Finans Matematiği Ara 10. Deneme Sınavı
Toplam 20 Soru1.Soru
Nominal değeri 10000 lira olan bir senet 10 ay vade ile düzenlenmiştir. Senet düzenleme tarihinden 6 ay sonra %15 ile iskonto ettirilmiştir. Buna göre senedi kırdıranın eline kaç lira geçer?
|
9207,80 |
|
9523,80 |
|
9600,34 |
|
9610,75 |
|
9721,40 |
Senet nominal değeri üzerinden iskonto edileceğinden iç iskonto yöntemine göre yapılır. formülüne göre S= 10000 r=0,15 P=10000 t=4/12
olur.
2.Soru
Bir memur her üç ayda bir ₺ 1.000 tutarındaki parasını yıllık % 8 faiz oranıyla bankaya yatırmaktadır. 10. yılın sonunda kaç ₺ tasarruf yapmış olur?
|
60.100
|
|
60.400
|
|
61.300
|
|
61.400
|
|
61.800
|
3.Soru
Aşağıdaki ifadelerden hangisi doğru değildir?
|
Risk arttıkça para için ödenecek faiz de artar. |
|
Bir ülkede tek bir faiz oranı vardır. |
|
Devletin çıkardığı borçlanma senetlerinin faizi özel işletmelerin borçlanma senetlerinin faizinden daha yüksek olur. |
|
Sıkı para politikasının uygulandığı dönemlerde faiz oranları yükselme eğilimi gösterir. |
|
Düşük faiz oranları işletmeleri yeni yatırımlara teşvik eder. |
Devletin çıkardığı borçlanma senetlerinin faizi özel işletmelerin borçlanma senetlerinin faizinden daha düşük olur. Çünkü borcun devlet tarafından ödenmemesi söz konusu değildir.
4.Soru
Yıllık %5 faiz oranından 6 aylığına bankaya yatırılan bir miktar para süre sonunda 250TL faiz getirisi sağlamıştır. Buna göre bankaya yatırılan para ne kadardır?
|
2.500
|
|
4.000
|
|
6.750
|
|
8.900
|
|
10.000
|
5.Soru
Bir banka mevduat hesaplarına %15 yıllık faiz uygulamaktadır. 80.000 TL parası olan bir kişinin bu bankadan 5.000 TL faiz geliri elde edebilmesi için parasını kaç ay süre ile bu bankaya yatırmalıdır ?
|
2
|
|
3
|
|
4
|
|
5
|
|
6
|
6.Soru
1997 yılında bir şehrin nüfusu 470.000 iken, 2005 yılında 525.460 olmuştur. Bu şehirde yıllık nüfus artış hızı yüzde kaç olmuştur?
|
%1,4
|
|
%1,6
|
|
%1,7
|
|
%1,8
|
|
%1,9
|
7.Soru
Aşağıda nominal değerleri ve vadeleri verilen üç adet senet yerine 12 ay vadeli yeni bir senet verilmiştir. İskonto oranı %20 olduğuna göre, yeni senedin değeri iç iskonto yöntemine göre hesaplandığında ne kadar olur ? DEĞER 10.500 VADE 3 ay DEĞER 11.000 VADE 6 ay DEĞER 11.500 VADE 9 ay
|
30.000
|
|
32.000
|
|
34.000
|
|
36.000
|
|
40.000
|
8.Soru
İlk ödemesi ilk faiz devresinin bitiminde değil, bir ya da daha fazla devre geçtikten sonra herhangi bir zamanda yapılan anüitelere ne ad verilir?
|
Daimi Anüiteler |
|
Peşin Anüiteler |
|
Devamlı Anüiteler |
|
Geciktirilmiş Anüiteler |
|
Normal Anüiteler |
İlk ödemesi ilk faiz devresinin bitiminde değil, bir ya da daha fazla devre geçtikten sonra herhangi bir zamanda yapılan anüitelere “Geciktirilmiş Anüiteler” denir.
9.Soru
Bir banka müşterilerine yıllık %15.48 faiz oranı ile kredi kullandırılıyor. Banka kredi faizlerine %15 KKDF (kaynak kullanım destekleme fonu) kesintisi uyguluyor.Bu bankadan 120 gün süre ile 245.00 TL kullanan bir kişi süre sonunda bankaya toplamda ne kadar para öder ?
|
250.538,30
|
|
255.538,30
|
|
259.538,30
|
|
252.538,30
|
|
258.538,30
|
10.Soru
Bir aile bankadan ev kredisi almıştır. On ay sonra ödemeleri gereken toplam borç 150.000 TL’dir. Eğer aile, aylık % 1 faiz oranı ile her ay sonunda eşit ödemeler yaparak borçlarını kapatmak isterlerse aylık taksitleri kaç TL olur?
|
14.337,31 |
|
14.398,51 |
|
14.437,81 |
|
14.536,91 |
|
14.777,41 |
S = 150.000 TL i = % 1 (0,01) q = 1,01 (1+0,01) n = 10 a = ?
Aylık taksit tutarı a = 14.337,31 TL bulunur.
