Finansal Yönetim 1 Ara 5. Deneme Sınavı
Toplam 20 Soru1.Soru
İşletmelerde gereksinim duyulan fonların sağlanmasını ifade eden kavram aşağıdakilerden hangisidir?
|
Finans |
|
Finansman |
|
Kredi Kullanımı |
|
Finansal Yönetim |
|
Özkaynaklar |
Genellikle aynı anlamda kullanılan finans kavramı, kişi ya da kurumların faydalanabileceği para, fon, kaynak ya da sermaye, finansman kavramı fonların sağlanması, finansal yönetim kavramı ise, fonların sağlanması ve sağlanan fonların kullanımını ifade etmektedir.
2.Soru
Bir işletmenin elde ettiği kârın yeterli olup olmadığı değerlendirilirken aşağıdakilerden hangisi göz önünde bulundurulması gereken faktörlerden biri değildir?
|
Sermayenin alternatif alanlarda kullanım durumunda sağlayabileceği gelir |
|
Genel ekonomik koşullardaki gelişmeler |
|
Aynı endüstri kolundaki işletmelerin kârlılık oranları |
|
İşletmenin kâr hedefleri |
|
İşletmece uygulanan amortisman politikası |
Bir işletmenin elde ettiği kârın yeterli olup olmadığı değerlendirilirken;
- Sermayenin alternatif alanlarda kullanım durumunda sağlayabileceği gelir,
- Genel ekonomik koşullardaki gelişmeler, ekonominin devresel olarak içinde bulunduğu evre,
- Aynı endüstri kolundaki işletmelerin kârlılık oranları,
- İşletmenin kâr hedefleri,
- Sermaye maliyetinin göz önünde bulundurulması gerekir.
3.Soru
I. Bankalar yıllık % 7 faiz uygulamaktadır.II. Enflasyon oranı o yıl için yıllık % 7,3 olacaktır.III. Altın fiyatları yıl boyunca sabit kalacaktır.Parasını bankaya yatırmak veya altın satın almak seçeneklerinden biri ile değerlendirmek isteyen bir kişi için aşağıdakilerden hangisi doğru olur?
|
Piyasada pozitif faiz uygulaması vardır. Kişi parasını bankaya yatırmalıdır.
|
|
Piyasada negatif faiz uygulaması vardır. Kişi parasını bankaya yatırmamalı, altın satın almalıdır.
|
|
Bankanın uyguladığı faiz reel faiz olduğundan, kişi parasını bankaya yatırmalıdır.
|
|
Enflasyon bankadan geri alınacak para tutarını olumsuz etkilemeyeceği için kişi parasını bankaya yatırmalıdır.
|
|
Enflasyon bankanın uygulayacağı faiz oranını etkilemeyeceği için kişi parasını bankaya yatırmalıdır.
|
4.Soru
İşletmelerde finans yöneticilerinin sorumluluğunda olan konular aşağıdakilerin hangisinde birlikte verilmiştir?
|
Yatırım-Ödeme-İşe alım |
|
Yatırım-Finansman-Dividant |
|
Yatırım-Dividant-Satın alma |
|
Finansman-Dividant-Satın alma |
|
Finansman-İşe alım-Ar Ge |
5.Soru
Büyük işletmelerin organizasyon yapısında finans yöneticisi genellikle aşağıdakilerden hangisinin yardımcısı düzeyinde yer alır?
|
Pazarlama müdürünün
|
|
Kontrolörün
|
|
Üretim müdürünün
|
|
Genel müdürün
|
|
Fon yöneticisinin
|
6.Soru
Uzun vadeli faydalar sağlayacak yatırım projelerinin ekonomik, teknik ve mali açıdan yapılabilirliğinin analiz edilmesine ne ad verilir?
|
Sermaye Bütçelemesi |
|
Fizibilite Çalışmaları |
|
Finansal Yönetim |
|
Yatırım Analizi |
|
Pazar Araştırması |
Fizibilite Çalışmaları: Uzun vadeli faydalar sağlayacak yatırım projelerinin ekonomik, teknik ve mali açıdan yapılabilirliğinin analiz edilmesidir.
7.Soru
I.Mevduat II.Hazine Bonosu III.Tahvil Yukarıdakilerden hangileri para piyasasının temel finansal araçlarındandır?
|
Yalnız I |
|
Yalnız III |
|
I ve III |
|
I ve II |
|
I, II ve III |
Para piyasasının temel finansal araçları; mevduat, hazine bonoları, finansman bonoları, mevduat sertifikaları, repo, banka kabulleri, banka bonoları, eurodolarlar, varlığa dayalı menkul kıymetler gibi finansal varlıklardır.
