Devre Analizi Final 6. Deneme Sınavı
Toplam 20 Soru1.Soru
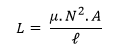
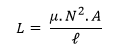
Bir bobinin endüktansı hangi formül ile hesaplanır?
|
|
|
|
|
|
|
|
|
|
Bir bobinin endüktansı ile hesaplanır.
2.Soru
- Mevcut devrenin harcadığı ortalama güç ve reaktif güç hesaplanır.
- İstenilen güç faktörünün sağlanması için harcanması gereken reaktif güç hesaplanır.
- Harcanması gereken reaktif güçten mevcut reaktif güç çıkarılır. Elde edilen güç devreye eklenecek elemanın harcayacağı reaktif güçtür.
- Adım 3’te hesaplanan fark negatifse bağlanacak olan yük kondansatör, pozitifse bağlanacak yük bobindir.
- İlave yük devreye paralel bağlanacaksa üzerine düşen gerilim, seri bağlanacaksa üzerinden geçen akım kullanılarak ilave yükün reaktansı hesaplanır.
- Devrenin çalışma frekansı kullanılarak ilave yükün değeri reaktans kullanılarak bulunur.
Yukarıda güç faktörünün düzeltilmesinde izlenecek adımlar verilmiştir. Bu adımların uygulama sırası aşağıdakilerden hangisinde doğru olarak verilmiştir?
|
I-II-V-III-IV-VI |
|
I-II-III-IV-V-VI |
|
VI-V-IV-II-II-I |
|
IV-III-V-II-VI-I |
|
I-II-IV-III-V-VI |
Bu tür düzeltmelerde izlenilecek yol şu şekildedir:
Adım 1: Mevcut devrenin harcadığı ortalama güç ve reaktif güç hesaplanır.
Adım 2: İstenilen güç faktörünün sağlanması için harcanması gereken reaktif güç hesaplanır.
Adım 3: Harcanması gereken reaktif güçten mevcut reaktif güç çıkarılır. Elde edilen güç devreye eklenecek elemanın harcayacağı reaktif güçtür.
Adım 4: Adım 3’te hesaplanan fark negatifse bağlanacak olan yük kondansatör, pozitifse bağlanacak yük bobindir.
Adım 5: İlave yük devreye paralel bağlanacaksa üzerine düşen gerilim, seri bağlanacaksa üzerinden geçen akım kullanılarak ilave yükün reaktansı hesaplanır.
Adım 6: Devrenin çalışma frekansı kullanılarak ilave yükün değeri reaktans kullanılarak bulunur.
3.Soru
Şekilde verilenalternatif akımın açısal frekansı aşağıdakilerden hangisidir?
|
0,5 |
|
1 |
|
5 |
|
10 |
|
50 |
Şekilde görülen alternatif akımın frekansı Hz olmaktadır. Açısal frekansı ise
rad/sn olmaktadır. Doğru cevap A'dır.
4.Soru
Devreye bağlı anahtar açılarak kaynak devreden çıkarılırsa kondansatör sahip olduğu elektrik enerjisini devreye vermesi olayına hangi isim verilir?
|
Kondansatörün şarjı |
|
Kondansatörün deşarjı |
|
Kondansatörün yıkanması |
|
Kondansatörün doluluğu |
|
Kondansatörün kaynağı |
Devreye bağlı anahtar açılarak kaynak devreden çıkarılırsa kondansatör sahip olduğu elektrik enerjisini devreye verir. Bu olay da kondansatörün deşarjı veya boşalması olarak isimlendirilir.
5.Soru
Şekildeki devrede t < 0 süresince kapalı bulunan anahtar t = 0 anında açıldığına göre t ≥ 0 için iL (t) akımı aşağıdakilerden hangisidir?
|
|
|
|
|
|
|
|
|
|
t < 0 durumu için aktif olan devrede
Olarak elde edilir. t ≥ 0 durumunda ise, devrenin voltaj kaynağı ile bağlantısı devam ettiğinden devrenin tüm tepkisi bulunur. iL (t) akımının bulunması için IL0 akımının yanında iL (∞) akımının da hesaplanması gerekir. Bunun için öncelikle Thevenin eşdeğer direnci hesaplanır.
RTH = R1 + R2 = 15 + 5 = 20 Ω
t -> ∞için bobin kısa devre olacağından,
Devrenin zaman sabiti ise,
olarak bulunur.
şeklinde bulunur. Buna göre;
olarak bulunmaktadır.
