Finans Matematiği Ara 2. Deneme Sınavı
Toplam 20 Soru1.Soru
Aylık taksitleri 250 TLolan bir buzdolabının taksitleri her ay başında değil de yıl sonunda topluca ödenecek olursa hangi tutar ödenmelidir? Aylık faiz oranı %2’dir.
|
3.000
|
|
3.420,08
|
|
4000
|
|
4.866,35
|
|
5.050
|
2.Soru
Üç kardeş babalarından kalan 81 dönümlük tarlayı sahip oldukları çocuk sayısına göre orantılı olarak paylaşacaktır. Birinci kardeşin 2, ikinci kardeşin 3, üçüncü kardeşin ise 4 çocuğu varsa kardeşlerin alacakları pay aşağıdakilerden hangisinde sırasıyla doğru olarak verilmiştir?
|
27 – 36 – 18 |
|
36 – 27 – 18 |
|
27 – 18 – 36 |
|
18 – 27 – 36 |
|
18 – 36 – 27 |
Her bir kardeş çocuk sayıları ile orantılı pay alacağından birinci kardeşin 2 pay, ikinci kardeşin 3 pay ve üçüncü kardeşin 4 pay alması gerekmektedir. Bu durumda üç kardeşin alacağı toplam pay;
2 + 3 + 4 = 9 pay olur. Paylaşılacak tarlanın büyüklüğü 81 dönüm olduğundan,
bulunur. Böylece bir paya karşılık gelen dönüm miktarı 9 olarak bulunur. Böylece;
Birinci kardeş = 2 pay = 2 x 9 = 18 dönüm
İkinci kardeş = 3 pay = 3 x 9 = 27 dönüm
Üçüncü kardeş = 4 pay = 4 x 9 = 36 dönüm pay alır.
3.Soru
Satış fiyatı 350 olan bir mal %10 indirime girmiştir. Bir süre sonra indirimli fiyatı üzerinden %20 daha indirim yapılmıştır. İkinci indirimden sonra malın satış fiyatı kaç TL olur?
|
125 |
|
140 |
|
180 |
|
210 |
|
252 |
Birinci indirimli fiyat= 350 – (350 x 0,10) = 350 - 35 =315 TL bulunur.
İkinci indirimli fiyat = 315 – (315 x 0,20) = 315 – 63 = 252
O halde ikinci indirimden sonra malın satış fiyatı 252 TL bulunur.
4.Soru
5 yıl sonra 150.000 tl ödenecek şekilde alınan ev kredisi yerine 4 aylık dönemler ve %6 faiz oranı ile bugün hangi ödeme yapılmalıdır?
|
111.452 |
|
110.564 |
|
112.453 |
|
114.350 |
|
114.350 |
n=5*3=15, i=%2 (yıldaki devre sayısı 3 olduğundan yıllık faiz oranı 3’e bölünür)
5.Soru
Yüzde tutarını hesaplamak için aşağıdaki eşitliklerden hangisi kullanılır?
|
T= AxY
|
|
T= A/Y
|
|
T-1 = A+Y
|
|
T+1 = A-Y
|
|
T= A+Y
|
6.Soru
6000 metreküp hacimli tam dolu bir havuzun önce %25’i sonra da geriye kalanın %20’si boşaltıldıktan sonra havuzda kaç metreküp su kalır?
|
3600
|
|
3800
|
|
4000
|
|
4500
|
|
4800
|
7.Soru
Ezgi, biriktirdiği 7.000 lira ile üç yıllık mevduat hesabı açtırmıştır. Faiz oranı %10 ise süre sonunda Ezgi’nin birikimi kaç liraya ulaşır?
|
9100
|
|
10500
|
|
10000
|
|
8500
|
|
9000
|
8.Soru
Bir fabrika 3 yıl vadeli borcu %12 faiz oranı ile 6000 eşit taksitlerle bankaya ödeyecektir. Fakat taksitlerle değil de 3 yıl sonunda tek seferde ödeme yapılırsa miktarı ne olur?
|
12,240 |
|
14,180 |
|
16,120 |
|
18,204 |
|
20,264 |
9.Soru
Bir esnaf satın aldığı fasulyede %6 oranında 60 kg taş çıkmıştır. Esnafın satın aldığı fasulye kaç kg’dır?
|
1.000 |
|
2.000 |
|
3.000 |
|
4.000 |
|
5.000 |
T= 60 kg taş Y=%6 A=?
6 kg taş 100 kg fasulyede
60 kg taş x kg
T= A x Y
A= 1.000 kg bulunur.
