Finansal Ekonomi Final 15. Deneme Sınavı
Toplam 20 Soru1.Soru
Aşağıdakilerden hangisi makroekonomik belirsizlikler arasında yer alır?
|
Satın alma gücü paritesindeki sapmalar |
|
Yağış değişmeleri |
|
Hükümet darbesi |
|
Yetersiz kamu hizmetleri |
|
Sosyal huzursuzluk |
Makroekonomik belirsizlikler; enflasyon, nispi fiyat değişimleri, döviz kurları, faiz oranları, ticari şartlarda değişme ve benzerlerini kapsar. Enflasyon, materyal veya işgücü maliyetinde, finansal maliyet ve fiyat politikalarında belirsiz artışlara neden olur. Fiyat değişiklikleri, genel fiyat enflasyonu şeklinde veya tüketim malları veya girdilerin (ham madde ve iş gücü gibi) fiyatlarının nispi değişmesi şeklinde olabilir. Döviz kurunda satın alma gücü paritesindeki sapmalar, ithalatçı ve ihracatçı işletmeler doğrudan, ihracatçı ve ithalatçı olmasa bile diğer işletmelerin rekabeti nedeniyle bütün işletmeleri dolaylı olarak etkiler. Faiz oranlarındaki değişmeler ise, finansman maliyetlerini ve yatırım gelirlerini etkilemektedir.
2.Soru
Yıllık %15 faiz oranıyla 3 yıl için bankaya yatırılan para vade sonunda 30.417,5 TL olmuş ise bankaya başlangıçta yatırılan para tutarı ne kadardır?
|
14.000 TL |
|
16.000 TL |
|
18.000 TL |
|
20.000 TL |
|
22.000 TL |
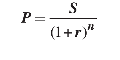
Bugünkü değer, gelecekteki nakit akışlarının şu anki değeridir. Gelecek değer;
S = P × [1 + (r × t)] formülünden hareketle bugünkü (şimdiki) değer hesaplaması için gerekli olan formülü aşağıdaki gibi oluşturabiliriz.
Formülde kullandığımız sembollerin anlamı şu şekildedir;
S=Basit faizde gelecekteki değer,
r=Faiz oranı,
P=Anapara (bugünkü değer),
t=Süre.
Soruda yer alan değerleri yerine koyduğumuz zaman 20.000TL sonucuna ulaşırız.
3.Soru
Katılım bankalarının topladıkları, faizsiz bankaların vadesiz hesabı olarak tanımlanan hesaplara ne ad verilir?
|
Vadesiz mevduatlar
|
|
Vadeli mevduatlar
|
|
Katılma hesapları
|
|
Özel cari hesaplar
|
|
Murabaha hesapları
|
4.Soru
1 Ocak 2018 tarihinde %40 faizle bir yıl sonra ödenmek üzere 100.000 TL borç aldığınız ve aynı yılın sonunda gerçekleşen enflasyon oranının %25 olduğunu bir ekonomik ortamda reel faiz oranı hangisini eşittir?
|
%16 |
|
%14 |
|
%12 |
|
%10 |
|
%8 |
Reel faiz oranı enflasyonun etkisinden arındırılmış faiz oranıdır. Sadece, tüketimden vazgeçerek ödünç verilen fonların zaman değerini ve bunların geri ödenmeme riskini içerir. Reel faiz aşağıdaki şekilde formüle edilir.
Sorumuzda yer alan değerleri yukarıdaki formülde yerine koyduğumuzda;
(1+0,40/1+0,25)-1=%12 sonucuna ulaşırız.
