Elektrik Makinaları Ara 9. Deneme Sınavı
Toplam 20 Soru1.Soru
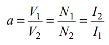
Bir fazlı bir transformatörde primer sargıda 200 sarım bulunmaktadır. Bu transformatörün primer sargısına 110 V uygulandığında sekonder sargıda 440 V endüklenmektedir. Transformatörün sekonder sargı sarım sayısını hesaplayınız.
|
100 |
|
200 |
|
400 |
|
800 |
|
1000 |
formülünden 110 / 440 = 200 / N2
N2 = 800 olarak hesaplanır
2.Soru
Göreceli manyetik geçirgenliği 1'den küçük olan malzemelere ne ad verilir?
|
Süper iletken
|
|
Diamanyetik
|
|
Yarı iletken
|
|
Ferromanyetik
|
|
Paramanyetik
|
3.Soru
Aşağıdakilerden hangisi ferromanyetik malzemedir?
|
Bakır
|
|
Alüminyum
|
|
Platin
|
|
Kalsiyum
|
|
Nikel
|
4.Soru
Rotor direncinden dolayı meydana gelen ısıl kayıplara ne ad verilir?
|
Rotor bakır kayıpları |
|
Mekanik sürtünme kayıpları |
|
Stator bakır kayıpları |
|
Rüzgar kayıpları |
|
Stator demir kayıpları |
Bir asenkron motorun başlıca kayıpları stator bakır kayıpları, stator demir kayıpları (nüve kayıpları), rotor bakır kayıpları, ve mekanik sürtünme ve rüzgar kayıplarından oluşmaktadır. Stator bakır kayıpları stator sargılarının direncinden kaynaklanan ısıl kayıplardır. Rotor bakır kayıpları rotor direncinde dolayı meydana gelen ısıl kayıplardır. Stator ve rotor bakır kayıpları motor yüklendikçe artan kayıplardır. Mekanik sürtünme kayıpları ise rulmanlarda meydana gelen mekanik sürtünmeden kaynaklanır. Rüzgar kayıpları ise rotor yüzeyinin hava ile sürtünmesinden kaynaklanan kayıplardır. Asenkron motorların demir kayıpları transformatörlerde olduğu gibi girdap ve histeresiz kayıplarından oluşmaktadır. Mekanik sürtünme ve rüzgar kayıplarıyla demir kayıpları yük akımı ile değişmez ve sabittirler.
5.Soru
Büyük güçlü ve yüksek gerilimde çalışacak transformatörlerde hangi tip nüve tercih edilir?
|
Mantel
|
|
Spiral
|
|
Dağıtılmış
|
|
Çekirdek
|
|
Kesirsel
|
6.Soru
Statora uygulanan şebeke geriliminin bir periyodunda manyetik kutuplar bir tur döner. Şebeke frekansı 50 Hz olduğuna göre manyetik alan kutupları 2 dk'da kaç defa döner?
|
3000 |
|
6000 |
|
9000 |
|
10000 |
|
5000 |
Şebeke frekansı 50 Hz olduğu için manyetik alan kutupları saniyede 50 defa, iki dakikada 6000 defa döner.
7.Soru
Dönme hareketi yapan bir elektromekanik sistemde, seçilen bir referansa göre hareketli kısmın konumunu belirleyen büyüklük aşağıdakilerden hangisidir?
|
Açısal hız |
|
Çizgisel hız |
|
Moment |
|
Açısal hız |
|
Konum açısı |
Konum Açısı ?, dönme hareketi yapan elektromekanik sistemde keyfi olarak seçilen bir referansa göre hareketli kısmın konumunu belirleyen açıdır. Başka deyişle açısal olarak alınan yoldur.
8.Soru
Manyetik geçirgenliğin birimi aşağıdakilerden hangisidir?
|
Tesla
|
|
Henry
|
|
Amper
|
|
Henry/metre
|
|
Amper/metre
|
9.Soru
- Dinamik frenleme
- Statik frenleme
- Mekanik frenleme
- Elektriksel frenleme
Yukarıdaki yöntemlerden hangisi ya da hangileri asenkron motorların frenlenmesinde kullanılır?
|
I ve III |
|
I, II ve IV |
|
I, III ve IV |
|
II, III ve IV |
|
I, II, III ve IV |
Asenkron motorları, çalışma koşullarına ve sürdükleri yüklerin özelliklerine bağlı olarak, ani durdurulmaları (fren yapmaları) gerekebilir. Bu durumda özel frenleme sistemlerinin kullanılması gerekir. Normal bir asenkron motorun enerjisi kesildiğinde yavaşlayarak durur. Motorun duruş süresi rotorun ve/veya rotor miline bağlı olan yükün ataletine bağlıdır. Motorun istenilen sürede durması için bazı özel düzeneklerin kullanılması gerekir. Asenkron motorlar aşağıdaki yöntemler ile frenlenir:
- Dinamik frenleme
- Mekanik frenleme
- Elektriksel frenleme
Doğru cevap C'dir.
