Finans Matematiği Ara 18. Deneme Sınavı
Toplam 20 Soru1.Soru
Bir makine 5 saatte 300 kutu üretiyorsa 120 saatte kaç kutu üretir?
|
8400
|
|
5300
|
|
7200
|
|
8400
|
|
6500
|
2.Soru
Yedi ay sonra ödenmesi gereken 72.571 liralık borç her ay sonunda ödenecek eşit taksitlerle kapatılmak istenirse, aylık %12 faiz oranı üzerinden aylık taksitler kaç lira olur?
|
5.000
|
|
8523,6
|
|
7.193,07
|
|
22.375
|
|
31.278.12
|
3.Soru
Piyasadaki faiz oranı % 10, enflasyon oranı %5 ise reel faiz oranı yaklaşık % kaç olur?
|
17
|
|
27
|
|
37
|
|
47
|
|
57
|
4.Soru
Nominal faiz oranı %20 iken bir bankada 6 ay vadeli olarak hesap açılırsa yıllık efektif faiz oranı yüzde kaçtır?
|
20,65 |
|
21,74 |
|
21,97 |
|
22,01 |
|
22,54 |
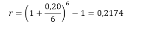
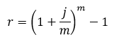
Faiz oranları yıllık olarak verilir. Yıllık cari faiz oranına nominal yıllık faiz denir. Yıl içinde birden fazla faizlendirme yapılırsa yıllık efektif faiz oranı elde edilir. Yıllık efektif faiz yıllık nominal faizden büyük olur. Buna göre, j nominal faiz, m faizlendirme sıklığı ve r efektif faiz olmak üzere,
şeklinde hesaplanır. j=0,20 , m=6
bulunur. Yani %21,74
5.Soru
Bir kişi yıllık %15 bileşik faizle 3 yıllığına 10.000tl para yatırmıştır. 3 senenin sonunda yatırılan para kaç liraya ulaşır?
|
12.345 |
|
15.208 |
|
15.409 |
|
13.340 |
|
14.450 |
Faizlendirme yılda bir defa yapıldığına göre 3 senenin sonunda yatırılan para,
eşitliğine göre;
6.Soru
Piyasadaki faiz oranı %20, enflasyon oranı %12 ise, reel faiz oranı yaklaşık olarak ne olur?
|
0,06
|
|
0,07
|
|
0,08
|
|
0,09
|
|
0,095
|
7.Soru
8000 TL aylığına 6 faiz oranı olan bankaya yatırılırsa altıncı ayın sonunda kaç TL sı olur?
|
3435 |
|
5420 |
|
6530 |
|
7240 |
|
8360 |
8.Soru
Yavuz biriktirdiği 20.000 TL’yi bir bankaya %12 faiz oranı üzerinden iki yıllığına yatırmıştır. İki yılın sonunda Yavuz’un birikimi ne kadar olur?
|
22.400 |
|
26.000 |
|
22.800 |
|
24.000 |
|
24.800 |
Süre sonunda hesaplanan faizin anaparaya eklenmesiyle baliğe ulaşılır. Baliğ, anapara ve faiz tutarının toplamını ifade etmektedir. Dönem sonundaki (anapara+faiz tutarı) aşağıdaki gibi hesaplanır: S=P*(1+r*t) P=20.000 r=%12 t=2
S=20.000*(1+0,12*2)= 24.800 TL
9.Soru
Bankadan alınan 4 yıl vadeli bir borç yıllık %5 faiz üzerinden her yıl yatırılan 469 liralık eşit taksitlerle amorti edilmiştir. Borcun vade değeri ne kadardır?
|
2.017 |
|
2.018 |
|
2.019 |
|
2.020 |
|
2.021 |
Verilen değerleri “Normal Anünitelerde Gelecek Değerin Hesaplanması” formülünde yerine koyarsak
10.Soru
Bir emekli 3 ayda bir aldığı 6000 tl’nin üçte birini bankaya yatırmaktadır. Yıllık faiz oranı %8 olduğuna göre 6 yıl sonra ne kadar para birikir?
|
60.844 |
|
55.847 |
|
69.542 |
|
59.874 |
|
61.542 |
Burada a=2000’dir. i değerini hesaplarken ise yılda 4 defa faiz uygulandığını dikkate almalıyız dolayısıyla i=0.08/4=0,02 olarak hesaplanır. n ise 4x6=24 olarak hesaplanır. Bu değerleri formülde yerlerine koyduğumuzda
11.Soru
Bir işadamı 72 günlüğüne kullandığı kredi için bankaya 840 lira faiz ödemiştir. Faiz oranı %15 ise işadamının bankadan kullandığı kredi kaç liradır?