5.Soru
Doğrudan ve dolaylı finansmanın birbirinden ayıran temel değişken aşağıdaki seçeneklerden hangisinde verilmiştir?
|
Finansal aracı kurumların varlığı
|
|
Dolaylı finansmanın daha maliyetli oluşu
|
|
Doğrudan finansmanın ek fırsat maliyeti yaratması
|
|
Doğrudan finansmanın daha fazla fonun teminini olanaklı kılması
|
|
Doğrudan finansmanın fon transferine olanak sağlaması
|
6.Soru
Servet esnekliği ile ilgili aşağıdaki bilgilerden hangisi yanlıştır?
|
Servet esnekliği değeri 1’den küçükse, bu varlığa “zorunlu” varlık denir. |
|
Varlık ve servetteki artış oranları eşitse buna, birim esneklik denir. |
|
Servet ile varlık talebi arasında ters yönlü bir ilişki bulunmaktadır. |
|
Gelişmiş ülkelerde, vadesiz mevduatlar zorunlu varlıklar olarak kabul edilir. |
|
Gelişmiş ülkelerde, hisse senetleri ve tahviller lüks varlık olarak kabul edilir. |
Servet esnekliği değeri 1’den küçükse, söz konusu varlık “zorunlu”, 1’den büyükse “lüks” varlık kategorisinde değerlendirilebilir. Gelişmiş ülkeler için yapılan hesaplamalarda hisse senetleri ve tahvillerin lüks varlık, nakit ve vadesiz mevduatların ise zorunlu varlık kategorisinde oldukları belirlenmiştir. Varlık ve servetteki artış oranlarının eşit olması durumu ise, birim esneklik olarak adlandırılmaktadır ve talebin servet esnekliği 1’e eşittir. Servetle varlık talebi arasında doğru yönlü bir ilişki vardır.
Doğru cevap C' dir.
7.Soru
"Risk kaynakları kişinin davranışları ile ilgilidir. Kişinin ahlak, karakter,
yetişme tarzı ve alışkanlıklarından, değer yargılarına, yeteneklerine, sakarlıklarına
kadar düşünülebilecek birçok soyut olayla bağlantılıdır. Çalma, saldırı, eşya
tahribatı, kundaklama, sabotaj ve vandalizm sosyal riskler kapsamına alınmaktadır.
Hırsızlık özellikle sosyal uyumsuzlukların yaşandığı toplumlarda önemli bir
risk kaynağı olarak karşımıza çıkmaktadır. İşletmede çalışanların yaptıkları hırsızlıklara
karşı bazı tedbirler alınabilmesine rağmen, bu riskin tamamen ortadan kaldırılması
mümkün değildir."
Yukarıda açıklanan risk türü aşağıdakilerden hangisidir?
|
Ekonomik Risk |
|
Sosyal (Moral) Risk |
|
Subjektif (Öznel) Riskler |
|
Sistematik risk |
|
Katastrofik risk |
Sosyal (moral) risk kaynakları kişinin davranışları ile ilgilidir. Kişinin ahlak, karakter,
yetişme tarzı ve alışkanlıklarından, değer yargılarına, yeteneklerine, sakarlıklarına
kadar düşünülebilecek birçok soyut olayla bağlantılıdır. Çalma, saldırı, eşya
tahribatı, kundaklama, sabotaj ve vandalizm sosyal riskler kapsamına alınmaktadır.
Hırsızlık özellikle sosyal uyumsuzlukların yaşandığı toplumlarda önemli bir
risk kaynağı olarak karşımıza çıkmaktadır. İşletmede çalışanların yaptıkları hırsızlıklara
karşı bazı tedbirler alınabilmesine rağmen, bu riskin tamamen ortadan kaldırılması
mümkün değildir. Kundaklama sonucu meydana gelen yangın ve üretim
kayıpları sonucu işletmeler, önemli tutarlara ulaşan zararlara maruz kalmaktadırlar.