10.Soru
Diamanyetik malzemelerle ilgili aşağıdakilerden hangisi yanlıştır?
|
Uygulanan kuvvetli bir manyetik alan şiddetine karşılık çok zayıf ve negatif değerlikli manyetik alınganlık değeri gösterirler. |
|
Uygulanan manyetik alan kaldırıldıktan sonra kalıcı bir mıknatısiyet barındırmazlar. |
|
Altın diamanyetiktir. |
|
Kuvvetli bir alana maruz kaldıklarında havada asılı kalırlar. |
|
Manyetik alan tarafından kuvvetli bir biçimde çekilirler. |
Diamanyetik malzemeler, uygulanan kuvvetli bir manyetik alan şiddetine karşılık çok zayıf ve negatif değerlikli manyetik alınganlık değeri gösterirler. Negatif değerlikli alınganlık göstermesi, manyetik alan tarafından hafifçe itilecekleri anlamını taşır.
11.Soru
"Bir alternatif akım makinasında oluklar çevreye eşit aralıklarla dağıtılırlar. Dolayısıyla kutup adımı değerini oluk sayısı cinsinden yazarsak bu değer aynı zamanda bobinin iki kenarı arasındaki açıklığa yani bobin adımına karşılık gelir. Ayrıca oluk Açısı (oluk adımı) ise iki oluk arasındaki elektriksel açıdır."
Bu bilgi dikkate alınarak toplam oluk sayısı 32 olan 8 kutuplu bir makine için bobin adımı ve oluk açısı aşağıdakilerden hangisidir?
|
Bobin adımı 4, Oluk Açısı 90o |
|
Bobin adımı 4, Oluk Açısı 45o |
|
Bobin adımı 8, Oluk Açısı 45o |
|
Bobin adımı 8, Oluk Açısı 90o |
|
Bobin adımı 32, Oluk Açısı 45o |
Toplam oluk sayısını S ile gösterirsek, 2p kutuplu bir makine için bobin adımı olarak bulunur. Ayrıca oluk açısı
olarak bulunur. Doğru cevap B'dir.
12.Soru
186 rad/sn ile dönen bir makinanın hızı kaç dev/dak’dır?
|
17.7616
|
|
177.616
|
|
1776.16
|
|
6167.7
|
|
17761.6
|
13.Soru
Transformatörlerde polarite aşağıdakilerden hangisine bağlıdır?
|
Sargı yönüne |
|
Sargı sayısına |
|
Nüve tipine |
|
Nüve kesitine |
|
Primer sargısına uygulanan gerilim şiddetine |
Transformatörlerin sargılarında endüklenen gerilimlerin anlık yönleri sargılara uygulanan gerilimin polaritesine ve sargılarda meydana gelen manyetik akının yönüne bağlı olarak değişir. Sargılarda endüklenen gerilimin anlık yönlerinin bulunmasına veya sargı uçlarının işaretlerinin belirtilmesine polarite denir. Transformatörlerin paralel bağlanması veya sargıların kendi aralarında bağlanmasında hangi ucun hangi uca bağlanacağı sargı polaritesine göre kararlaştırılır. Polarite şematik olarak noktalama işaretiyle belirlenir. Polarite sargıların sarım yönüne bağlıdır.
14.Soru
4 A akım taşıyan 1 m uzunluğundaki doğrusal bir tel 0.01 T şiddetindeki düzgün bir manyetik alan içerisinde durmaktadır. Tel, manyetik alanla 30 derecelik açı yaptığına göre manyetik kuvvetin büyüklüğü kaç newtondur?
|
0.04
|
|
0.034
|
|
0.03
|
|
0.024
|
|
0.02
|
15.Soru
Asenkron motorların hızı aşağıdaki yöntemlerden hangisi ile ayarlanamaz?
|
Stator gerilimi değiştirilerek |
|
Kutup sayısı değiştirilerek |
|
Bilezikli asenkron motorlarda rotor sargılarına seri direnç bağlayarak |
|
Motor kayıpları arttırılarak |
|
Besleme gerilimi frekansı değiştirilerek |
Motorun hızı birkaç şekilde ayarlanabilir. Motor hızı, stator gerilimi değiştirilerek, kutup sayısı değiştirilerek, rotor sargılarına seri direnç bağlayarak (sadece bilezikli asenkron motorlarda) ve besleme gerilimi frekansı değiştirilerek ayarlanır. Kutup sayısı ve besleme gerilimi frekansı değiştirilerek yapılan hız kontrolünde motorun senkron hızı değişir. Diğer metotlarda ise sadece motorun hız-moment karakteristiği değiştirilerek rotor hızı değiştirilir. Doğru cevap D'dir.
