Devre Analizi Final 7. Deneme Sınavı
Toplam 20 Soru1.Soru
Şekildeki devrede t < 0 süresince kapalı bulunan anahtar t = 0 anında açıldığına göre t ? 0 için iL (t) akımı aşağıdakilerden hangisidir?
|
|
|
|
|
|
|
|
|
|
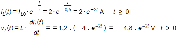
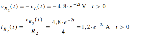
t < 0 durumu için aktif olan devrede
Olarak elde edilir. t ? 0 durumunda ise, devrenin voltaj kaynağı ile bağlantısı devam ettiğinden devrenin tüm tepkisi bulunur. iL (t) akımının bulunması için IL0 akımının yanında iL (?) akımının da hesaplanması gerekir. Bunun için öncelikle Thevenin eşdeğer direnci hesaplanır.
RTH = R1 + R2 = 15 + 5 = 20 ?
t -> ?için bobin kısa devre olacağından,
Devrenin zaman sabiti ise, olarak bulunur.
şeklinde bulunur. Buna göre;
olarak bulunmaktadır.
2.Soru
Aşağıdakilerden hangisi Kirchhoff’un akım yasasını açıklamaktadır?
|
Bir iletkenin direnci, üzerinden geçen akımla ters, üzerindeki gerilimle doğru orantılıdır. |
|
Bir iletkenin iki ucu arasındaki potansiyel farkın, iletkenden geçen akım şiddetine oranı sabittir. |
|
Bir düğüm noktasında, gelen akımlar negatif (-) ve giden akımlar pozitif (+) işaretli olarak gösterildiğinde, tüm akımların cebirsel toplamı sıfırdır. |
|
Bir iletkenin üzerindeki akım, üzerindeki gerilim değerinin, direnç değerine bölümüne eşittir. |
|
Kapalı bir elektrik devresinde devreye uygulanan gerilim ile seri bağlı dirençlerin üzerindeki gerilim düşümlerinin toplamı sıfıra eşittir. |
A, B ve D OHM kanunuyla ilgilidir. E şıkkı ise Kirchoff’un gerilim yasasını vermektedir. Soruda istenen Kirchhoff’un akım yasası C şıkkında açıklanmaktadır.
3.Soru
Sığası 2 μF olan yüksüz durumdaki bir kondansatöre 50 V'luk bir gerilim uygulandığında kondansatörün depoladığı enerji kaç Joule'dür?
|
1,25 μJ |
|
7,5 μJ |
|
2,5 mJ |
|
5 mJ |
|
1,25J |
E=1/2 C. V² ise E=0,5 .2.10-6 F . (50 V)²=2,5 mJ olur.
4.Soru
I. Telin uzunluğu
II. Nüvenin manyetik geçirgenliği
III. Bobinin kesit alanı
Yukarıdakilerden hangisi veya hangileri bobinin endüktansıyla doğru orantılıdır?
|
Yalnız I |
|
I ve II |
|
I ve III |
|
II ve III |
|
I, II ve III |
II ve III
5.Soru
Devrede oluşan doğal tepki ve zorlanmış tepkinin toplamı --------- olarak adlandırılır. İfadesindeki boşluğa aşağıdakilerden hangisi gelmelidir?
|
Doğal tepki |
|
Zorlanmış tepki |
|
Tüm tepki |
|
Basamak tepki |
|
Birim basamak tepki |
Devrede oluşan doğal tepki ve zorlanmış tepkinin toplamı tüm tepki olarak adlandırılır.
6.Soru
SI birim sisteminde endüktans birimi aşağıdaiklerden hangisinde verilmiştir?
|
Henry (H) |
|
Farad (F) |
|
Joule (J) |
|
Watt (W) |
|
Tesla (T) |
SI birim sisteminde endüktans birimi Henry (H) 'dir.
7.Soru
Anahtarlamalı bir RL devresinde anahtar konum değiştirdikten sonra hala bir kaynakla bağlantı devam ediyorsa devrenin akım ve gerilim davranışına ne ad verilir?
|
Devrenin doğal tepkisi |
|
Devrenin zorlama tepkisi |
|
Devrenin karma tepkisi |
|
Devrenin ilk durum tepkisi |
|
Devrenin tüm tepkisi |
Hem RL, hem de RC devrelerinde anahtar konum değiştirdikten sonra hala bir kaynakla bağlantı devam ediyorsa devrenin akım ve gerilim davranışına “devrenin tüm tepkisi” denir. Devrede oluşan doğal tepki ve zorlanmış tepkinin toplamı tüm tepki olarak adlandırılır.
