Finans Matematiği Ara 3. Deneme Sınavı
Toplam 20 Soru1.Soru
Aynı cinsten iki kıymetin birbirinin diğerine bölünmesinden elde edilen sonuca ne ad verilir?
|
Dış yüzde hesapları
|
|
İç yüzde hesapları
|
|
Oran
|
|
Yüzde
|
|
Binde
|
2.Soru
8.000 lira, yıllık %9 faizle bileşik faize bankaya yatırılmışsa 2. sene sonundaki değeri ne olur?
|
9.105,30
|
|
9.281,60
|
|
9,362,50
|
|
9,415,40
|
|
9.504,80
|
3.Soru
Yaş sabunun ağırlığı 400 gr dır.Sabun kuruduktan sonra % 4 fire vermektedir. sabunun kuru ağırlığı nedir?
|
372
|
|
376
|
|
380
|
|
384
|
|
390
|
4.Soru
Her yılın sonunda bir kişi bankaya 6500 TL para yatırıyor. Faiz oranı %7 olduğuna göre 8. Yılın sonunda ne kadar para biriktirir?
|
44,340 |
|
66,688 |
|
72,480 |
|
81,320 |
|
85,330 |
5.Soru
?4.000 aylık faizde değerlendirilerek 5 yıllığına bankaya yatırılmıştır. Aylık faiz oranı %1.5 ise biriken parayı bulunuz?
|
8.770 |
|
9.250 |
|
8.370 |
|
8.980 |
|
9.773 |
Devre faiz oranı = Yıllık nominal faiz oranı / yıldaki devre sayısı (faizlendirme sıklığı). Faiz oranı aylık verildiği için devre faiz oranı da %1.5 olarak aynen kalır.
S=P(1+i)n P=4.000 i= %1.5 S=4.000(1+0,015)5x12
S= ?9.773
6.Soru
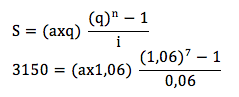
Başak hanım ziynet eşyalarını saklamak için bankadan 7 yıllığına kasa kiralamıştır. Başak Hanım kasanın 7 yıllık toplam kirası olan 3150 TL’yi her yılın başında ödenecek eşit taksitlerle kapatmak istemektedir. Faiz oranı % 6 ise her yılın başında ödenecek eşit taksitler kaç TL olur?
|
350,36 |
|
354,03 |
|
354,65 |
|
356,47 |
|
356,87 |
S = 3150 TL i = % 6 (0.06)
q = 1,06 (1 + 0,06) n = 7 a = ?
a = 354,03 TL bulunur.
7.Soru
Piyasadaki faiz oranı %16, enflasyon oranı %11 ise reel faiz oranı ne olur?
|
% 2,5 |
|
%3 |
|
%3,5 |
|
%4 |
|
% 4,5 |
Faiz oranı denildiğinde nominal faiz oranı anlaşıldığından,
formülünü kullanalım.
O halde reel faiz oranı 0,045 yani %4,5 olarak bulunur.
8.Soru
Aşağıdakilerden hangisi ilk ödemesi ilk faiz devresinin bitiminde değil, bir ya da daha fazla devre geçtikten sonra herhangi bir zamanda yapılan anüitelerdir?
|
Peşin Anüiteler
|
|
Normal Anüiteler
|
|
Geciktirilmiş Anüiteler
|
|
Çabuklaştırılmış Anüiteler
|
|
Daimi (Devamlı) Anüiteler
|
9.Soru
Ali, biriktirdiği 5.000 Türk Lirası ile 2 yıllık mevduat hesabı açtırmıştır. Faiz oranı %12,5 ise süre sonunda Ali’nin birikimi kaç Türk Lirası olur?
|
5 500
|
|
5 700
|
|
6 250
|
|
6 500
|
|
6 750
|
10.Soru
12.000 tl yıllık %10 faiz oranı ile bankaya yatırılımıştır. 3 ay sonra kazanılan faiz tutarı ne olur?
|
100 |
|
200 |
|
300 |
|
500 |
|
1000 |
olduğuna göre,
olur.
11.Soru
Bir malın üretim maliyeti 8000 liradır. Malın bir başka yere ulaşım maliyeti 300 lira olduğuna göre ulaşım maliyetinin toplam maliyet içindeki oranı yüzde kaçtır?
|
3,25 |
|
3,5 |
|
3,75 |
|
4,25 |
|
4,5 |
Ulaşım maliyetinin toplam maliyete oranı hesaplanırsa ulaşım maliyetinin toplam maliyet içindeki yüzde değeri bulunur.