8.Soru
Bir işletmenin 5 yıl sonra ödenmesi gereken borcu için her yıl sonunda bankaya ₺35.000 yatırması gerekmektedir. Faiz oranının %12 olduğu bir ekonomide, bu işletmenin 5. yıl sonunda biriken parası ne kadardır?
|
₺222.350 |
|
₺225.600 |
|
₺227.333 |
|
₺230.450 |
|
₺233.715 |
Eşit taksitlerle yapılan ödemeler dizisine anüite denir. Bir anüitenin gelecekteki değerini (AGD)
Bulmak için şu formülden faydalanırız:
AGD = A [(1 + i)n – 1 / i ]
Bizim sorumuzda ise; n (süre) = 5 yıl, A (eşit taksitler) = ₺35.000, i (faiz oranı) = 0,12’dir ve ulaşmamız gereken ise AGD (anüitenin gelecekteki değeri)’dir. O halde;
AGD = 35.000 [(1 + 0,12)5 – 1 / 0,12 ]
AGD = 222.350
Doğru cevap A’dır.
9.Soru
Aşağıdakilerden hangisi finansal piyasalar ile işletme arasındaki fon akış döngüsünün bir aşaması değildir?
|
Nakdin bir kısmı kar payı ve faiz olarak ödenir.
|
|
Devlete vergi ödenir.
|
|
Finansal varlıklar ihraç edilerek fon sağlanır.
|
|
Fiyat belirleme çalışmaları yapılır.
|
|
Nakdin bir kısmı işletmede bırakılır.
|
10.Soru
Genel olarak üretim işletmeleri için cari oran'ın ve asit test oranının hangi değerler alması uygun olmaktadır?
|
Cari oran: 0.5 Asit test oranı:1 |
|
Cari oran: 1; Asit test oranı:2 |
|
Cari oran:2 ; Asit test oranı 1 |
|
Cari oran: 2 Asit test oranı:2 |
|
Cari oran:0.5 Asit test oranı :2 |
Genel olarak üretim işletmeleri için cari oranın “iki”, asit test oranın›-ın “bir” olmasının uygun olacağı düşlnülür. Böyle bir kural koymak gerçekte pek anlamlı değildir. İşletmelerin özelliklerine, sektörün ve ekonominin genel koşullarına bağlı olarak, bu oranlar söylenen değerlerin altında ya da üstünde olabilir.
11.Soru
Aşağıdakilerden hangisi finansal sistemi oluşturan unsurlardan birisi değildir?
|
Fon arz edenler
|
|
Yatırım ve finansman araçları
|
|
Yardımcı kuruluşlar
|
|
İktisadi politikalar
|
|
Fon talep edenler
|
12.Soru
Aşağıdakilerden hangisi finansal kurumların işlevlerinden biri değildir?
|
Maliyetleri azaltmak |
|
Vergi düzenlemesi yapmak |
|
Risk ayarlaması yapmak |
|
Vade ayarlaması yapmak |
|
Finansal danışmanlık hizmeti sunmak |
13.Soru
Bir kişi yıllık %12 nominal faiz üzerinden aylık vadeli hesap açtırır ise yıllık efektif faizi % kaç olur?
|
12 |
|
12,28 |
|
12,38 |
|
12,48. |
|
12,68 |
%12:12=0,01 (1,01)^12 -1=%12,68
14.Soru
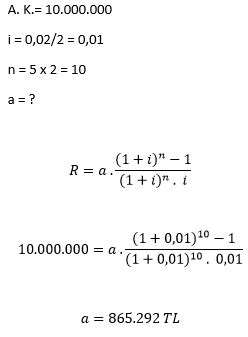
Alınan 10.000.000 TL kredi %2 faizle ve 6 ayda bir yapılan eşit ödemelerle 5 yılda amorti edilecektir. 6 ayda bir yapılacak olan eşit ödeme tutarını bulunuz.
|
865.292 |
|
865.987 |
|
866.008 |
|
866.793 |
|
867.904 |
15.Soru
Finansal yönetim açısından işletmelerin öncelikli amacı aşağıdakilerden hangisi olmalıdır?
|
Satışları artırmak |
|
İşletmenin satış koşullarının esnekleştirmek |
|
Kârı maksimize etmek |
|
İşletme değerini maksimize etmek |
|
İşletmenin piyasa payını artırmak |
16.Soru
Bir işletme 3 yıl sonra geri ödenecek 23.820 TL'lik borcunu bugün ödemek istemektedir. Yıllık faiz oranı %6 ise işletme kaç TL'lik ödemede bulunacaktır?