11.Soru
Aşağıdakilerden hangisi piyasada faiz oranı %12 ve enflasyon oranı %8,9 olduğunda yaklaşık reel faiz oranını gösterir?
|
0.028
|
|
0.038
|
|
0.058
|
|
0.048
|
|
0.068
|
12.Soru
10 ay vadeli 4200 tl nominal değerli bir senet düzenlendikten 6 ay sonra iskonto ettirilmiştir. İskonto oranı %15 ise basit iç iskonto yöntemine göre ele geçen para ne kadar olur?
|
4100 |
|
3500 |
|
3800 |
|
3750 |
|
4000 |
Senedin vadesi 10 aydır ancak 6 ay sonra iskonto ettirildiğine göre, bu senedin vadesine 4 ay kalmıştır.t=4 olarak alınır.
13.Soru
9000 lira, yıllık % 7 faizle bileşik faize yatırılmışsa 3. sene sonundaki değeri ne olur?
|
11.025
|
|
12.635
|
|
10.345
|
|
9.985
|
|
10.900
|
14.Soru
Bir toptancı tarladan aldığı domateslerin fiyatına ek olarak % 3 ve % 1,7 oranlarında nakliye ve sigorta bedelleri ödediğinde toplam maliyet tutarı 6.282 TL olmuştur. Buna göre toptancının ödediği nakliye ve sigorta bedelleri kaç TL’dir?
|
105 |
|
182 |
|
208 |
|
263 |
|
282 |
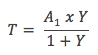
Toplam maliyet ve diğer maliyet unsurlarının esas maliyete oranı biliniyorsa, diğer maliyet unsurları aşağıdaki formül yardımıyla hesaplanabilir.
Verilen problemde,
A1 = 2.828 TL
Y = % 3 + % 1,7 = % 4,7
T = ?
Verilenler formülde yerine yerleştirilirse,
T=282 bulunur.
Böylece maliyet unsurları 282 TL olur.
15.Soru
Bir bankadan 6 ay vadeli olarak 30000 lira kredi alınmıştır. Banka kredi faiz miktarını düştükten sonra 28000 lira ödeme yapmıştır. Buna göre alına kredinin yüklenilen faiz oranı yüzde kaçtır?
|
13,39 |
|
14,28 |
|
14,89 |
|
15 |
|
15,12 |
Bankaya ödenen faiz tutarı
liradır. Vade süre t=6/12 olmak üzere ,
Yüklenilen faiz olur. Yani %14,28 dir.
16.Soru
Bir baba bir bankada 10 yaşındaki kızı adına 18 yaşına geldiğinde üniversite masraflarını karşılayabilmesi için %10 faizle ?20.000’lik mevduat hesabı açmıştır. 18 yaşına geldiğinde bu kızın bankada biriken parası ne kadar olacaktır?
|
42.871 |
|
35.870 |
|
39.773 |
|
34.890 |
|
44.337 |
S=P(1+i)n S=? P=20.000 n=8 i=%10
S=42.871
17.Soru
Bir işletmenin müşterisinden 7 ay sonra tahsil edeceği 40.000TL alacağı vardır. İskonto oranının %10 olması durumunda işletme alacağını hemen tahsil etmek isterse, müşteri aşağıdakilerden hangisini ödemelidir?
|
2.201
|
|
20.000
|
|
28.000
|
|
32.564
|
|
37.795
|
18.Soru
Her yıl sonunda bir bankaya 5.000 Türk Lirası yatırılıyor. Faiz oranı %3 ise 3. yılın sonunda biriken para (3 dönemlik anüitenin gelecek değeri) yaklaşık olarak ne olur?
|
15 000
|
|
15 150
|
|
15 305
|
|
15 455
|
|
15 556
|
19.Soru
Faiz taşımayan 2.000 tl nominal değerli bir bono, 4 yıl vadeye sahiptir. Bu bono yıllık %6 faizden 6 aylık devreler itibariyle iskonto ettirilirse, iskonto miktarı ne olur?
|
402,12 |
|
422,12 |
|
420,12 |
|
421,18 |
|
415,2 |
S=2000 tl, n=8 (4x2), i=% 3 (0,06/2) ise Ii=?
20.Soru
Elif, sahip olduğu 9.000 lirasını beş yıllık mevduat hesabına yatırmıştır. Faiz oranı %11 ise Emre beş yılın sonunda kaç lira faiz geliri elde eder?
|
1990
|
|
4950
|
|
5500
|
|
3560
|
|
7030
|
-
- 1.SORU ÇÖZÜLMEDİ
- 2.SORU ÇÖZÜLMEDİ
- 3.SORU ÇÖZÜLMEDİ
- 4.SORU ÇÖZÜLMEDİ
- 5.SORU ÇÖZÜLMEDİ
- 6.SORU ÇÖZÜLMEDİ
- 7.SORU ÇÖZÜLMEDİ
- 8.SORU ÇÖZÜLMEDİ
- 9.SORU ÇÖZÜLMEDİ
- 10.SORU ÇÖZÜLMEDİ
- 11.SORU ÇÖZÜLMEDİ
- 12.SORU ÇÖZÜLMEDİ
- 13.SORU ÇÖZÜLMEDİ
- 14.SORU ÇÖZÜLMEDİ
- 15.SORU ÇÖZÜLMEDİ
- 16.SORU ÇÖZÜLMEDİ
- 17.SORU ÇÖZÜLMEDİ
- 18.SORU ÇÖZÜLMEDİ
- 19.SORU ÇÖZÜLMEDİ
- 20.SORU ÇÖZÜLMEDİ