Yani %3,75 dir
12.Soru
Yıllık nominal faiz oranı %10 ve dört ayda bir faizlendirme yapılıyor ise yıllık efektif faiz oranı yaklaşık ne olur?
|
0.103
|
|
0.133
|
|
0.131
|
|
0.331
|
|
0.313
|
13.Soru
Yıllık nominal faiz oranı ve yıllık faizlendirme sıklığı verilirse devre faiz oranı nasıl hesaplanır?
|
Devre faiz oranı= Yıllık nominal faiz oranı - Yıldaki faizlendirme sıklığı |
|
Devre faiz oranı= Yıllık nominal faiz oranı +Yıldaki faizlendirme sıklığı |
|
Devre faiz oranı= Yıllık nominal faiz oranı x Yıldaki faizlendirme sıklığı |
|
Devre faiz oranı= Yıllık nominal faiz oranı / Yıldaki faizlendirme sıklığı |
|
Devre faiz oranı=( Yıllık nominal faiz oranı + Yıldaki faizlendirme sıklığı)*2 |
Faiz hesaplarında, devre uzunluğu ile faiz oranının uyumlu olması gerekir. Örneğin yılda iki defa faizlendirme yapılırsa, yıllık faiz oranı 2'ye bölünerek devre faiz oranı bulunur. Buna göre genel olarak devre faiz oranı,
Devre faiz oranı= Yıllık nominal faiz oranı / Yıldaki faizlendirme sıklığı
şeklinde hesaplanır.
14.Soru
2 işçi bir işi 9 saatte bitiyorsa, 6 işçi aynı işi kaç saatte yapar?
|
3 |
|
4 |
|
5 |
|
6 |
|
7 |
Biri artarken diğeri de aynı oranda azalıyorsa veya biri azalırken diğeri de aynı oranda artıyorsa bu çokluklar ters orantılıdır? 2 ile 9 , 6 ile x çarpılır.
2 işçi 9 saat
6 işçi x saat
2.9=6.x
bulunur.
15.Soru
Bir kişi 6 yıl boyunca her yıl sonunda bir bankaya 10.000 lira yatırmaktadır. Faiz oranı %8 ise beş yıl sonunda ne kadar parası birikmiş olur?
|
32.761
|
|
48.555
|
|
58.666
|
|
66.587
|
|
96.661
|
16.Soru
Bir kişi 1600 TL biriktirmek istiyor. Bunun için 80 TL taksitlerle aylık %1,2 faiz oranı ile bankaya yatırıyor. Buna göre istenen para kaç ayda birikir?
|
16 |
|
17 |
|
18 |
|
19 |
|
20 |
17.Soru
? 2.000 yıllık %10 faizle değerlendirilmek üzere 3 yıllığına bankaya yatırılmıştır. 3. sene sonundaki değeri ne olur?
|
2.300 |
|
2.840 |
|
2.434 |
|
2.662 |
|
2.250 |
Bileşik faizde, devre sayısı az olduğunda, her devrenin faizi basit faizle hesaplanabilir. Fakat devre sayısı –30, 40, 100 gibi- arttıkça bu şekilde hesaplama yapmak zorlaşır. Bu durumda bileşik faizin kolaylıkla hesaplanacağı formüllerin kullanılması gerekecektir.
S=P(1+i)n
P = Anapara Başlangıç Sermayesi
i = Devre ya da dönem faiz oranı
n = Devre ya da dönem sayısı
S = Nihai sermaye, Baliğ, Sermayenin gelecekteki değeri
S=2000(1+0,10)3 S=?2.662
18.Soru
Nedim Bey %4 faizle bankaya 8000 TL yatırmış ve 180 TL faiz geliri elde etmiştir. Para bankaya kaç günlüğüne yatırılmıştır?
|
70 |
|
90 |
|
205 |
|
225 |
|
240 |
19.Soru
8500 TL yıllık %7 faizle bileşik faize yatırılmıştır. 3. sene sonundaki değeri ne olur?
|
9675.18 |
|
9187.82 |
|
8064.43 |
|
7563.32 |
|
6472.11 |
20.Soru
Yıllık %12 bileşik faizle bankaya yatırılan 5000 lira 3 yıl sonra kaç lira olur?
|
6800,24 |
|
6912,64 |
|
7024,64 |
|
7100,54 |
|
7225,40 |
P anapara, i faiz oranı (devre veya dönem) , n devre ve S sermayenin gelecekteki ulaşacağı miktar olmak üzere,
olur.
-
- 1.SORU ÇÖZÜLMEDİ
- 2.SORU ÇÖZÜLMEDİ
- 3.SORU ÇÖZÜLMEDİ
- 4.SORU ÇÖZÜLMEDİ
- 5.SORU ÇÖZÜLMEDİ
- 6.SORU ÇÖZÜLMEDİ
- 7.SORU ÇÖZÜLMEDİ
- 8.SORU ÇÖZÜLMEDİ
- 9.SORU ÇÖZÜLMEDİ
- 10.SORU ÇÖZÜLMEDİ
- 11.SORU ÇÖZÜLMEDİ
- 12.SORU ÇÖZÜLMEDİ
- 13.SORU ÇÖZÜLMEDİ
- 14.SORU ÇÖZÜLMEDİ
- 15.SORU ÇÖZÜLMEDİ
- 16.SORU ÇÖZÜLMEDİ
- 17.SORU ÇÖZÜLMEDİ
- 18.SORU ÇÖZÜLMEDİ
- 19.SORU ÇÖZÜLMEDİ
- 20.SORU ÇÖZÜLMEDİ