Finans Matematiği Final 7. Deneme Sınavı
Toplam 20 Soru1.Soru
Nominal faiz oranı %30, enflasyon oranı %15 ise, reel faiz oranı yaklaşık yüzde kaçtır?
|
10
|
|
13
|
|
17
|
|
18
|
|
20
|
2.Soru
Bir film ekibi aylık kirası 10.000 TL olan bir villayı belli bir süre için kirası peşin 37.882 TL olarak ödenmiştir. Kullanılan aylık faiz oranı % 5 olduğuna göre villa kaç aylığına kiralanmıştır?
|
3 |
|
4 |
|
5 |
|
6 |
|
7 |
R = 37.882 TL a = 10.000 TL i = % 5 (0,05)
q = 1,05 (1 + 0,05) n = ?
3.Soru
Maliyeti 230 TL olan bir mal %17 kar ile satılmak istenmektedir. Bunun için mal yaklaşık kaç TL'ye satılmalıdır?
|
269
|
|
280
|
|
274
|
|
250
|
|
265
|
4.Soru
3 yıl sonra başlamak üzere her ay sonunda 450 liralık taksitleri 4 yıl süreyle tahsil edebilmek için %0,8 aylık faiz veren bir bankaya bugün kaç lira yatırılmalıdır?
|
10.684,5
|
|
12.732,6
|
|
13.419,4
|
|
15.216,1
|
|
18.504,7
|
5.Soru
100.000 TL’lik borç yıllık %10 faiz oranıyla 5 yılda her yıl sonunda ödenecek taksitlerle kapatılacaktır. Üçüncü ödemeye kadar olan anapara ödemesi kaç TL olur?
|
53.328,3 |
|
54.154,6 |
|
54.217,3 |
|
55.145,3 |
|
55.245,7 |
Daha önceden a = 26.379,75 TL bulunmuştu.
i = 0,1 n = 5 Buradan a1;
O halde üçüncü ödemeye kadar olan anapara ödemesi 54.217,3 TL’dir.
6.Soru
Vadesine 2 yıl kalmış %10 kupon faizli tahvilin nominal değeri 1.000 TL'dir. Yılda bir defa kupon faiz ödemesi yapılıyor ve piyasa faiz oranı %12 ise tahvilin fiyatı ne olur?
|
925,64
|
|
942,32
|
|
966,19
|
|
974,18
|
|
981,75
|
7.Soru
8 ay 30000 vadeli nominal değerli bir senet vadesine 3 ay kala %3 iskonto ile islonto ettirilmiştir. Senedin peşin değerini dış iskonto yöntemine göre değeri nedir?
|
21900 |
|
23400 |
|
26500 |
|
27300 |
|
28420 |
8.Soru
Aşağıdakilerden hangisi her dönem sonunda 15 dönem boyunca yatırılan 111.000 TL’nin %4,5 faiz oranı ile bugünkü yaklaşık değeridir?
|
1,192,089.57
|
|
1,392,089.57
|
|
1,292,089.57
|
|
1,492,089.57
|
|
1,592,089.57
|
9.Soru
Bir tahvilin nominal değeri ?1000 ve nominal faiz oranı %15 olsun. Bu tahvil piyasada ? 900'den satılırsa cari verimlilik oranı nedir?
|
% 15,1
|
|
% 16
|
|
% 16,1
|
|
% 16,6
|
|
% 15,6
|
10.Soru
2014 yılında ihraç edilmiş, nominal değeri ? 1000, %16 sabit faizli, 5 yıl vadeli ve her yıl 1 Temmuz' da faiz ödemeli bir tahvili 15 Ağustos 2017'de satın almayı düşünen bir yatırımcı bileşik faiz yaklaşımıyla % 20 getiri sağlayabilmek için bu tahvili hangi fiyattan satın almalıdır?
|
736,558
|
|
836,558
|
|
1100
|
|
1056,345
|
|
936,558
|
11.Soru
Bir kişi 12 yıl boyunca bir bankaya her yıl 10.000 TL yatırmaktadır. Faiz oranı %6 ise 12 yıl sonunda birikmiş parası yaklaşık ne olur?
|
168,699
|
|
152,392
|
|
148,984
|
|
158,471
|
|
162,352
|
12.Soru
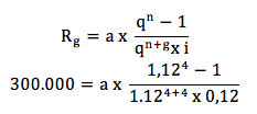
Bir kamu bankası genç girişimcilere iki yıl ödemesiz kredi vermektedir. İki yıl sonunda girişimcilerden her altı ayda bir ödenecek taksitlerle iki yılda kredilerini kapatmaları istenmektedir. Aylık faiz oranı % 2 ise 300.000 TL kredi alacak bir genç girişimcinin altı ayda bir ödeyeceği taksitler kaç TL olur?