|
18.000
|
|
28.000
|
|
30.000
|
|
38.000
|
|
40.000
|
12.Soru
Bir kişi ? 30.000 değerinde bir araba almak istemektedir. Her ay kazancının ? 3.125 'sını bu amaç için aylık % 1,6 faizle bir bankaya yatırmaktadır. Bu tasarrufa kaç ay devam etmelidir?
|
11
|
|
9
|
|
8
|
|
6
|
|
5
|
13.Soru
Aşağıdakilerden hangisi finansal varlıklara yatırımlarda yatırımcı tarafından elde edilen geliri ifade eder?
|
Faiz
|
|
Rant
|
|
Ücret
|
|
Komisyon
|
|
Kira
|
14.Soru
75 km bir yol 15 günde onarılırsa 30 km yol kaç günde onarılır?
|
4 |
|
5 |
|
6 |
|
7 |
|
8 |
75 km yol 15 gün
30 km yol x gün
15.Soru
20.000 liranın %10 faizle ve sürekli bileşik faizle 4 yıl sonraki değeri ne olur?
|
26546.72
|
|
27456.35
|
|
28756.45
|
|
29836.49
|
|
29946.56
|
16.Soru
Aşağıdakilerden hangisi anüitelerin özelliklerinden biri değildir?
|
Anüitede ödeme zaman aralıkları eşittir. |
|
Anüitelerde genellikle ödemelerin büyüklüğü de eşittir. |
|
Maaş ödemeleri, kredi ödemeleri anüiteye örnek teşkil eder. |
|
Anüitenin dönemi, ilk ödemenin yapılacağı devrenin başından son ödemenin yapılacağı devrenin sonuna kadar olan süredir. |
|
Anüite genellikle kısa vadeli işlemlerde kullanılır. |
Anüiteler genellikle kısa vadeli işlemlerde kullanılmaz.Bu seçenek daha çok basit faizin bir özelliğidir. Anüite eşit zaman aralıklarıyla tekrarlanan eşit miktarlı ödemeler serisidir.
17.Soru
Bir işletmenin 10 yıl sonra ödenmesi gereken borcu için her yıl sonunda bankaya ?5.000 yatırması gerekmektedir. Faiz oranı % 9 ise bu işletmenin 10 yıl sonunda biriken parası ne kadardır?
|
75.964 |
|
73.895 |
|
77.678 |
|
79.985 |
|
75.465 |
Hesaplamada kullanacağımız formül şu şekildedir:
a=5000 n=10 i=%9 ise S=?
Değerleri formülde yerine koyduğumuzda S=75.964 olarak bulunur.
18.Soru
Yıllık nominal faiz oranı %10 ve dört ayda bir faizlendirme yapılıyorsa, yıllık efektif faiz oranı nedir?
|
%11,5
|
|
%10,6
|
|
%10,5
|
|
%11
|
|
%10,38
|
19.Soru
Maliyeti 4000 lira bir ürün belli bir kar oranı ile 4500 liraya satılmıştır. Buna göre kar oranı yüzde kaçtır?
|
10 |
|
11,5 |
|
12,5 |
|
13 |
|
13,5 |
M maliyeti, F satış tutarını ve Y yüzde değerini göstermek üzere malın satış fiyatı
F=M.(1+Y)
formülü ile bulunur. M=4000 Y=? ve F=4500
4500=4000(1+Y)
bulunur. Kar oranı %12,5 bulunur.
20.Soru
Aşağıdakilerden hangisi 11.000 TL’nin %1,5 bileşik faiz ile 2 yıl sonunda ulaşacağı yaklaşık değerdir?
|
11332
|
|
12111
|
|
13211
|
|
12121
|
|
11131
|
-
- 1.SORU ÇÖZÜLMEDİ
- 2.SORU ÇÖZÜLMEDİ
- 3.SORU ÇÖZÜLMEDİ
- 4.SORU ÇÖZÜLMEDİ
- 5.SORU ÇÖZÜLMEDİ
- 6.SORU ÇÖZÜLMEDİ
- 7.SORU ÇÖZÜLMEDİ
- 8.SORU ÇÖZÜLMEDİ
- 9.SORU ÇÖZÜLMEDİ
- 10.SORU ÇÖZÜLMEDİ
- 11.SORU ÇÖZÜLMEDİ
- 12.SORU ÇÖZÜLMEDİ
- 13.SORU ÇÖZÜLMEDİ
- 14.SORU ÇÖZÜLMEDİ
- 15.SORU ÇÖZÜLMEDİ
- 16.SORU ÇÖZÜLMEDİ
- 17.SORU ÇÖZÜLMEDİ
- 18.SORU ÇÖZÜLMEDİ
- 19.SORU ÇÖZÜLMEDİ
- 20.SORU ÇÖZÜLMEDİ