6.Soru
Büyüklüğü ve yönü zamana bağlı olarak periyodik değişim gösteren elektriksel akım aşağıdakilerden hangisidir?
|
Alternatif akım |
|
Doğru Akım |
|
İndüksiyon Akım |
|
Motor Akımı |
|
Dönmez Akım |
Büyüklüğü ve yönü zamana bağlı olarak periyodik değişim gösteren elektriksel akımlara alternatif akım denir.
7.Soru
R=6? olan bir direnç ile C=5µF olan bir kondansatör paralel bağlanmıştır. Aynı şekilde V=10V değerindeki doğru gerilim kaynağı da bir anahtar ile bu iki elemana paralel bağlıdır. Anahtar açıldıktan 60µsn sonra kondansatör üzerindeki gerilim değeri kaç Volt olur?
|
1,35 V |
|
3,55 V |
|
12,47 V |
|
8,33 V |
|
4,65 V |
Anahtar ilk açıldığı anda vc(0)=10V olur. Devrenin zaman sabiti: ?=R.C=30µsn (6x5x10-6) olduğuna göre vc(t)= vc(0).e-t/? ifadesinden t=60 µsn sonra vc(t) gerilimi 1,35V (10. e-60/30=1,35V) bulunur.
8.Soru
Birinci dereceden devrelere ani bir kaynak bağlanması sonucunda devrenin analizini yapmak için kullanılan fonksiyonlar anahtarlama fonksiyonları olarak adlandırılır. En çok kullanılan anahtarlama fonksiyonlarından biri de birim basamak fonksiyonu’dur. Birim basamak fonksiyonlarının kullanıldığı işlemlerden hangisi şekildeki grafiği tanımlamaktadır?
|
u(t+2)+u(t+4) |
|
u(t+2)-u(t+4) |
|
u(t-2)+u(t+4) |
|
u(t-2)+u(t-4) |
|
u(t-2)-u(t-4) |
u(t-2) birim basamak fonksiyonu yukarıda verilmiştir. Aynı şekilde u(t-4) fonksiyonu aşağıdaki gibi verilebilir. Soruda verilen grafiğin oluşması için verilen iki fonksiyonun birbirinden çıkarılması gerekmektedir. Diğer bir deyişle sorudaki grafiği u(t-2)-u(t-4) tanımlamaktadır. Doğru cevap E'dir.
9.Soru
Devre empedansının direnç bileşeni üzerinde oluşan güç aşağıdakilerden hangisidir?
|
Anlık güç |
|
Ortalama güç |
|
Reaktif güç |
|
Kompleks güç |
|
Görünür güç |
Ortalama güç, devre empedansının direnç bileşeni üzerinde oluşan güçtür.
10.Soru
Nüvesinin manyetik geçirgenliği; µ =756.10-4 H/cm olan bir bobinin sipir sayısı 50'dir. Nüve kesit çapı 4 cm ve tel uzunluğu 7 m ise bobinin endüktansı aşağıdakilerden hangisinde verilmiştir?
|
3,39 H |
|
4,56 H |
|
7,75 H |
|
9,62 H |
|
12,56 H |
L==(µ.N2.A)/ l
Burada µ=756.10-4 H/cm
N=50
A=pi.r² =3,14*2²=12,56 cm²
l=7m=700 cm
ise,
L==(µ.N2.A)/ l = (756.10-4 H/cm.502.12,56 cm²)/700 cm=3,39 H
11.Soru
Aşağıdakilerden hangisi karmaşık güç birimidir?
|
RLC |
|
KRAD |
|
VAR |
|
W |
|
VA |
Karmaşık gücün birimi VA (Volt Amper)’dir.
12.Soru
Görünür gücü 45 VA faz açısı 30° olan bir devre elemanının ortalama gücü kaçtır?
|
27 |
|
32 |
|
35 |
|
39 |
|
44 |
13.Soru
R=8Ω, L=24mH olan direnç ve bobin birbirine paralel bağlanmış olup Is=3A değerinde bir doğru akım kaynağı ile beslenmektedir. Buna göre bobin, kaynak ile bağlantısı kesildikten sonra ne kadar sürede boşalır?
|
3µsn |
|
15msn |
|
3msn |
|
15µsn |
|
5µsn |
Bobinin deşarj olma süresi 5L/R’dir. Buna göre bobin 15msn sonra boşalacaktır. (5x24x10-3/8=15.10-3).
14.Soru
Şekildeki devrede t < 0 süresince kapalı olan anahtar, t = 0 anında açılmıştır. Bobin üzerinden geçen iL(t) akımının zamana göre ifadesi aşağıdakilerden hangisidir?
|
|
|
|
|
|
|
|
|
|
Bu devrede t < 0 için bobin kısa devre gibi davranır ve üzerinden geçen akım,
Olarak hesaplanır. Burada bobin üzerinden geçen akım ani değişim gösteremeyeceğinden
IL0 =iL(0+)=iL(0-) olduğu unutulmamalıdır.