8.Soru
Görünür güç birimi aşağıdakilerden hangisidir?
|
V |
|
A |
|
VA |
|
Ω |
|
µF |
Görünür güç birimi VA’dir
9.Soru
Yukarıdaki devrede eşdeğer sığa aşağıdakilerden hangisinde verilmiştir?
|
1 µF |
|
1,25 µF |
|
2,25 µF |
|
3 µF |
|
4,55 µF |
Ceş=(C1+C2).C3/(C1+C2+C3)=(7+2).3/(7+2+3)=27/12 =2,25 µF
10.Soru
Devrede oluşan zorlanmış tepki ve doğal tepkinin toplamı aşağıdakilerden hangisidir?
|
Doğal tepki |
|
Kondansatör |
|
Tüm tepki |
|
Direnç |
|
Akım |
Devrede oluşan zorlanmış tepki ve doğal tepkinin toplamı ise tüm tepki olarak isimlendirilir.
11.Soru
Aynı noktalardan bakıldığında Thevenin ve Norton eşdeğer devrelerinin empedans değerleri için aşağıdakilerden hangisi söylenebilir?
|
Thevenin eşdeğer devrelerinin empedans değeri daha büyüktür. |
|
Thevenin eşdeğer devrelerinin empedans değeri daha küçüktür. |
|
Norton eşdeğer devrelerinin empedans değeri daha büyüktür. |
|
Norton eşdeğer devrelerinin empedans değeri daha küçüktür. |
|
Thevenin ve Norton eşdeğer devrelerinin empedans değerleri eşittir. |
Aynı noktalardan bakıldığında Thevenin ve Norton eşdeğer devrelerinin empedans değerleri eşittir.
12.Soru
Periyodu 0.5 saniye olan AA sinyalin açısal frekansını hesaplayınız?
|
5π rad/sn. |
|
π rad/sn. |
|
4π rad/sn. |
|
2π rad/sn. |
|
4π/3 rad/sn. |
Periyot uzunluğu bir çemberin çevre uzunluğu ile gösterildiğinde, çemberin merkezinden bu çember üzerindeki çemberin yarıçapı uzunluğu kadar yayı gören açının miktarı 1 radyan (rad)’dır. 1 rad’lık açının 1 saniyedeki ortalama tekrar sayısı açısal frekans olarak adlandırılır. w ile gösterilir. Birimi radyan/saniye (rad/sn)’dir. Formülleri ise aşağıda verilmiştir.
Frekans=f= 1/Periyot =1/T= 1/0.5 = 2 Hz
Açısal frekans =w=2πf =4π rad/sn olarak bulunur.
13.Soru
Şekildeki Şekil 6.19’daki devrede t < 0 süresince açık bulunan anahtar, t = 0 anında kapanmaktadır. akımının t = 100 msn’deki değeri aşağıdakilerden hangisidir?
|
1,25 A |
|
0,67 A |
|
1 A |
|
0,37 A |
|
0,98 A |
t < 0 durumu için aşağıdaki devre dikkate alınır.
Burada bobin kısa devre özelliği gösterdiğinden, paralel bağlı R3 direnci üzerinden akım geçmez. Devrenin eşdeğer direnci,
Reş = R1 + R2 = 5 ? ve bobin akımı,
şeklinde hesaplanır.
t ? 0 durumu için ise aşağıdaki devre aktiftir.
Burada Thevenin eşdeğer direnci ve devrenin zaman sabiti aşağıdaki gibi hesaplanır:
t = 0 anındaki bobin akımı ve devrenin zaman sabiti bilindiğinden, bobin akım ve voltaj
ifadesi,
olarak bulunur. Buradan ve
ifadeleri kolaylıkla hesaplanır:
t = 100 msn = 0,1 sn için,
14.Soru
Direnci 5Ω, reaktansı 12Ω olan bir devrenin admittansının kutupsal formda ifadesi aşağıdakilerden hangisinde verilmiştir?
|
0,077∠22,62° S |
|
0,077∠-22,62° S |
|
0,077∠-67,38° S |
|
0,077∠67,38° S |
|
2,17∠-48,38° S |
R=5Ω
X=12Ω
|Z|=kök(5²+12²)=13 açısı ise arctan(X/R)=67,38° olur. Yani Z=13∠67,38° Ω
Y(admittans)=1/Z olduğundan Y=1/13∠67,38° Ω Y=0,077∠-67,38° S
15.Soru
Değerleri R1=3?, R2=2?, L=4H olan iki direnç ve bir bobin ile Vs=6V olan doğru gerilim kaynağı birbirine seri bağlanmıştır. R2 direnci üzerinde bulunan anahtar açıldıktan 800msn sonra bobin üzerinden akacak akımın değeri aşağıdakilerden hangisidir?
|
0,25A |
|
1,5A |
|
3A |
|
2,5A |
|
3,5A |
Anahtar kapalı iken R2 ve L kısa devredir. Bu durumda iL(0)=6/3=2A olur. Anahtar açıldığında Thevenin eşdeğeri RTH=5? ve t sonsuza giderken L yine kısa devre olduğundan iL(?)=6/5=1,2A bulunur. Zaman sabiti ?=L/RTH=4/5=0,8sn olduğuna göre 800msn sonra bobinden akacak akım iL(t)=K1+K2.e-t/? ifadesinden iL(5)=1,2+(2-1,2). e-0,8/0,8=1,5A elde edilir.