8.Soru
Aynı likidite, geri ödeme yeteneği ve vergisel özelliklere sahip, ancak vadeleri farklılıklar taşıyan çeşitli finansal varlıkların, faiz oranları farklığına ne ad verilir?
|
Faiz oranlarının vade yapısı
|
|
Faiz oranları farklılığı
|
|
Faiz oranlarının risk yapısı
|
|
Faiz ve faktörel ilişkiler
|
|
Faiz oranlarının şekli
|
9.Soru
Sermaye arzının belirleyici bileşeni aşağıdaki seçeneklerde verilenlerden hangisidir?
|
Tasarruf
|
|
Yatırım
|
|
Kredi
|
|
Tüketim
|
|
Kamu harcaması
|
10.Soru
Varlık ve servetteki artış oranlarının eşit olması durumu aşağıdakilerden hangisinin tanımıdır?
|
Varlık esnekliği |
|
Servet esnekliği |
|
Birim esneklik |
|
Esneklik |
|
Yüksek esneklik |
Varlık ve servetteki artış oranlarının eşit olması durumuna birim esneklik denir. Doğru cevap C'dir.
11.Soru
Esas olarak kendi nam ve hesabına mevduat şeklinde fon toplayan ve bu fonları kredi şeklinde kullandıran tanımlanan kurumlara ne ad verilir?
|
Mevduat Bankaları
|
|
Katılım fonu
|
|
Reasürans
|
|
Emeklilik yatırım fonu
|
|
Finansal Kiralama şirketleri
|
12.Soru
Enflasyon, nispi fiyat değişimleri, döviz kurları, faiz oranları, ticari şartlarda değişme ve benzerlerini kapsayan belirsizlik aşağıdakilerden hangisidir?
|
Politik belirsizlikler |
|
Makroekonomik belirsizlikler |
|
Hükümet politikası belirsizlikleri |
|
Sosyal belirsizlikler |
|
Doğal belirsizlikler |
Enflasyon, nispi fiyat değişimleri, döviz kurları, faiz oranları, ticari şartlarda değişme ve benzerlerini kapsayan belirsizlik makroekonomik belirsizlikler başlığı altında incelenmektedir.
13.Soru
Aşağıdakilerden hangisi ticari senetlerden birisidir?
|
Mevduat sertifikası |
|
Repo |
|
Çek |
|
Tahvil |
|
Finansman bonosu |
Ticari Senetler
Ticari senetler kıymetli evrakın tüm özelliklerini taşır ve en yaygın kullanılan kıymetli evrak türüdür. Çek, bono ve poliçe gibi ticari senetler Türk Ticaret Kanun’unda belirtilen hükümlere tabidir.
14.Soru
Finansal kurumun hazine bonosu, devlet tahvili gibi sabit getirili bir menkul
kıymeti hamilinden satın alması ve bu menkul kıymeti önceden belirlenen bir
fiyattan ileri bir tarihte geri satmak üzere anlaşma yapması işlemi hangisidir?
|
Finansman bonosu |
|
Repo |
|
Ticari senet |
|
Ters repo |
|
Poliçe |
Ters repo: Finansal kurumun hazine bonosu, devlet tahvili gibi sabit getirili bir menkul kıymeti hamilinden satın alması ve bu menkul kıymeti önceden belirlenen bir fiyattan ileri bir tarihte geri satmak üzere anlaşma yapmasıdır.
15.Soru
Aşağıdakilerden hangisi fon arz ve talebini dolayısıyla faiz oranlarını belirleyen faktörlerden biri değildir?
|
Merkez Bankası para politikaları |
|
Bütçe açıkları |
|
Uluslararası para akımları |
|
Dış ticaret açıkları |
|
Tüketim alışkanlıkları |
Fon arz ve talebini dolayısıyla faiz oranlarını belirleyen faktörlerb aşağıdaki gibi sıralanabilir:
• Merkez Bankası para politikaları,
• Hane halkı tasarruf eğilimi,
• Bütçe açıkları,
• Dış ticaret açıkları,
• İşletme faaliyetlerinin düzeyi,
• Uluslararası para akımlar,
16.Soru
Uzun dönemde denge döviz kurunun tamamen iki ülkedeki fiyat değişikliklerine bağlı olarak belirleneceğini öne süren teori aşağıdakilerden hangisidir?
