Elektrik Tesisat Planları Ara 5. Deneme Sınavı
Toplam 20 Soru1.Soru
Aşağıdakilerden hangisi mermer tablolar ilgili söylenebilir?
|
Küçük tipleri sıva üstü ve gömme tip gibi düzgün kıvrımlı ve nokta kaynağı ile sağlamlaştırılarak, kapalı ve açık tiplerde yapılır. |
|
Büyük tipleri ise köşebentlerle dayanımı arttırılarak pano tipi olarak yapılır. |
|
Sacdan yapılmış çerçeve, dolap, kutu içerisine yerleştirilerek güven altına |
|
İşçiliğinin zor olması, kırılgan olması, nem alıcı olması, yapımında kullanılan malzemenin ağır alması gibi sebebiyle kullanımı yasaklanmış bir tablo çeşididir. |
|
Sert plastik, pertinaks-fiber gibi malzemelerden yapılırlar. |
İşçiliğinin zor olması, kırılgan olması, nem alıcı olması, yapımında kullanılan malzemenin ağır alması gibi sebebiyle kullanımı yasaklanmış bir tablo çeşididir.
2.Soru
- Ateş ve meşale
- Kibrit
- Gaz lambası
- Fitil lamba
- Edison'un ilk lambası
Yukarıda verilen aydınlatma araçlarının kronolojik olarak geçmişten günümüze doğru sıralanışı aşağıdakilerden hangisinde verilmiştir?
|
I, II, III, IV ve V |
|
I, III, V, IV, II |
|
I, IV, III, II ve V |
|
IV, II, I, III ve V |
|
I, IV, III, V, II |
- Ateş ve meşale MÖ 5000
- Kibrit 1827
- Gaz lambası 1779
- Fitil lamba MÖ 500
- Edison'un ilk lambası 1879
Buna göre kronolojik olarak sıralanışı:I, IV, III, II ve V şeklindedir.
3.Soru
İstenilen açıda bükülebilen, dönüşlerin çok olduğu yerlerde, kolon hatları ve kiriş dönüşleri gibi yerlerde kullanılan boru çeşidi aşağıdakilerden hangisidir?
|
Çelik boru |
|
PVC boru |
|
Bergman boru |
|
Peşel boru |
|
Spiral boru |
Spiral (Bükülgen) borular, istenilen açıda bükülebilirler. Dönüşlerin çok olduğu yerlerde, kolon hatlarında, kiriş dönüşlerinde kullanılırlar. İşçiliği kolaylaştırır, metal ve yalıtkan gereçlerden yapılırlar.
4.Soru
%45 nikel ve %55 bakırdan oluşturulan alaşıma ne ad verilir?
|
Tungsten |
|
Çinko |
|
Civa |
|
Su |
|
Konstantan |
Konstantan
Bir bakır nikel alaşımı olup genellikle % 45 nikel, % 55 bakırdan oluşur. Isı ile dirençleri az değişir bu yüzden, direnç tellerinde, ölçü aletlerinde ve ısıtıcılarda kullanılır.
5.Soru
Uygulama projesinin yeniden hazırlanmasına gerek olmayacak şekilde bir elektrik tesisinde yapılacak değişiklikler, yetki sınırları içinde kalmak koşulu ile kurulu gücün % kaçını geçmeyecektir?
|
10 |
|
20 |
|
25 |
|
30 |
|
40 |
Tesiste yapılabilecek değişiklikler, yetki sınırları içinde kalmak koşulu ile kurulu gücün %20’sini geçmeyecektir.
6.Soru
Aşağıda deşarj lambaları ile verilen bilgilerden hangisi doğrudur?
|
Kısa ömürlüdürler |
|
Çevre sıcaklığından çok etkilenirler |
|
Voltaj dalgalanmalarına karşı dirençlidirler |
|
Tam parlaklığa ulaşmaları 4 saniye alır. |
|
Yüksek değerde ışık akısına sahiptirler |
Deşarj lambaları için aşağıdaki avantajları ve
dezavantajları yazılabilir:
Avantajları
• Uzun ömürlüdürler ( ? 10.000 saat)
• Yüksek değerde ışık akısına sahiptirler
• Enkandesan lambalar gibi ışık akısı yoğunluğuna sahiptirler
• Çevre sıcaklığından fazla etkilenmezler
Dezavantajları
• Metal halide dışındaki türlerin renksel geri verimi düşüktür
• Voltaj dalgalanmalarına karşı hassastırlar.
• Enerji verildiğinde tam parlaklığa ulaşmaları 4 ile 7 dakika süre alır.
• Söndürüldüklerinde veya anlık bir akım kesilmesinde tekrar çalışmaları uzun süre alır.
Doğru cevap E'dir.
