesi anlamına gelen kavram nedir?
|
Anlık değişim |
|
Periyodik değişim |
|
Alternatif akım |
|
Açısal frekans |
|
Alternans |
Periyodik değişim, akımın aldığı her bir anlık değerin o andan bir miktar süre geçtikten sonra kendini tekrar etmesidir.
6.Soru
Bir alternatif akım devresinde 20 mH bobin 1 ?'luk dirence seri bağlıdır. Devreye uygulanan gerilimin açısal frekansı 500 rad/sn olduğuna göre bu devredeki eşdeğer empedansın üssel gösterimi aşağıdakilerden hangisidir?
|
|
|
|
|
|
|
|
|
|
Bobinin reaktansı ?'dur. Devrenin empedansı
?'dur. Faz açısı
olmaktadır. Empedansın üssel gösterimi
olmaktadır. Doğru cevap A'dır.
7.Soru
Şekilde verilen kare dalganın etkin genliği aşağıdakilerden hangisidir?
|
3 V |
|
4 V |
|
6 V |
|
8 V |
|
9 V |
Etkin genlik: VE = =
= 3 V
8.Soru
AA devrelerinde devre veya devre elemanının direncini veya bir başka deyişle üzerindeki gerilimin üzerinden geçen akıma oranını frekans ve faza bağlı olarak açıklayan kavram hangisidir?
|
Empedans |
|
Admitans |
|
Kondensatör |
|
Sinüzoidal Fonksiyonlar |
|
Fazör Diagramlar |
Empedans, AA devrelerinde devre veya devre elemanının direncini veya bir başka deyişle üzerindeki gerilimin üzerinden geçen akıma oranını frekans ve faza bağlı olarak açıklayan kavramdır.
9.Soru
Frekansı 10kHz olan sinüsoidal AA gerilimi altında devreye 25 pF'lık bir kondansatör bağlandığında göre bu kondansatörün kapasitif reaktansı aşağıdakilerden hangisinde verilmiştir?
|
125,6 kΩ |
|
255,1 kΩ |
|
498,9 kΩ |
|
636,9 kΩ |
|
968,4 kΩ |
Xc=1/(wC) ve w=2.pi.f ise:
Xc=1/(2.3,14 rad/s .104 Hz . 25.10-12 F)=636,9 kΩ
10.Soru
Aşağıdakilerden hangisi kondansatörün kullanım alanlarından değildir?
|
Enerji depolama |
|
Reaktif güç kontrolü |
|
Faz kayması oluşturma |
|
Bilgi kaybı engelleme |
|
Direnç oluşturma |
Kondansatörler anlatılan çalışma prensibi ve temel özelliklerine bağlı olarak; • Enerji depolama, • Reaktif güç kontrolü ve faz kayması oluşturma, • Bilgi kaybı engelleme, • AA ve DA sinyaller arasında dönüşüm yapma, • AA sinyalin geçişine izin verme, DA sinyali engelleme, • Sistemde oluşabilecek istenmeyen parazit sinyalleri durdurma, ani sıçramaları engelleme, gibi özellikleri ile filtreleme (kuplaj/dekuplaj), doğrultma, kompanzasyon, gerilim çoklayıcı, motorlara yol verme, zamanlama vb. gibi uygulamalarda yaygın olarak kullanılmaktadır.
11.Soru
Bir devrenin empedansının mutlak değeri 20 Ω , faz açısı 30° ise bu devrenin gerçek direnci kaçtır?
|
7,07 Ω |
|
17,32 Ω |
|
36,86 Ω |
|
3.27 Ω |
|
10.51 Ω |
|Z| = 20 Ω ve θ = 30°
Gerçek Direnç: R = |Z| . cos(θ) = 20 . cos(30°) = 17,32 Ω
12.Soru
Şekilde bir alternatif akım devresinin admitansı vektörel olarak verilmiştir. Bu devrenin admitansının fazör formunda gösterimi aşağıdakilerden hangisidir?
|
|
|
|
|
|
|
|
|
|
Şekilde sanal eksen sanal iletkenliği belirtmekte ve değeri S'dir ve gerçek eksen gerçek iletkenliği belirtmektedir ve değeri
S'dir. Admitansın büyüklüğü
S'dir. Faz açısı ise
olmaktadır. Böylelikle admitans fazör formda
olmaktadır. Doğru cevap C'dir.
13.Soru
Analizi istenen bir devrenin göz akımının yönü belirtilmediyse akım yönünün belirlenmesi konusunda aşağıdaki ifadelerden hangisi doğrudur?
|
Akım yönü aşağı yönde alınmalı |
|
Akım yönü yukarı yönde alınmalı |
|
Akım yönü saat yönünün tersine alınmalı |
|
Akım yönü saat yönünde alınmalı |
|
Akım yönüne dikkat edilmemeli |
Analizi istenen devrenin göz akımının yönü belirtilmediyse akım yönü saat yönünde seçilerek denklemler oluşturulur.