16.Soru
Alçak gerilim seviyesinden yüksek gerilim seviyesine dönüşüm yapan transformatörlere yükseltici transformatör denilmektedir. Bu bağlamda, yüksek gerilim seviyesinden alçak gerilim seviyesine dönüşüm yapan transformatörlere ne ad verilir?
|
Geliştirici |
|
Yönlendirici |
|
Düşürücü |
|
Artırıcı |
|
Verici |
Alçak gerilim seviyesinden yüksek gerilim seviyesine dönüşüm yapan transformatörlere yükseltici transformatör, yüksek gerilim seviyesinden alçak gerilim seviyesine dönüşüm yapan transformatörlere de düşürücü transformatör denir.
17.Soru
Asenkron motorlarda aşağıdaki kayıplardan hangisi motor yüklendikçe artan kayıplardandır?
|
Rüzgar kayıpları
|
|
Demir kayıpları
|
|
Rotor bakır kayıpları
|
|
Histeresiz kayıpları
|
|
Mekanik sürtünme kayıpları
|
18.Soru
Mekanik enerjiyi elektriksel enerjiye dönüştüren cihazlara ne ad verilir?
|
Motor |
|
Manyetik devre |
|
Transformatör |
|
Generatör |
|
Bobin |
Bilindiği gibi elektromekanik enerji dönüşümü yapan bütün döner elektrik makinaları, motor veya generatör olarak çalıştırılabilirler. Motor çalışmada, makinaya verilen elektriksel enerji mekanik enerjiye; generatör çalışmada ise, makinaya verilen mekanik enerji elektriksel enerjiye dönüştürülür.
19.Soru
- Gümüş
- Silikon
- Krom
- Platin
- Tungsten
Seçeneklerdeki elementlerin hangileri paramanyetik malzeme tipi grubuna girmektedir?
|
I ve II |
|
I, III ve IV |
|
III, IV ve V |
|
I, II, III ve V |
|
II, III, IV ve V |
“Alüminyum, magnezyum, kalsiyum, krom, platin, tungsten” paramanyetik malzeme tipi grubuna dahil olan örnek malzemelerdir, dolayısıyla doğru cevap C’dir. “Bizmut, bakır, gümüş, altın, kurşun, civa, gümüş, silikon” diamanyetik malzeme tipi grubuna, “demir, nikel, kobalt” ise ferromanyetik malzeme tipi grubuna dahildir.
20.Soru
Yarıçapı d=0.05 m olan toroidde oluşan akı değeri 0.025 Wb’dir. Manyetik akı yoğunluğu değeri nedir?
|
3.18 T |
|
1.36 T |
|
1.59 T |
|
2.25 T |
|
2.63 T |
formülünden B = 3.18 T hesaplanır
-
- 1.SORU ÇÖZÜLMEDİ
- 2.SORU ÇÖZÜLMEDİ
- 3.SORU ÇÖZÜLMEDİ
- 4.SORU ÇÖZÜLMEDİ
- 5.SORU ÇÖZÜLMEDİ
- 6.SORU ÇÖZÜLMEDİ
- 7.SORU ÇÖZÜLMEDİ
- 8.SORU ÇÖZÜLMEDİ
- 9.SORU ÇÖZÜLMEDİ
- 10.SORU ÇÖZÜLMEDİ
- 11.SORU ÇÖZÜLMEDİ
- 12.SORU ÇÖZÜLMEDİ
- 13.SORU ÇÖZÜLMEDİ
- 14.SORU ÇÖZÜLMEDİ
- 15.SORU ÇÖZÜLMEDİ
- 16.SORU ÇÖZÜLMEDİ
- 17.SORU ÇÖZÜLMEDİ
- 18.SORU ÇÖZÜLMEDİ
- 19.SORU ÇÖZÜLMEDİ
- 20.SORU ÇÖZÜLMEDİ