16.Soru
Uzun süre bir DA akım veya gerilim kaynağı ile beslendikten sonra, anahtarlama gibi eylemler ile kaynaklara bağlantısı değişmiş devrelerde, anahtarın konum değiştirmesinden sonra hala bir kaynakla bağlantı devam ediyorsa, devrenin akım ve gerilim davranışının belirlenmesinde doğal tepkinin yanında aşağıdakilerden hangisinin dikkate alınması gerekir?
|
Tüm tepki |
|
Direnç |
|
Zorlanmış tepki |
|
Gerilim |
|
Akım |
Uzun süre bir DA akım veya gerilim kaynağı ile beslendikten sonra, anahtarlama gibi eylemler ile kaynaklara bağlantısı değişmiş devrelerde, anahtarın konum değiştirmesinden sonra hala bir kaynakla bağlantı devam ediyorsa, devrenin akım ve gerilim davranışının belirlenmesinde doğal tepkinin yanında kaynak etkisiyle oluşan zorlanmış tepkinin de dikkate alınması gerekir.
17.Soru
Aşağıdakilerden hangisi kompleks gücün mutlak değeri olan güçtür?
|
Anlık güç |
|
Reaktif güç |
|
Ortalama güç |
|
Görünür güç |
|
Geri güç |
Görünür güç kompleks gücün mutlak değeridir.
18.Soru
t = 200 msn anında 5?’luk direnç üzerindeki gerilim değeri ne kadardır?
|
15 V |
|
10,5 V |
|
9,45 V |
|
8,1 V |
|
7,03 V |
t < 0 durumu için aktif olan devrede
Olarak elde edilir. t ? 0 durumunda ise, devrenin voltaj kaynağı ile bağlantısı devam ettiğinden devrenin tüm tepkisi bulunur. iL(t) akımının bulunması için IL0 akımının yanında iL (?) akımının da hesaplanması gerekir. Bunun için öncelikle Thevenin eşdeğer direnci hesaplanır.
RTH = R1 + R2 = 15 + 5 = 20 ?
t -> ?için bobin kısa devre olacağından,
Devrenin zaman sabiti ise,
olarak bulunur.
şeklinde bulunur. Buna göre;
olarak bulunmaktadır.
19.Soru
6 k ? luk dirençten geçen akım aşağıdakilerden hangisinde verilmiştir?
|
3.34e-1000t (mA) |
|
6.67e-100t (mA) |
|
66e-10t A |
|
6e-100t mA |
|
0.66e-10t mA |
6 k? ‘luk direnç kondansatöre paralel olduğundan aynı gerilim değerine sahiptir. Ohm kanundan dolayıi(t) = Vc(t)/ 6 k? =40/6000*e-100t = 6.67e-100t mA
20.Soru
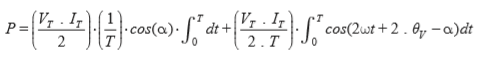
Bir kondansatörün üzerindeki ortalama güç hesaplanmak istenirse aşağıdaki formüllerden hangisi kullanılır?
|
|
|
|
|
|
|
|
|
|
Doğru formül
-
- 1.SORU ÇÖZÜLMEDİ
- 2.SORU ÇÖZÜLMEDİ
- 3.SORU ÇÖZÜLMEDİ
- 4.SORU ÇÖZÜLMEDİ
- 5.SORU ÇÖZÜLMEDİ
- 6.SORU ÇÖZÜLMEDİ
- 7.SORU ÇÖZÜLMEDİ
- 8.SORU ÇÖZÜLMEDİ
- 9.SORU ÇÖZÜLMEDİ
- 10.SORU ÇÖZÜLMEDİ
- 11.SORU ÇÖZÜLMEDİ
- 12.SORU ÇÖZÜLMEDİ
- 13.SORU ÇÖZÜLMEDİ
- 14.SORU ÇÖZÜLMEDİ
- 15.SORU ÇÖZÜLMEDİ
- 16.SORU ÇÖZÜLMEDİ
- 17.SORU ÇÖZÜLMEDİ
- 18.SORU ÇÖZÜLMEDİ
- 19.SORU ÇÖZÜLMEDİ
- 20.SORU ÇÖZÜLMEDİ