7.Soru
Aşağıdaki gümüş ile ilgili verilen bilgilerden hangisi yanlıştır?
|
Özgül ağırlığı 10,5 kg/dm³'tür. |
|
En iyi iletendir. |
|
Özdirenci 0,016 Ω mm²/m (1/ 63)'dir. |
|
Ergime derecesi 1526 ºC’dir. |
|
Yumuşak bir yapıya sahiptir. |
Gümüş: Rengi parlak beyaz metal olup yumuşak bir yapıya sahiptir. Özdirenci 0,016 Ω mm²/m (1/ 63), özgül ağırlığı 10,5 kg/dm³, ergime derecesi 961 ºC’dir. En iyi iletendir. Pahalı olduğu için, ölçü aleti, role kontaktör ve şalterlerin kontakları ile bazı sigortaların yapımında kullanılmaktadır.
8.Soru
Priz linye hatları ev tipi devre kesicilerle korunacaktır ve bu kesicilerin kısa devre akımları en az ... kA olacaktır.
Yukarıdaki ifadede boşluğa aşağıdakilerden hangisi gelmelidir?
|
1 |
|
2 |
|
3 |
|
4 |
|
5 |
Priz linye hatları ev tipi devre kesicilerle korunacaktır. Bu kesicilerin kısa devre akımları en az 3 kA olacaktır.
9.Soru
Aşağıdakilerden hangisi arızalı duruma yaklaşma yöntemlerinden olan somut durum muayenesindendir?
|
Bak |
|
Dinle |
|
Hisset |
|
Kokla |
|
Ölçü aletlerini kullan |
Ölçü aletlerini kullanmak somut durum muayenesinde yapılmaktadır.
10.Soru
20W eşit güce sahip üç farklı tip lamba için sağladıkları ışık akısı küçükten büyüğe aşağıdaki şıklardan hangisinde doğru sıralanmıştır.
- Led lamba
- Halojen Kapsül lamba
- Kompakt Flüoresan lamba
|
I-II-III |
|
I-III-II |
|
I-III-II |
|
II-III-I |
|
II-I-III |
20W güç için;
Halojen Kapsül lamba 350 L
Kompakt Flüoresan lamba 1200 L
Led lamba 1500 L
ışık akısı sağlar. Doğru cevap D'dir.
11.Soru
Aşağıdakilerden hangisi yarı iletkenli termik dedektörlerin çalışma sıcaklıklarından biri değildir?
|
30 |
|
40 |
|
50 |
|
60 |
|
70 |
Yarı iletkenli termik dedektörler: 40, 50, 60, 70, 80, 90 0C ısı derecesinde çalışacak şekilde, hassasiyetleri ±1 0C ve tepki süreleri en fazla 2 sn.olacak şekilde üretilirler. Doğru cevap A'dır.
12.Soru
Aşağıdakilerden hangisi sıklıkla nemli yerlerde sıva üstü olarak kullanılan buatlardandır?
|
Kare Buat |
|
Kontralı Buat |
|
Antigron buat |
|
Harici Tip Buat |
|
Kondulet Buat |
Antigron Buat; nemli yerlerde kullanılır. Sıva üstü elektrik tesisatında kullanılır. Kare ve dairesel olmak üzere iki tipte üretilir.
Doğru yanıt "C" seçeneğidir.
13.Soru
Birimi kandela olan ışık ölçüsü aşağıdakilerden hangisidir?
|
Işık akısı |
|
Işık şiddeti |
|
Aydınlık düzeyi |
|
Parıltı |
|
Işık yansıması |
Işık şiddeti, bir ışık kaynağının etrafındaki herhangi bir noktaya gönderdiği ışık ışınının şiddetidir. Bu ışık ışınının şiddetinin büyüklüğü, hem ışık kaynağının büyüklüğüne ve yapısına, hem de dikkate alınan noktayı ışık kaynağına birleştiren doğru ile ışık kaynağı ekseni arasındaki açıya bağlıdır. Birimi “kandela - cd” olup, “ I ” ile gösterilir. Doğru cevap B'dir.
14.Soru
Aşağıdakilerden hangisi veya hangileri bir kumanda devresi tablosu içerisinde bulunabilir?
- Sigorta
- Termostat
- Priz
|
Yalnız I |
|
I ve II |
|
I ve III |
|
II ve III |
|
I, II ve III |
Kumanda devresi tabloları endüstride kullanılan makinaların uzaktan kumandasını sağlamakta kullanılır. Kumanda gereçleri yalıtkan levhaların üzerine özel sac kutuların içerisine birlikte monte edilir. İçerisinde kontaktörler, sigorta, sinyal lambaları, termostat, zaman röleleri, butonlar, priz ve seri lamba gibi kumanda elemanları bulunur. Doğru cevap E'dir.