|
18.000
|
|
18.333
|
|
19.000
|
|
19.500
|
|
20.000
|
17.Soru
Aşağıdakilerden hangisi nominal faiz oranını belirleyen faktörlerden birisi değildir?
|
Ödeme risk primi |
|
Reel faiz oranı |
|
Enflasyon primi |
|
Vade risk primi |
|
Likidite primi |
i = Nominal faiz oranı olmak üzere;
i’ = Reel faiz oran› (gerçek faiz oranı)
EP = Enflasyon primi
ÖP= Ödenmeme risk primi
LP = Likidite primi
VP = Vade risk primini ifade ettiğinde;
i = i’+EP+ÖP+LP+VP yazılabilir.
18.Soru
Aşağıdakilerden hangisi sermaye piyasasındaki temel finansal araçlardan birisidir?
|
Hazine bonoları |
|
Finansman bonoları |
|
Banka kabulleri |
|
Eurodolarlar |
|
Hisse senetleri |
19.Soru
Yukarıda verilen eşitliklerden hangileri likidite oranlarının hesaplanmasında kullanılır?
|
I ve II |
|
I ve III |
|
II ve III |
|
I, II ve III |
|
II, III ve IV |
Likidite oranları, bir işletmenin kısa vadeli borçlarını karşılayabilme yeteneğinin ölçülmesinde kullanılır. Bu oranlardan işletmenin ne kadar kolaylıkla nakit elde edebilmesine ve işlerin kötüye gitmesi halinde likiditesini koruyup koruyamadığına yönelik bilgiler sağlanır. Nakit bütçesi, bir işletmenin likidite durumunu değerlendirmede kullanılan diğer bir araçtır. Likidite oranları olarak cari oran, asit test oranı ve nakit oranı olarak üç önemli oran üzerinde durulacaktır.
Cari oran; dönen varlıkların kısa vadeli yabancı kaynaklara bölünmesiyle hesaplanır.
Asit-Test Oranı: Likiditenin daha doğru değerlendirilmesinde kullanılan bir ölçü de, ‘çabuk oran, hassas oran ya da asit- test oranı’ olarak ifade edilen orandır.
Nakit Oranı: Bir işletmenin en likit varlıkları, hazır değerleri ile menkul kıymetleridir. Bu nedenle finansal analizde, işletmenin likiditesi analiz edilirken nakit oranına da bakılır.
Bu bilgilerden de anlaşıldığı gibi doğru cevap D’dir. Ortalama tahsil süresi eşitliği ise faaliyet oranları kapsamında hesaplanan oranlardandır ve alacakların tahsil edileceği ortalama gün sayısını göstererek müşterilerin ödeme hızını ölçer. Oran, alacakları günlük satışlara göre ifade eder. Faaliyet oranları (etkinlik oranları) olarak hesaplanan oranlar şunlardır:
- Alacakların ortalama tahsil süresi
- Alacakların devir hızı
- Stok devir hızı
- Sabit varlıkların devir hızı
- Toplam varlıkların devir hızı
20.Soru
Peşin fiyatı 200.000 TL olan bir araç taksitle satın alınmak istenmektedir. Satıcı ile yapılan anlaşmaya göre hiç peşinat ödenmeyecek ve 48 ay ödemede bulunulacaktır. Yıllık faiz %12 ise aylık ödemeler ne olacaktır?
|
4.762 |
|
4.897 |
|
5.098 |
|
5.143 |
|
5.267 |
-
- 1.SORU ÇÖZÜLMEDİ
- 2.SORU ÇÖZÜLMEDİ
- 3.SORU ÇÖZÜLMEDİ
- 4.SORU ÇÖZÜLMEDİ
- 5.SORU ÇÖZÜLMEDİ
- 6.SORU ÇÖZÜLMEDİ
- 7.SORU ÇÖZÜLMEDİ
- 8.SORU ÇÖZÜLMEDİ
- 9.SORU ÇÖZÜLMEDİ
- 10.SORU ÇÖZÜLMEDİ
- 11.SORU ÇÖZÜLMEDİ
- 12.SORU ÇÖZÜLMEDİ
- 13.SORU ÇÖZÜLMEDİ
- 14.SORU ÇÖZÜLMEDİ
- 15.SORU ÇÖZÜLMEDİ
- 16.SORU ÇÖZÜLMEDİ
- 17.SORU ÇÖZÜLMEDİ
- 18.SORU ÇÖZÜLMEDİ
- 19.SORU ÇÖZÜLMEDİ
- 20.SORU ÇÖZÜLMEDİ