10.Soru
Basit faiz tanımı aşağıdakilerden hangisinde verilmiştir?
|
Bir miktar paranın sadece bir dönem faizlendirilmesidir.
|
|
Fiyat indirme, bir değeri vadesinden önce paraya dönüştürme demektir.
|
|
Faizlendirme günündeki değerdir.
|
|
Anaparanın vade değeri üzerinden iskonto edilmesidir.
|
|
Kullanılan para üzerinden hesaplanmış değerdir.
|
11.Soru
12000'in %11'i kaçtır?
|
2470
|
|
1320
|
|
1780
|
|
2120
|
|
1380
|
12.Soru
Faiz taşımayan ve ? 5000 nominal değerli bir bono 4 yıl vadelidir. Bu bono yıllık % 4 faizden 6 şar aylık devreler itibarıyla iskonto edilirse iskonto miktarı ne olur?
|
720,54
|
|
725,54
|
|
730,54
|
|
731,54
|
|
732,54
|
13.Soru
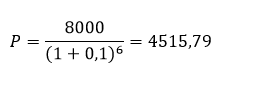
Bir bankaya yıllık %10 bileşik faizle yatırılan bir miktar paranın 6 yıl sonunda 8000 lira olması için başlangıçta kaç lira yatırılmalıdır?
|
4300,60 |
|
4345,65 |
|
4515,79 |
|
4654,67 |
|
4890,12 |
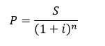
P bugünkü değer, S gelecekteki değer, i faiz oranı ve n devre olmak üzere bugünkü değer, şeklinde hesaplanır. Buna göre,
bulunur.
14.Soru
Bir tüccar, satın aldığı nohuttan %2 oranında 5 kg. taş ayırmıştır. Tüccarın satın aldığı nohut kaç kg’dır?
|
450
|
|
200
|
|
250
|
|
500
|
|
300
|
15.Soru
Aylık ortalama enflasyon oranı %1,5 olduğuna 6 aylık enflasyon oranı yüzde kaçtır?
|
8,24 |
|
8,51 |
|
9,16 |
|
9,20 |
|
9,34 |
Aylık enflasyon oranı verildiğinde yıllık enflasyon oranı
şeklinde bulunur. 6 aylık hesaplamada yıl yerine 6 değeri alınır. Buna göre
olur. O halde altı aylık enflasyon oranı %9,34 dür.
16.Soru
Bir kişi 3 yıl sonra ödenmesi gereken ? 30.000' lık borcunu her yılın (devre) başında taksitle ödemek istemektedir. Yıllık faiz oranı % 9 ise her devre başında ödenecek eşit taksitler kaç ? olur?
|
8100
|
|
8250
|
|
8300
|
|
8396
|
|
8416
|
17.Soru
Özge elindeki 70000 TL sını 5 yıllığına %9 faiz oranı olan bankaya yatırıyor. Özgenin parası beşinci yılın sonunda kaç TL olur?
|
8740 |
|
9340 |
|
10850 |
|
12450 |
|
14530 |
18.Soru
12 ay vadeli 15.000TL nominal değerli bir senet düzenlendikten 5 ay sonra iskonto ettirilmiştir. İskonto oranı %7 ise ele geçecek para aşağıdakilerden hangisidir?
|
9.265
|
|
11.732
|
|
12.897
|
|
13.546
|
|
14.411
|
19.Soru
Piyasadaki faiz oranı %15 enflasyon oranı % 9 ise reel faiz oranı nedir?
|
%8
|
|
%7
|
|
%6
|
|
%5
|
|
%4
|
20.Soru
4 yıllık vadeye sahip yıllık faiz oranı % 12 olan 50.000 TL’lik bir borç senedi yıllık vadenin dolmasına üç yıl kala % 16 faizle iskonto ettirilmiştir. Bunun sonucunda ele geçen para ne kaç TL olur?
|
49.567,33 |
|
49.765,09 |
|
50.404,36 |
|
51.874,76 |
|
51.653,98 |
İlk olarak senedin vade değerini bulalım, Senedin vade değeri = 50.000 x (1 + 0,12)4 = 78.675,97 TL bulunur.
İkinci olarak senedin iskonto günündeki değerini bulalım,
S = 78.675,97 TL i = % 16 n = 3 Pi = ?
-
- 1.SORU ÇÖZÜLMEDİ
- 2.SORU ÇÖZÜLMEDİ
- 3.SORU ÇÖZÜLMEDİ
- 4.SORU ÇÖZÜLMEDİ
- 5.SORU ÇÖZÜLMEDİ
- 6.SORU ÇÖZÜLMEDİ
- 7.SORU ÇÖZÜLMEDİ
- 8.SORU ÇÖZÜLMEDİ
- 9.SORU ÇÖZÜLMEDİ
- 10.SORU ÇÖZÜLMEDİ
- 11.SORU ÇÖZÜLMEDİ
- 12.SORU ÇÖZÜLMEDİ
- 13.SORU ÇÖZÜLMEDİ
- 14.SORU ÇÖZÜLMEDİ
- 15.SORU ÇÖZÜLMEDİ
- 16.SORU ÇÖZÜLMEDİ
- 17.SORU ÇÖZÜLMEDİ
- 18.SORU ÇÖZÜLMEDİ
- 19.SORU ÇÖZÜLMEDİ
- 20.SORU ÇÖZÜLMEDİ