|
155.765,65 |
|
156.234,98 |
|
156.376,61 |
|
154.987,56 |
|
154.999,76 |
Rg = 300.000 TL i = 0,12 (% 2 x 6 = %12)
q = 1,12 (1 + 0,12) n = 4 (2 x 2) g = 4 (2 x 2) a = ?
a = 156.376,61
13.Soru
Bir bankaya %5 faiz oranı ile 9 aylığına yatırılan 8.000TL vade sonunda kaç TL olur?
|
3.600
|
|
4.500
|
|
6.000
|
|
8.280
|
|
11.600
|
14.Soru
Peşin fiyatı 3500 tl olan bir televizyon vadeli olarak alınırsa satıcı aylık %1,2 vade farkı koymaktadır. Televizyonu 36 ay taksitle alırsanız ödeyeceğiniz aylık taksit miktarı ne kadardır
|
120 |
|
125 |
|
130 |
|
135 |
|
140 |
Yukarıdaki değerleri “Normal Anünitelerde Bugünkü Değer” formülünde yerine koyarsak
15.Soru
10.000 Türk Lirası 10 faizlendirme devresinde 20.000 Türk Lirasına ulaşmıştır. Buna göre devre faiz oranı % kaçtır?
|
4.16
|
|
5.28
|
|
6.34
|
|
7.18
|
|
8.32
|
16.Soru
55.000 tl otomobil kredisi kullanan bir kişi aylık %1.8 faiz oranı üzerinden 36 ayda bu borcu ödeyeceğine göre aylık ödemeler ne kadar olacaktır?
|
1.256 |
|
1.875 |
|
1.986 |
|
2.042 |
|
2.042 |
Yukarıdaki verileri “Borcun Eşit Taksitlerle Ödenmesi” başlığındaki uygun formüllerde yerine koyduğumuzda aylık ödemeler
17.Soru
Aşağıdakilerden hangisi belirsiz bir geleceğe ya da sonsuza kadar devam eden anüitelerdir?
|
Daimi anüiteler
|
|
Normal anüiteler
|
|
Bileşik anüiteler
|
|
Özel anüiteler
|
|
Belirsiz anüiteler
|
18.Soru
Bir banka bir öğrenciye, öğrenim süresi olan 5 yıl boyunca ödemesiz dönemden sonra her 3 ayda bir ödenecek taksitlerle 8 yılda geri ödenecek biçimde ? 250.000 kredi vermiştir. Yıllık faiz oranı %8 ise öğrencinin ödeyeceği taksitler kaç ? olur?
|
16.945
|
|
15.829
|
|
14.980
|
|
14.567
|
|
11.548
|
19.Soru
Yıllık %5 faiz oranından 3 aylığına bankaya yatırılan bir miktar para bu süre sonunda 230,5 faiz getiri sağlamıştır. Buna göre bankaya yatırılan para ne kadardır?
|
18440 |
|
15316 |
|
12450 |
|
11530 |
|
1015 |
20.Soru
Anapara faiz yada her ikisi, altın ,döviz, enflasyon gibi değer ölçülerinden birine bağlanarak, ödeme günü geldiğinde bu ölçüte göre ödeme yapılan tahvil türüne ne ad verilir?
|
Sabit faizli tahviller
|
|
Değişken faizli tahviller
|
|
Kuponsuz tahviller
|
|
Endeksli tahviller
|
|
Kara endeksli tahviller
|
-
- 1.SORU ÇÖZÜLMEDİ
- 2.SORU ÇÖZÜLMEDİ
- 3.SORU ÇÖZÜLMEDİ
- 4.SORU ÇÖZÜLMEDİ
- 5.SORU ÇÖZÜLMEDİ
- 6.SORU ÇÖZÜLMEDİ
- 7.SORU ÇÖZÜLMEDİ
- 8.SORU ÇÖZÜLMEDİ
- 9.SORU ÇÖZÜLMEDİ
- 10.SORU ÇÖZÜLMEDİ
- 11.SORU ÇÖZÜLMEDİ
- 12.SORU ÇÖZÜLMEDİ
- 13.SORU ÇÖZÜLMEDİ
- 14.SORU ÇÖZÜLMEDİ
- 15.SORU ÇÖZÜLMEDİ
- 16.SORU ÇÖZÜLMEDİ
- 17.SORU ÇÖZÜLMEDİ
- 18.SORU ÇÖZÜLMEDİ
- 19.SORU ÇÖZÜLMEDİ
- 20.SORU ÇÖZÜLMEDİ