15.Soru
Linye hattı ile aydınlatma aygıtı ya da priz arasındaki bağlantı hattı aşağıdakilerden hangisidir?
|
Kolon Hattı |
|
Sorti Hattı |
|
Linye Hattı |
|
Ana Kolon hattı |
|
Yapı Giriş Hatları |
a.ll- Sorti Hattı:
Linye hattı ile aydınlatma aygıtı ya da priz arasındaki bağlantı hattıdır.
16.Soru
Aşağıdaki ifadelerden hangisi yanlıştır?
|
Tablolara takılmış ev tipi devre kesiciler, kumanda anahtarı olarak kullanılamaz. |
|
İç tesislerde bıçaklı sigorta açık tipteki sigortalar rastgele dokunmaya karşı tedbir alınmadan kullanılamaz. |
|
Topraklanmış iletkenlere sigorta konulamaz. |
|
Doğru akımla çalışan çok iletkenli ya da alternatif akımla çalışan çok fazlı sistemlerde sıfır iletkenine sigorta konumalıdır. |
|
Hava hatlarından ayrılan bağlantı hatlarının ayrılma noktalarına ya da hatların yapılara girdiği yerlere sigorta konulmalıdır. |
Doğru akımla çalışan çok iletkenli ya da alternatif akımla çalışan çok fazlı sistemlerde sıfır iletkenine sigorta konulamaz.
17.Soru
Işık kaynağının zeminden yüksekliği 3.50 metre olan 8 metre eninde ve 4 metre boyundaki bir ofis odasının çalışma yüksekliğinin 0.80 metre olduğu düşünülürse bu odanın oda indeks değeri aşağıdakilerden hangisidir?
|
2.666 |
|
1.111 |
|
0.987 |
|
0.500 |
|
0.375 |
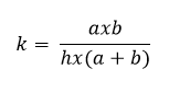
k oda indeksini göstermek üzere aşağıdaki gibi tanımlanabilir.
Burada a odanın uzunluğunu (m), b odanın genişliğini (m) ve h ise ışık kaynağının çalışma düzlemine olan yüksekliğini (m) temsil etmektedir. Buna göre oda indeksi;
olarak hesaplanır.
18.Soru
Kullanım alanı çok geniş olan iç haberleşme sistemidir. İki kişinin karşılıklı konuşmasını sağladığı, görüntülü ve sesli kapı konuşma sistemlerine verilen ad aşağıdakilerden hangisine aittir?
|
Çağırma Tesisat Sistemleri |
|
Kapı Zili ve Kapı Otomatiği Tesisat Sistemleri |
|
Diyafon Tesisat Sistemleri |
|
Hırsız İhbar Sistemleri |
|
Numaratör Tesisat Sistemleri |
Diyafon Tesisat Sistemleri: Kullanım alanı çok geniş olan iç haberleşme sistemidir. İki kişinin karşılıklı konuşmasını sağladığı, görüntülü ve sesli kapı konuşma sistemlerine kısaca diyafon adı verilmiştir. Sesli ve görüntülü sistemler çok çeşitlidir; kapıcılı ve kapıcısız sistemler, renkli görüntülü telefonlu sistemler, sadece sesli diyafonlar, sesli ve görüntülü diyafonlar.
19.Soru
Kolon hatları için kullanılacak bakır iletkenlerin kesiti en az kaç mm² olmalıdır?
|
1 |
|
1.5 |
|
2.5 |
|
4 |
|
6 |
Kolon hatları için kullanılacak bakır iletkenlerin kesiti en az 4 mm² olmalıdır
20.Soru
Telefon tesisatı için kullanılacak iletkenin çapı en az kaç mm olmalıdır?
|
0,1 |
|
0,25 |
|
0,5 |
|
0,75 |
|
1 |
Telefon tesisatı için kullanılacak iletkenin çapı en az 0,5 mm olmalıdır.
-
- 1.SORU ÇÖZÜLMEDİ
- 2.SORU ÇÖZÜLMEDİ
- 3.SORU ÇÖZÜLMEDİ
- 4.SORU ÇÖZÜLMEDİ
- 5.SORU ÇÖZÜLMEDİ
- 6.SORU ÇÖZÜLMEDİ
- 7.SORU ÇÖZÜLMEDİ
- 8.SORU ÇÖZÜLMEDİ
- 9.SORU ÇÖZÜLMEDİ
- 10.SORU ÇÖZÜLMEDİ
- 11.SORU ÇÖZÜLMEDİ
- 12.SORU ÇÖZÜLMEDİ
- 13.SORU ÇÖZÜLMEDİ
- 14.SORU ÇÖZÜLMEDİ
- 15.SORU ÇÖZÜLMEDİ
- 16.SORU ÇÖZÜLMEDİ
- 17.SORU ÇÖZÜLMEDİ
- 18.SORU ÇÖZÜLMEDİ
- 19.SORU ÇÖZÜLMEDİ
- 20.SORU ÇÖZÜLMEDİ