Finans Matematiği Ara 9. Deneme Sınavı
Toplam 20 Soru1.Soru
Bir öğrenci, 350 sayfalık bir kitabın %40’ını okumuşsa, geriye kaç sayfa kalmıştır?
|
180 |
|
140 |
|
150 |
|
110 |
|
210 |
Öncelikle 350 nin yüzde kırkını bulup bulduğumuz sayıyı 350 den çıkarmalıyız. O halde, 350*40/100=140 350-140=210
2.Soru
Sahip olduğu 2500 TL’yi bir yıllık mevduata yatıran bir kişi, faiz oranı %6 ise bir yılın sonunda ne kadar faiz elde eder?
|
150
|
|
200
|
|
250
|
|
180
|
|
240
|
3.Soru
Yıllık nominal faiz oranı % 9 ise ve 3 aylık faizlendirme yapılıyorsa yıllık efektif faiz oranı nedir ?
|
% 9
|
|
%9,1
|
|
%9,2
|
|
% 9,3
|
|
%9,5
|
4.Soru
İmtiyazlı hisse kar payları, arsa kiraları ve bankaya yatırılan bir paradan anaparaya dokunmadan her dönem sürekli alınan faizler hangi anüiteye örnek olarak verilebilir?
|
Normal Anüite
|
|
Peşin Anüite
|
|
Geciktirilmiş Anüite
|
|
Değişen Taksitli Anüite
|
|
Daimi Anüite
|
5.Soru
Her devre başında bir mevduat hesabına 6000 TL yatırılmak üzere lik devre %7 faiz oranı üzerinden 5 devre sonunda mevduatın değeri kaç TL olur?
|
32,420 |
|
36,919 |
|
38,414 |
|
42,424 |
|
48,420 |
6.Soru
Enflasyonun yatırım getirisi üzerindeki etkisinin net olarak görülebilmesi için enflasyondan arındırılmış faiz oranı anlamına gelen hangi faiz oranı hesaplanmalıdır?
|
Bileşik faiz oranı
|
|
Reel faiz oranı
|
|
Nominal faiz oranı
|
|
Basit faiz oranı
|
|
Yıllık efektif faiz oranı
|
7.Soru
Bir işletme bankadan aldığı faiz oranı %18 olan 216 gün vadeli 75.000TL’lik krediyi vade sonunda faizi ile birlikte ne kadar geri ödeyecektir?
|
83.100
|
|
88.500
|
|
97.200
|
|
123.980
|
|
162.000
|
8.Soru
Bir bankaya %5 faiz oranıyla bir miktar para 1 yıllığına yatırılmıştır. Süre sonunda paranın ulaştığı miktar 6000 lira olduğuna göre başlangıçta bankaya kaç lira yatırılmıştır?
|
5300,28 |
|
5400,35 |
|
5514,28 |
|
5605,37 |
|
5714,28 |
Süre sonunda faizin anapara eklenmesiyle baliğe ulaşılır. Baliğ, anapara ve faiz tutarının toplanmasıyla elde edilir. Buna baliğ,
S=Anapara+faiz tutarı , P=Anapara, r=Faiz oranı ve t=Süre olmak üzere
S=P (1+r.t) şeklinde yazılır. Bu problemde anapara P sorulmaktadır. Buradan,
elde edilir.
9.Soru
Her gün harçlığından ? 5’sini harcamayıp bankaya yatırması için babasına veren bir çocuğun aylık %2 faiz oranı üzerinden 10 yıl sonunda bankada biriken parası ne kadardır?
|
79.890 |
|
73.238 |
|
67.840 |
|
84.973 |
|
54.778 |
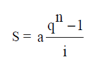
S=Anüitenin gelecek değerini
a= eşit ödemeleri i= devre faiz oranını n=devre sayısını göstermekte iken fomülümüz şu şekildedir:
a=5 i=%2 n=10 yıl ise değerleri yerine koyduğumuzda S=73.238 olarak bulunur.
10.Soru
Bir iş adamının 4 yıl sonra ödemek üzere çektiği 100.000 TL’lik kredi ilk 2 yıl % 12’den, sonraki 2 yılda ise % 10’dan faizlendirilmiştir. İş adamı 4 yıl sonra kaç TL ödeyecektir?
|
145.539,4 |
|
147.672,2 |
|
149.456,4 |
|
150.167,2 |
|
151.782,4 |
İş adamı 4 yılın sonunda 151.782,4 TL ödeyecektir.
11.Soru
% 30 karla 260 TL ye satılan bir mal %20 zararla kaç liraya satılır?
|
205 |
|
180 |
|
220 |
|
140 |
|
160 |
İlk önce bu ürünün maliyetini hesaplayalım:
Bu mal %20 zararla;
M = 200 TL Y = %20
F=M x (1-Y) eşitliğinden, F=200 x (1-0,2)=160 TL’ye satılır.