|
Faiz paritesi teorisi
|
|
Kur Marjı teorisi
|
|
Satın alma gücü paritesi teorisi
|
|
Forward döviz kuru teorisi
|
|
Enflasyon paritesi teorisi
|
17.Soru
Aşağıdakilerden hangisi finansal araçların özelliklerinden biri değildir?
|
Vade
|
|
Sadece alacak hakkı vermesi
|
|
Paraya dönüşebilirlik
|
|
Bölünebilirlik
|
|
Getiri
|
18.Soru
Fon fazlası olanlar ile fon ihtiyacı olanlar arasında fon aktarımı yapılması sırasında, aktarılan fonların üzerinde ortaklık hakkı doğuran ve /veya alacağı temsil eden yazılı belgeleri gösteren finansal sistemin unsurlarından biri hangisidir?
|
Fon Arz Edenler |
|
Fon Talep Edenler |
|
Finansal Aracılar |
|
Finansal Araçlar |
|
Yasal ve Kurumsal Düzenlemeler |
Finansal araçlar, fonların aktarılması sırasında, aktarılan fonlar üzerinde bir ortaklık hakkı doğuran ya da alacağı temsil eden yazılı belgelerdir.
Fonların, arz edenlerden fon ihtiyacı olanlara (talep edenlere) aktarılması sırasında, sahiplik ve el değiştirme olgusunu kanıtlayacak çeşitli belgelere ihtiyaç duyulmaktadır. Finansal sistemde fon sunanlar, devrettikleri fonların karşılığında, fon talep edenlerden çeşitli belgeler istemektedirler. Bu belgelere finansal araç denilmektedir.
19.Soru
Bugün ülkemizde mevduatların ne tutardaki bir kısmı devlet garantisi altındadır?
|
Tamamı
|
|
100 bin liralık kısmı
|
|
50 bin liralık kısmı
|
|
Yabancı para mevduatların TL30 bin, yerli para mevduatların 40 bin lıralık kısmı
|
|
Yabancı para mevduatların TL35 bin, yerli para mevduatların 30 bin liralık kısmı
|
20.Soru
Diğer bütün özellikleri aynı iken yalnızca vadeleri farklı olan finansal varlıkların getirileri arasındaki yapısal ilişki aşağıdakilerden hangisidir?
|
İkincil piyasada değerleme |
|
Piyasa koşulları |
|
Tahvilin piyasa değeri |
|
Tahvilin nominal değeri |
|
Faiz oranlarının vade yapısı |
Diğer bütün özellikleri aynı iken yalnızca vadeleri farklı olan finansal varlıkların getirileri arasındaki yapısal ilişkiye faiz oranlarının vade yapısı denir. Doğru cevap E'dir.
-
- 1.SORU ÇÖZÜLMEDİ
- 2.SORU ÇÖZÜLMEDİ
- 3.SORU ÇÖZÜLMEDİ
- 4.SORU ÇÖZÜLMEDİ
- 5.SORU ÇÖZÜLMEDİ
- 6.SORU ÇÖZÜLMEDİ
- 7.SORU ÇÖZÜLMEDİ
- 8.SORU ÇÖZÜLMEDİ
- 9.SORU ÇÖZÜLMEDİ
- 10.SORU ÇÖZÜLMEDİ
- 11.SORU ÇÖZÜLMEDİ
- 12.SORU ÇÖZÜLMEDİ
- 13.SORU ÇÖZÜLMEDİ
- 14.SORU ÇÖZÜLMEDİ
- 15.SORU ÇÖZÜLMEDİ
- 16.SORU ÇÖZÜLMEDİ
- 17.SORU ÇÖZÜLMEDİ
- 18.SORU ÇÖZÜLMEDİ
- 19.SORU ÇÖZÜLMEDİ
- 20.SORU ÇÖZÜLMEDİ