Finans Matematiği Ara 15. Deneme Sınavı
Toplam 20 Soru1.Soru
Bir apartmanda aylık 150 TL aidat ödenmesi gerekmektedir. Aidatı her ayın başında değil de yıl sonunda ödeyen bir ailenin, aylık faiz oranı %1.5 iken yıl sonunda toplu olarak ödeyeceği tutar aşağıdakilerden hangisidir?
|
1855.5 |
|
2200 |
|
1985.5 |
|
2050 |
|
2150.5 |
Hesaplamada kullanacağımız formül aşağıdaki gibidir:
2.Soru
Can, biriktirdiği 5.000 lirası ile bir yıllık mevduat hesabı açtırmıştır. Faiz oranı %12 ise bir yılın sonunda Can’ın birikimi ne kadar olur?
|
7400
|
|
5600
|
|
8200
|
|
6100
|
|
6500
|
3.Soru
Maliyeti 450 lira olan bir maldan 90 lira zarar edilmiştir. Zarar yüzdesi nedir?
|
0,10
|
|
0,12
|
|
0,15
|
|
0,20
|
|
0,25
|
4.Soru
Yüzde 5 aşağıdakilerden hangisi şeklinde yazılabilir?
|
0.05
|
|
0.5
|
|
0.005
|
|
5
|
|
0.25
|
5.Soru
Bir işadamı vadesine 8 ay kala 18.000 TL tutarlı alacağını bugünden tahsil etmek istemiştir. İskonto oranının %10 olması durumunda işadamının eline geçecek para ne kadar olur?
|
15.040 |
|
17.570 |
|
14.800 |
|
16.400 |
|
16.822 |
İç iskonto yönteminde iskonto tutarı, yukarıda da ifade edildiği gibi peşin değer (değerleme günündeki değer) üzerinden hesaplanır. Bir bonunun nominal değeri, bononun üzerinde yazılı ve sabit olmakla birlikte peşin değeri, günden güne değişir. Basit iç iskontoda peşin değeri veren eşitlik aşağıdaki gibi yazılabilir:
6.Soru
Bir işletme 3 yıl sonra ödemesi gereken 120.000 liralık borcu her devre başında ödenecek eşit taksitlerle kapatmak istemektedir. Faiz oranı %7 ise her devre başında ödenecek eşit taksitler ne olmalıdır?
|
34.884,29
|
|
38.645
|
|
44.961,96
|
|
48.825,30
|
|
54.782,84
|
7.Soru
Işık, faiz oranlarındaki değişimden etkilenmemek amacıyla 15.000 lirasını 4 yıllığına bir bankaya yatırmıştır. Faiz oranı %8 ise dördüncü yılın sonunda kaç lirası olur?
|
20850
|
|
18950
|
|
19800
|
|
17600
|
|
18500
|
8.Soru
Yukarıdakilerden hangileri anüitedir?
|
Yalnız I |
|
Yalnız III |
|
I ve II |
|
II ve III |
|
I, II ve III |
Eşit zaman aralıklarıyla yapılan ödemelere anüite denir. Emeklilik ödemleri, sigorta prim ödemleri, kira ödemeleri, maaş ödemleri, taksitle alına eşya, bankadan alına krediler gibi ödemelere anüiete denir.
9.Soru
Her bir devrenin ödemesinin o devrenin sonunda yapıldığı, ödemelerin eşit aralıklarla ve eşit miktarlı olarak yapıldığı anüitelere ne denir?
|
Devamlı Anüiteler |
|
Normal Anüiteler |
|
Peşin Anüiteler |
|
Geciktirilmiş Anüiteler |
|
Daimi Anüiteler |
Her bir devrenin ödemesinin o devrenin sonunda yapıldığı, ödemelerin eşit aralıklarla ve eşit miktarlı olarak yapıldığı anüitelere “Normal Anüiteler” denir.
10.Soru
Bir işadamı bankadan kullandığı 45.000 lira krediyi 60 gün sonra faizi ile birlikte geri ödeyecektir. Faiz oranı %20 ise işadamının geri ödemesi gereken parayı hesaplayınız.
|
46200
|
|
45900
|
|
45500
|
|
46500
|
|
48000
|
11.Soru
Orantılı çokluklardan biri artarken diğeri azalırsa veya biri azalırken diğeri artarsa bu çokluklara ne denir?
|
Bileşik orantı |
|
Ters orantı |
|
Doğru orantı |
|
Orantı |
|
Oran |
Orantılı çokluklardan biri artarken diğeri azalırsa veya biri azalırken diğeri artarsa bu çokluklara Ters orantı denir.