Bu devrenin zaman sabiti,
olduğundan iL(t) akımının zamana göre ifadesi; olarak bulunmaktadır.
15.Soru
Şekildeki devrede t < 0 süresince kapalı olan anahtar, t = 0 anında açılmıştır. Buna göre t = 100 msn anındaki iL akımı aşağıdakilerden hangisidir?
|
0,33 A |
|
0,49 A |
|
0,67 A |
|
1 A |
|
1,34 A |
Bu devrede t < 0 için bobin kısa devre gibi davranır ve üzerinden geçen akım,
Olarak hesaplanır. Burada bobin üzerinden geçen akım ani değişim gösteremeyeceğinden IL0 =iL(0+)=iL(0-) olduğu unutulmamalıdır. Bu devrenin zaman sabiti,
olduğundan iL(t) akımının zamana göre ifadesi;
Şeklinde bulunur. Buna göre t=100 msn’deki bobin akımı olarak bulunmaktadır.
16.Soru
10pF kaç mF' dır?
|
10-5 |
|
10-6 |
|
10-7 |
|
10-8 |
|
10-9 |
1 pf=10-12 F olduğundan 10pF=10-11 F olur ve 1mF=10-3 F olduğundan 10pF=10-8 mF olur.
17.Soru
Düğüm denklemleri yazılırken, Kirchhoff’un akım yasasına göre düğüm noktasına gelen akımlar ve düğüm noktasından giden akımlar nasıl alınır?
|
-,- |
|
+,- |
|
-,+ |
|
0,+ |
|
-,0 |
Düğüm denklemleri yazılırken, Kirchhoff’un akım yasasına göre düğüm noktasına gelen akımlar eksi (–), düğüm noktasından giden akımlar artı (+) alınır.
18.Soru
4 k?' luk direnç ile 2 mF’lık kondansatörün seri bağlandığı devrenin zaman sabiti kaç sn’dir?
|
0,4 saniye |
|
0,8 saniye |
|
1 saniye |
|
4 saniye |
|
8 saniye |
? = R . C olduğundan,
? = 4.103 .2.10-3=8 saniye
19.Soru
Anahtarın konumunun değiştirilmesinden sonra ise devrenin tüm bağımsız kaynaklarla ilişkisi kesiliyorsa ortaya çıkan akım ve gerilim davranışı aşağıdakilerden hangisidir?
|
Doğal tepki |
|
Direnç-kondansatör devresi |
|
Zorlanmış tepki |
|
Tüm tepki |
|
Akım |
Anahtarın konumunun değiştirilmesinden sonra ise devrenin tüm bağımsız kaynaklarla ilişkisi kesiliyorsa ortaya çıkan akım ve gerilim davranışı devrenin doğal tepkisi olarak adlandırılır.
20.Soru
Endüktif reaktansı 50 Ω ve açısal hız değeri 100 rad/sn olan bobinin endüktansı kaç H (Henry)’dir?
|
0,05 H |
|
0,2 H |
|
0,5 H |
|
2 H |
|
6,28 H |
XL = W . L formülü kullanılarak;
50 = 100. L
L= 0,5 H olarak bulunur. Sorunun doğru cevabı C seçeneğidir.
-
- 1.SORU ÇÖZÜLMEDİ
- 2.SORU ÇÖZÜLMEDİ
- 3.SORU ÇÖZÜLMEDİ
- 4.SORU ÇÖZÜLMEDİ
- 5.SORU ÇÖZÜLMEDİ
- 6.SORU ÇÖZÜLMEDİ
- 7.SORU ÇÖZÜLMEDİ
- 8.SORU ÇÖZÜLMEDİ
- 9.SORU ÇÖZÜLMEDİ
- 10.SORU ÇÖZÜLMEDİ
- 11.SORU ÇÖZÜLMEDİ
- 12.SORU ÇÖZÜLMEDİ
- 13.SORU ÇÖZÜLMEDİ
- 14.SORU ÇÖZÜLMEDİ
- 15.SORU ÇÖZÜLMEDİ
- 16.SORU ÇÖZÜLMEDİ
- 17.SORU ÇÖZÜLMEDİ
- 18.SORU ÇÖZÜLMEDİ
- 19.SORU ÇÖZÜLMEDİ
- 20.SORU ÇÖZÜLMEDİ