12.Soru
Bir bankaya % 8 faizle 6 aylık bileşik faizle 4 yıllığına ? 18000 yatırılmıştır. Dönem sonunda para kaç ? olur?
|
24000
|
|
24600
|
|
24634
|
|
24650
|
|
24700
|
13.Soru
Piyasadaki faiz oranı %15, enflasyon oranı %10 ise reel faiz oranı ne olur?
|
%7
|
|
%5
|
|
%4,54
|
|
%6,15
|
|
%7,85
|
14.Soru
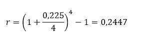
Yıllık nominal faiz oranı %22,5 olarak veriliyor. Her üç ayda bir faizlendirme yapılırsa efektif faiz oranı yüzde kaçtır?
|
24,47 |
|
25 |
|
25,2 |
|
26 |
|
26,5 |
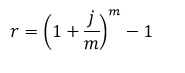
Faiz oranları yıllık olarak verilir. Yıllık cari faiz oranına nominal yıllık faiz denir. Yıl içinde birden fazla faizlendirme yapılırsa yıllık efektif faiz oranı elde edilir. Yıllık efektif faiz yıllık nominal faizden büyük olur. Buna göre, j nominal faiz, m faizlendirme sıklığı ve r efektif faiz olmak üzere,
şeklinde hesaplanır.
Yani yıllık efektif faiz %24,47 dir.
15.Soru
Bir toptancı elindeki cevizlerin kilogramını 15 TL’ye satarsa 250 TL zarar, 25 TL’ye satarsa 250 TL kâr elde etmektedir. Buna göre toptancının elinde kaç kilogram ceviz vardır?
|
30 |
|
40 |
|
50 |
|
60 |
|
70 |
Toptancı birinci durumda 250 TL zarar, ikinci durumda ise 250 TL kâr elde etmektedir. Yani iki durum arasında eline geçen paralar arasındaki fark 500 TL’dir. Cevizlerin kilogram sayısını C ile gösterirsek,
İlk durumda eline geçen para = C x 15 = 15C
İkinci durumda eline geçen para = C x 25 = 25C olur. Aradaki fark 500 TL olduğuna göre,
25C - 15C = 500
10C = 500
C = 50 kilogram olarak bulunur.
16.Soru
Bir yatırım alternatifinin sağlayacağı yıllık bileşik faiz oranına ne denir?
|
Reel Faiz |
|
Nominal Faiz |
|
Bileşik Faiz |
|
Anüite |
|
Efektif Faiz |
Bir yatırım alternatifinin sağlayacağı yıllık bileşik faiz oranına Efektif Faiz oranı denir.
17.Soru
100.000 TL nominal değerli 2 yıl vadeli kuponsuz bir tahvil piyasadan 65.000 TL’ye satın alınmaktadır. Bu tahvile yatırım yapacak yatırımcının getiri oranı ne olmalıdır?
|
%24.03 |
|
%8.47 |
|
%37,2 |
|
%18,6 |
|
%10,9 |
Vade süresi içinde herhangi bir faiz ödemesi olmayacaktır. Bu tür tahvilin getiri oranı, vade sonunda alınacak nominal değerini satın alma değerine eşitleyen iskonto oranı olacaktır.
18.Soru
Bir öğrenci okul masraflarının %45 ini kitaba %30 unu deftere vermiştir. Diğer kırtasiye giderleri içinde 100 TL ödemiştir. Öğrencinin defte ve kitap için ödediği toplam para ne kadardır.
|
600
|
|
500
|
|
400
|
|
300
|
|
200
|
19.Soru
Necla hanım, almış olduğu borca karşılık 4 ay sonra 7.210 lira ödemede bulunmuştur. Faiz oranı %9 ise Necla hanım kaç lira borç almıştır?
|
6.500
|
|
7.000
|
|
7.500
|
|
8.000
|
|
8.500
|
20.Soru
Aşağıdakilerden hangisinin hassas olmayan şekilde hesaplanmasında nominal faiz oranından enflasyon oranı çıkartılır?
|
Reel faiz oranı
|
|
Temel faiz oranı
|
|
Öz kaynak faiz oranı
|
|
Özel faiz oranı
|
|
Genel faiz oranı
|
-
- 1.SORU ÇÖZÜLMEDİ
- 2.SORU ÇÖZÜLMEDİ
- 3.SORU ÇÖZÜLMEDİ
- 4.SORU ÇÖZÜLMEDİ
- 5.SORU ÇÖZÜLMEDİ
- 6.SORU ÇÖZÜLMEDİ
- 7.SORU ÇÖZÜLMEDİ
- 8.SORU ÇÖZÜLMEDİ
- 9.SORU ÇÖZÜLMEDİ
- 10.SORU ÇÖZÜLMEDİ
- 11.SORU ÇÖZÜLMEDİ
- 12.SORU ÇÖZÜLMEDİ
- 13.SORU ÇÖZÜLMEDİ
- 14.SORU ÇÖZÜLMEDİ
- 15.SORU ÇÖZÜLMEDİ
- 16.SORU ÇÖZÜLMEDİ
- 17.SORU ÇÖZÜLMEDİ
- 18.SORU ÇÖZÜLMEDİ
- 19.SORU ÇÖZÜLMEDİ
- 20.SORU ÇÖZÜLMEDİ