Finansal Ekonomi Final 13. Deneme Sınavı
Toplam 20 Soru1.Soru
Aşağıdaki seçeneklerde verilen piyasalardan hangisi organize finansal piyasalar tanımı içerisinde yer almaz?
|
İnterbank Para Piyasası
|
|
TCMB bankalararası döviz piyasası
|
|
İMKB Tahvil ve Bono Piyasası
|
|
İMKB Hisse Senetleri Piyasası
|
|
Bankalararası Repo Piyasası
|
2.Soru
Aşağıdakilerden hangisi hisse senedi değerleme modellerinden biri değildir?
|
Fiyat/Kazanç oranı modeli |
|
Sabit kâr payı iskonto modeli |
|
Kâr payı iskonto modeli |
|
Piyasa değeri /Defter değeri modeli |
|
Arttırımlı değerleme modeli |
Hisse senetlerinin gerçek değerinin hesaplanmasında literatürde farklı modeller
kullanılmaktadır. Ancak uygulamada genel olarak dört modelin daha çok kullanıldığını görmekteyiz. Bunlar; “kar pay›”, “fiyat kazanç oranı”, “piyasa değeri-defter de¤eri oranı” ve “piyasa değeri nakit akışı oranı” olarak sıralanmaktadır.
3.Soru
Tahvilin piyasa değerinin piyasa faiz oranındaki dalgalanmalardan
etkilenmesinin temel nedeni aşağıdakilerden hangisidir?
|
Risk |
|
Vade |
|
Enflasyon |
|
Kar payı |
|
Bilgi edinme maliyeti |
Tahvilin piyasa değerinin piyasa faiz oranındaki dalgalanmalardan
etkilenmesinin temelinde vade esası yatmaktadır.
4.Soru
"Risk kavramına yeni katılmış bir risk türü olup; işletme içi ve
dışı mevzuata uyulmamasından ve ortakların kamuoyunda olumsuz algılanabilecek
tutum ve davranışlarından kaynaklanan risklerdir. Skandal, rüşvet, üretim süreçlerinde
ihmaller, finansal tablolarda yanıltıcı bilgiler, işletmenin kamu otoritesi
tarafından önemli tutarda bir para cezasına çarptırılması bu risklere örnektir."
Yukarıda tanımlanan risk türü işletmelerle ilgili risklerden hangisine aittir?
|
Çevre Riskleri |
|
Sosyal Riskler |
|
İtibar Riskleri |
|
Proje Riskleri |
|
Kriz Dönemi Riskleri |
İtibar Riskleri: Risk kavramına yeni katılmış bir risk türü olup; işletme içi ve
dışı mevzuata uyulmamasından ve ortakların kamuoyunda olumsuz algılanabilecek
tutum ve davranışlarından kaynaklanan risklerdir. Skandal, rüşvet, üretim süreçlerinde
ihmaller, finansal tablolarda yanıltıcı bilgiler, işletmenin kamu otoritesi
tarafından önemli tutarda bir para cezasına çarptırılması bu risklere örnektir.
5.Soru
A İşletmesi geçen yıl hisse başına 3 TL kâr payı dağıtmıştır. Şirketin yıllık kâr payı büyüme oranının %8 olacağı öngörülmektedir. Beklenen getiri oranı %22 ise, söz konusu hisse senedinin gerçek değeri yaklaşık kaç TL’dir?
|
15
|
|
18
|
|
23
|
|
27
|
|
33
|
6.Soru
ilk kez dolaşıma çıkan finansal araçların işlem gördüğü ve tasarrufların yatırımlara kanalize edildiği piyasalar aşağıdakilerden hangisi ile verilmiştir?
|
Organize piyasalar
|
|
Birincil piyasalar
|
|
Para piyasaları
|
|
İkincil piyasalar
|
|
Serbest ya da tezgahüstü piyasalar
|
7.Soru
Aşağıdakilerden hangisi ihtiyaç duyulan miktarda fonun ihtiyaç duyulduğu anda uygun bir maliyetle bulunmaması, elde tutulan finansal varlığın istenilen zamanda ve fiyatta elden çıkarılmaması sonucunda zarara
uğrama olasılığını ifade etmektedir?
|
Piyasa Riski |
|
Sistematik Risk |
|
Kredi Riski |
|
Likidite Riski |
|
Faaliyet Riski |
Likidite riski genel olarak, ihtiyaç duyulan miktarda fonun ihtiyaç duyulduğu anda uygun bir maliyetle bulunmaması, elde tutulan finansal varlığın istenilen zamanda ve fiyatta elden çıkarılmaması veya transfer edilememesi sonucunda zarara uğrama olasılığı olarak tanımlanabilmektedir.
8.Soru
İşletmenin öz sermaye toplamının dolaşımda olan toplam hisse senedi sayısına oranlanmasına ne ad verilir?
|
Defter değeri
|
|
Tasfiye değeri
|
|
Nominal değer
|
|
Piyasa değeri
|
|
Gerçek değer
|
9.Soru
Yatırımcının tahvil alırken ödediği değer aşağıdakilerden hangisidir?
|
Piyasa değeri |
|
İhraç değeri |
|
Nominal değer |
|
Defter değeri |
|
Tasfiye değeri |
Yatırımcının tahvil alırken ödediği değer ihraç değeridir. Doğru cevap B'dir.