14.Soru
Şekildeki devrede t < 0 süresince kapalı olan anahtar, t = 0 anında açılmıştır. Buna göre t = 200 msn anında 16 ?’luk direnç üzerindeki gerilim aşağıdakilerden hangisidir?
|
14,37 V |
|
11,23 V |
|
9,03 V |
|
7,46 V |
|
5,87 V |
Bu devrede t < 0 için bobin kısa devre gibi davranır ve üzerinden geçen akım,
Olarak hesaplanır. Burada bobin üzerinden geçen akım ani değişim gösteremeyeceğinden IL0 =iL(0+)=iL(0-) olduğu unutulmamalıdır.
Bu devrenin zaman sabiti,
olduğundan iL(t) akımının zamana göre ifadesi;
olarak bulunmaktadır.
15.Soru
Aşağıdakilerden hangisi şekildeki devreye verilen isimdir?
|
Anahtarlamalı RC devresi |
|
Anahtarlamalı RL devresi |
|
Kaynaksız RC devresi |
|
Kaynaksız RL devresi |
|
Bobinli RL devresi |
Şekil, anahtarlamalı bir RC devresidir.
16.Soru
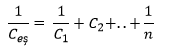
Bir devrede seri bağlanan kondansatörler hangi formül ile eşdeğer sığası bulunur?
|
|
|
|
|
|
|
|
|
|
Bir devrede seri bağlanan kondansatörler hangi formül ile eşdeğer sığası ile bulunur.
17.Soru
Referans olan alternatif akıma negatif faz eklenerek ifade edilen akım, referans olan akımdan belirtilen açı kadar sonra geliyor olması nasıl adlandırılır?
|
İleri faz |
|
Geri faz |
|
Empedans |
|
Admitans |
|
Alternatör |
Referans olan alternatif akıma negatif faz eklenerek ifade edilen akım, referans olan akımdan belirtilen açı kadar sonra geliyor demektir. İşte bu negatif faz yani geri faz olarak tanımlanır.
18.Soru
Direnç ve kondansatörlerden oluşan, gerilim veya akım kaynağı tarafından beslenen elektrik devresi aşağıdakilerden hangisidir?
|
Direnç devresi |
|
Direnç-kondansatör devresi |
|
Kondansatör devresi |
|
Direnç-bobin devresi |
|
Bobin devresi |
Direnç-kondansatör devresi (RC devresi) direnç ve kondansatörlerden oluşan, gerilim veya akım kaynağı tarafından beslenen bir elektrik devresidir.
19.Soru
I. Direnç ve kondansatörlerden oluşan, gerilim veya akım kaynağı tarafından beslenen elektrik devresine RL devresi denir.
II. Anahtarın konumunun değiştirilmesinden sonra ise devrenin tüm bağımsız kaynaklarla ilişkisi kesiliyorsa ortaya çıkan akım ve gerilim davranışı devrenin doğal tepkisi olarak adlandırılır.
III. Devrede oluşan zorlanmış tepki ve doğal tepkinin toplamı tüm tepki olarak isimlendirilir.
Yukarıda verilen bilgilerden hangileri doğrudur?
|
Yalnız I |
|
Yalnız II |
|
Yalnız III |
|
I ve II |
|
II ve III |
Anahtarın konumunun değiştirilmesinden sonra ise devrenin tüm bağımsız kaynaklarla ilişkisi kesiliyorsa ortaya çıkan akım ve gerilim davranışı devrenin doğal tepkisi olarak adlandırılır. Devrede oluşan zorlanmış tepki ve doğal tepkinin toplamı tüm tepki olarak isimlendirilir. Ancak direnç ve kondansatörlerden oluşan, gerilim veya akım kaynağı tarafından beslenen elektrik devresine RL devresi değil RC devresi denir. II ve II doğru bilgilerdir.
20.Soru
Referans akımı I0 = sin(50?t) A olarak veriliyor. I0 akımı ile aynı frekans ve genlikte olan I1 akımı, I0 akımından 10 msn önce geliyorsa I1 akımının faz açısı nedir?
|
145 |
|
120 |
|
90 |
|
60 |
|
45 |
olarak bulunur.
-
- 1.SORU ÇÖZÜLMEDİ
- 2.SORU ÇÖZÜLMEDİ
- 3.SORU ÇÖZÜLMEDİ
- 4.SORU ÇÖZÜLMEDİ
- 5.SORU ÇÖZÜLMEDİ
- 6.SORU ÇÖZÜLMEDİ
- 7.SORU ÇÖZÜLMEDİ
- 8.SORU ÇÖZÜLMEDİ
- 9.SORU ÇÖZÜLMEDİ
- 10.SORU ÇÖZÜLMEDİ
- 11.SORU ÇÖZÜLMEDİ
- 12.SORU ÇÖZÜLMEDİ
- 13.SORU ÇÖZÜLMEDİ
- 14.SORU ÇÖZÜLMEDİ
- 15.SORU ÇÖZÜLMEDİ
- 16.SORU ÇÖZÜLMEDİ
- 17.SORU ÇÖZÜLMEDİ
- 18.SORU ÇÖZÜLMEDİ
- 19.SORU ÇÖZÜLMEDİ
- 20.SORU ÇÖZÜLMEDİ