12.Soru
12 ay vadeli, 50.000 TL nominal değerli bir senet vadesine 8 ay kala aylık %4 iskonto oranı ile iskonto ettirilmiştir. Dış iskonto yöntemine göre senedin peşin değeri aşağıdakilerden hangisidir?
|
8.000
|
|
16.000
|
|
24.000
|
|
34.000
|
|
42.000
|
13.Soru
Bir miktar paranın sadece bir dönem faizlendirilmesine ne ad verilir?
|
Bileşik faiz |
|
Anüite |
|
Faiz |
|
Paranın zaman değeri |
|
Basit faiz |
Bir miktar paranın sadece bir dönem faizlendirilmesine basit faiz adı verilir. Bir dönemden kastedilen bir gün, bir hafta, bir ay veya bir yıl olabilir.
14.Soru
Her yıl başında peşin anüite olarak yatırılan 7.000TL’nin %8 yıllık faiz oranı üzerinden 5 yıl sonundaki değeri aşağıdakilerden hangisidir?
|
37.800
|
|
39.125,69
|
|
44.351,50
|
|
47.293
|
|
51.678,12
|
15.Soru
On sekiz ay sonunda ödenecek 50000 lira her ay sonunda eşit taksitlerle ödenecektir. Aylık faiz oranı %1,5 olduğuna göre aylık taksit kaç lira olur?
|
2255,87 |
|
2354,76 |
|
2442,99 |
|
2567,90 |
|
2654,65 |
16.Soru
6.000 lira %8 faizle 2 yıl için bankaya yatırılmıştır. Bileşik faiz uygulanırsa baliğ ne olur?
|
6.264,50
|
|
6.365
|
|
6.998,40
|
|
7.148
|
|
7.859,20
|
17.Soru
Bir tüccar 96.000 TL parasını yıllık mevduat hesabına yatırmıştır. Bankanın verdiği faiz oranı yıllık 12.80 olduğuna göre, bu tüccarın bir yıl sonunda eline geçecek toplam para ne kadardır ?
|
108.288
|
|
108.108
|
|
108.208
|
|
108.188
|
|
108.088
|
18.Soru
Bir fabrikanın 3 ortağı vardır. Fabrika 46.000 TL kâr elde etmiştir. Elde edilen kârın birinci ortağın ikinci ortağa kâr oranı 1/3, ikinci ortağın üçüncü ortağa kâr oranı 2/5 olacak şekilde ortaklar paylaştırılırsa birinci ortağın kâr payı ne kadardır?
|
4.000 |
|
6.000 |
|
8.000 |
|
14.000 |
|
18.000 |
Birinci, ikinci ve üçüncü ortağı sırasıyla x, y ve z ile gösterelim.
Buna göre ortakların kar payları sırasıyla 2, 6, 15 sayıları ile orantılı olacaktır. Yani,
x = 2k y = 6k z = 15k
x + y + z = 46.000
23 k = 46.000
k = 2.000
x = 2k = 4.000
Buna göre birinci ortağın kâr payı 4.000 TL bulunur.
19.Soru
Üç aylık faizle 6 yıllığına bir bankaya yatırılan ? 8000 dönem sonunda ? 16000 'ye ulaşmıştır . Bu işlemde uygulanan faiz oranı nedir?
|
% 0,3
|
|
% 0,2
|
|
% 0,5
|
|
% 0,8
|
|
% 0 ,9
|
20.Soru
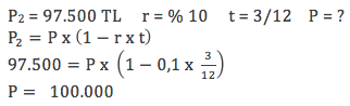
Bir iş adamı bankadan 3 ay vadeli kredi kullanmıştır. Banka faiz kesintisi yaptıktan sonra iş adamına 97.500 TL ödemiştir. Eğer banka % 10 oranında faiz uyguladığına göre iş adamı kaç TL’lik kredi almıştır?
|
98.500 |
|
99.000 |
|
99.500 |
|
100.000 |
|
100.500 |
Buna göre iş adamının aldığı kredi miktarı 100.000 TL olarak bulunur.
-
- 1.SORU ÇÖZÜLMEDİ
- 2.SORU ÇÖZÜLMEDİ
- 3.SORU ÇÖZÜLMEDİ
- 4.SORU ÇÖZÜLMEDİ
- 5.SORU ÇÖZÜLMEDİ
- 6.SORU ÇÖZÜLMEDİ
- 7.SORU ÇÖZÜLMEDİ
- 8.SORU ÇÖZÜLMEDİ
- 9.SORU ÇÖZÜLMEDİ
- 10.SORU ÇÖZÜLMEDİ
- 11.SORU ÇÖZÜLMEDİ
- 12.SORU ÇÖZÜLMEDİ
- 13.SORU ÇÖZÜLMEDİ
- 14.SORU ÇÖZÜLMEDİ
- 15.SORU ÇÖZÜLMEDİ
- 16.SORU ÇÖZÜLMEDİ
- 17.SORU ÇÖZÜLMEDİ
- 18.SORU ÇÖZÜLMEDİ
- 19.SORU ÇÖZÜLMEDİ
- 20.SORU ÇÖZÜLMEDİ