10.Soru
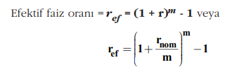
Nominal faiz oranı %15 olan bir kredinin efektif faiz oranı nedir?
|
16,24 |
|
15,15 |
|
16,15 |
|
16,07 |
|
18,25 |
Efektif Faiz Oranı genel olarak nominal faiz oranı yıllık olarak ifade edilir. Bir yıl içinde birden fazla faiz ödemesi yapılıyorsa yatırımcıya önerilen yıllık faiz oranı ile yatırımcının gelecekte elde edeceği faiz oranı arasında fark olacaktır. Yıl içinde faiz ödemelerinin sıklığına göre yatırımcının eline geçen getiri oranına efektif (gerçek-eşdeğer) faiz oranı denir
formülü ile hesaplanır. r= 0,14 ve m= 12 (bir yıl) ise değerleri formülde yerine koyduğumuzda efektif faiz oranı = 16,07 olur.
11.Soru
Verilen ödünç miktarı ya da alınan borç üzerinden hesaplanan faiz aşağıdakilerden hangisidir?
|
Efektif faiz oranı
|
|
Reel faiz oranı
|
|
Nominal faiz oranı
|
|
Ekonomik faiz oranı
|
|
Basit faiz oranı
|
12.Soru
Aşağıdakilerden hangisi varlıklar arasında seçim yapma sürecini etkileyen faktörlerden biridir?
|
Enflasyon |
|
Kar |
|
Faiz |
|
Toplam maliyet |
|
Likidite |
Varlıklar arasında seçim yapma sürecini etkileyen faktörler aşağıdaki gibi sıralanabilir;
• Servet
• Beklenen Getiri
• Risk
• Likidite
• Bilgi edinme maliyeti
13.Soru
Aşağıdakilerden hangisi işletmeyle ilgili belirsizliklerden biridir?
|
Rekabet belirsizliği |
|
Makroekonomik belirsizlikler |
|
Kredi belirsizlikleri |
|
Girdi piyasası belirsizlikleri |
|
Sosyal belirsizlikler |
İşletmeye Özel Belirsizlikler; faaliyetle ilgili belirsizlikler, yasal sorumluluk
belirsizlikleri, araştırma-geliştirme belirsizlikleri, kredi belirsizlikleri ve davranışsal belirsizliklerden oluşmaktadır.
14.Soru
Satıcıların ve üreticilerin bir ürünü satın almak ve satmak arasında geçen sürede inen ve çıkan pazar fiyatlarına karşı kendilerini korumak için satın aldıkları sözleşmeler ve reasürans işlemler gibi örneklendirilebilecek risk yönetimi süreci aşağıdakilerden hangisidir?
|
Bilgi yönetimi |
|
Zarardan korunma |
|
Riski azaltma |
|
Riskin transferi |
|
Riskten kaçınma |
Riskin Transferi, riskin başka iktisadi birimlere aktarılmasıdır. Riskin transferindeki en önemli unsur, bir kişiden riski taşımaya daha istekli olan bir başka kişiye transfer edilebilir olmasıdır. İlk olarak riskli kıymetin başkalarına devredilmesidir. İkinci olarak ise; bu kıymete bağlı olan riskin, bazı sözleşme (vadeli işlem vb.) gibi araçlarla başkalarına aktırılmasıdır.
15.Soru
Beklenen getiri ile ilgili aşığıdaki bilgilerden hangisi yanlıştır?
|
Getiriler faiz geliri, kâr payı ve finansal varlıkların fiyatındaki artışın neden olacağı değerlerdir. |
|
Beklenen getiri, finansal varlıkların talebini etkileyen önemli unsurlardan biridir. |
|
Beklenen getiri, genellikle gerçekleşen getirilerin ağırlıklı ortalaması olarak ifade edilir. |
|
Beklenen getiri ile varlık talebi arasında doğru yönlü bir ilişki söz konusudur. |
|
İyimser beklentilerin olduğu bir dönemde hisse senetlerinden beklenen getiri azalır. |
Bir varlığın getirisi, bu varlığın elde tutulması ile elde edilen kazancı ifade etmektedir. Finansal varlıkları talep eden yatırımcılar, bu varlıkların türüne göre getiri beklemektedir. Getiriler faiz geliri, kâr payı ve finansal varlığın fiyatındaki artışın neden olacağı değerlerdir. Ancak söz konusu getiriler, bazen negatife dönebilir ve sonuç zarar da olabilir. Bir varlık satın alındığında, ilerideki değerinin ne olacağını tam olarak bilmek mümkün değildir ve kararımızı etkileyen unsur o varlıktan beklenen getiri düzeyidir. Bu bağlamda beklenen getiri, finansal varlıkların talebini etkileyen önemli unsurlardan biridir ve beklenen getiri ile varlık talebi arasında doğru yönlü bir ilişki söz konusudur. Karar süreci içinde; beklenen getirilerin pozitif olmasına bağlı olarak, diğer yatırım alternatifleri ile karşılaştırılır. Nispi olarak büyük oranda beklenen getiriye sahip varlığın seçilmesi ve doğal olarak o varlığın talebinin artması gerekir. Beklenen getiri, genellikle gerçekleşen getirilerin ağırlıklı ortalaması olarak ifade edilir. Burada sözü edilen ağırlıklar ise gerçekleşen getirilerin ortaya çıkma olasılığıdır. Formül olarak beklenen getiriyi aşağıdaki gibi ifade edebiliriz: Genellikle yatırımcılar, fiyatı ve getirisi istikrarlı olan finansal varlıklara yatırım yaparak risklerini minimize etmek isterler. Bilindiği gibi, finansal varlıkların getirisi, ekonominin, endüstrinin ve işletmenin durumundaki değişmelerle yakından ilgilidir. Yatırımcıların genel ekonomi hakkındaki tahminleri, varlıkların getirilerinin gerçekleşme olasılıklarını etkileyecektir. Burada sözü edilen beklenen getiri, alternatifler karşısında beklenen nispi getiri olduğu için, alternatif varlıkların beklenen getirisindeki değişime diğer varlıkların talebini de etkileyecektir. Örneğin: ekonomide iyimser beklentilerin hakim oldu¤u bir dönemde hisse senetlerinden beklenen getiri artabilir. Tahvillerden beklenen getiride bir değişiklik olmasa bile, tahvillerin hisse senetlerine göre beklenen nispi getirisi düşecek ve tahvil talebi azalacaktır.
Doğru cevap E' dir.
16.Soru
Menkul kıymetler yatırım aracı olarak belli bir tutarı temsil eder, ………..olarak çıkarılır ve dönemsel gelir sağlarlar.
Yukarıdaki boşluğa en uygun ifade, aşağıdakilerden hangisidir?
|
Seri |
|
Faiz |
|
Tasarruf |
|
Tek |
|
Sabit |
Menkul kıymetler yatırım aracı olarak belli bir tutarı temsil eder, seri olarak çıkarılır ve dönemsel gelir sağlarlar.
17.Soru
Borçlunun borçtan kaynaklanan yükümlülüklerini zamanında yerine getiremediği tahvil, bono, kredi gibi borç araçları olarak tanımlanabilmesine ne ad verilir?
|
Sorunlu varlık
|
|
Factoring
|
|
Reasürans
|
|
Finansal Kiralama
|
|
Mevduat
|
18.Soru
Klasik faiz teorisine göre, denge faiz oranının belirleyicileri aşağıdaki şıklardan hangisinde doğru ifade edilmiştir?
|
Para arzı ve para talebi
|
|
Yatırımlar ve para arzı
|
|
Yatırımlar ve tasarruflar
|
|
Tasarruflar ve para talebi
|
|
Yatırımlar ve para talebi
|
19.Soru
Aşağıdaki tanımlardan hangisi risk kavramını anlatmamaktadır?
|
Kayıp olasılığıdır. |
|
Gerçekleşen sonuçlardan veya değerlerden hareketle beklenen sonuçların belirlenmesidir. |
|
Karar vericinin bir olayın sonuçlarını objektif olasılıkla belirleyebildiği durumları ifade eder. |
|
Kayıp tehlikesidir. |
|
Yatırımcının beklenti ve sezgileri ile bir dereceye kadar aydınlatılabilecek durumlardır. |
Yatırımcının beklenti ve sezgileri ile bir dereceye kadar aydınlatılabilecek durumlara belirsizlik denmektedir.
20.Soru
İşlemin iki tarafının karşılıklı olarak ödemeleri takas ettikleri finansal sözleşme aşağıdakilerden hangisidir?
|
Forward
|
|
Opsiyon
|
|
Futures
|
|
Vadeli sözleşme
|
|
Swap
|
-
- 1.SORU ÇÖZÜLMEDİ
- 2.SORU ÇÖZÜLMEDİ
- 3.SORU ÇÖZÜLMEDİ
- 4.SORU ÇÖZÜLMEDİ
- 5.SORU ÇÖZÜLMEDİ
- 6.SORU ÇÖZÜLMEDİ
- 7.SORU ÇÖZÜLMEDİ
- 8.SORU ÇÖZÜLMEDİ
- 9.SORU ÇÖZÜLMEDİ
- 10.SORU ÇÖZÜLMEDİ
- 11.SORU ÇÖZÜLMEDİ
- 12.SORU ÇÖZÜLMEDİ
- 13.SORU ÇÖZÜLMEDİ
- 14.SORU ÇÖZÜLMEDİ
- 15.SORU ÇÖZÜLMEDİ
- 16.SORU ÇÖZÜLMEDİ
- 17.SORU ÇÖZÜLMEDİ
- 18.SORU ÇÖZÜLMEDİ
- 19.SORU ÇÖZÜLMEDİ
- 20.SORU ÇÖZÜLMEDİ