Finansal Yönetim 2 Ara 6. Deneme Sınavı
Toplam 20 Soru1.Soru
Aşağıdakilerden hangisi yüksek büyüme potansiyeli veya yeni kurulmuş olan işletmelerin yararlanabileceği finansman kaynaklarından biridir?
|
Sendikasyon kredileri |
|
Girişim sermayesi |
|
Euro-bond |
|
Özel sermaye fonları |
|
Dönüştürülebilir tahvil |
Yüksek büyüme potansiyeli veya yeni kurulmuş olan işletmelerin yararlanabileceği uzun vadeli finansman kaynaklarından biri girişim sermayesidir. Girişim sermayesi şirketleri daha çok yeni kurulmuş olan şirketlere yatırım yapmayı tercih ederken özel sermaye şirketleri belirli büyüklüklere ulaşmış, faaliyet karlılıkları yüksek, hızlı büyümekte olan, önemli pazar payları olan ve içinde bulundukları sektöre giriş engelleri yaratabilmiş şirketleri yatırım yapmayı tercih etmektedirler.
2.Soru
I. Vergi yükümlülükleri
II. İflas maliyetleri
III. Temsil maliyetleri
IV. Piyasa zamanlaması
Yukarıdakilerden hangileri sermaye yapısı kararlarını etkileyen durumlardandır?
|
I ve II |
|
II ve III |
|
I ve III |
|
I, II ve III |
|
I, II, III ve IV |
Sermaye yapısı kararları vergi yükümlülükleri, iflas maliyetleri, temsil maliyetleri ve piyasa zamanlaması durumlarına bağlı olarak farklılaşabilmektedir.
3.Soru
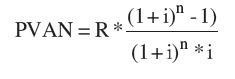
(A) işletmesi orta vadeli 100.000 TL kredi almıştır. Faiz oranı %12 olan bu kredi, 5 yılda eşit taksitlerle ödenmek istenirse her yıl hangi tutarda ödeme yapılması gerekir?
|
25.550 TL |
|
26.300 TL |
|
27.741 TL |
|
28.635 TL |
|
29.452 TL |
100000 = R * ((1+0,12)^5-1)/((1+0,12)^5*0,12)
R = 100000 / ((1+0,12)^5-1)/((1+0,12)^5*0,12)
R = 27.741 TL
4.Soru
Aşağıdakilerden hangisi bir işletmenin kazandığı ya da kaybettiği değerin dönemsel ölçüttür?
|
EVA
|
|
VAR
|
|
TARCH
|
|
GARCH
|
|
R2
|
5.Soru
Aşağıdakilerden hangisi bir kiralayan ve kiracının mevcut olduğu orta vadeli finansman yöntemidir?
|
Leasing
|
|
Hisse senetleri
|
|
İmtiyazlı hisse senetleri
|
|
Gelir ortaklığı sertifikası
|
|
Mevduat sertifikası
|
6.Soru
-
Varantlarda vade, opsiyon sözleşmelerinde olduğundan daha kısadır.
-
Opsiyonlar bireysel yatırımcılar tarafından da ihraç edilebilirken, varantlar yalnızca şirketler ve finansal kuruluşlar tarafından ihraç edilebilmektedir.
-
Varantın kullanılması durumunda ihraççı şirket yeni pay senedi ihraç etmekle yükümlüdür. Dolayısıyla şirketin halka açıklık oranı artmakta, opsiyonun kullanılması durumunda ise şirketin halka açıklık oranı değişmemektedir.
-
Varantlar vadeli işlem borsalarında, opsiyonlar ise menkul kıymet borsalarında işlem görmektedir.
Varantlarda vade, opsiyon sözleşmelerinde olduğundan daha kısadır.
Opsiyonlar bireysel yatırımcılar tarafından da ihraç edilebilirken, varantlar yalnızca şirketler ve finansal kuruluşlar tarafından ihraç edilebilmektedir.
Varantın kullanılması durumunda ihraççı şirket yeni pay senedi ihraç etmekle yükümlüdür. Dolayısıyla şirketin halka açıklık oranı artmakta, opsiyonun kullanılması durumunda ise şirketin halka açıklık oranı değişmemektedir.
Varantlar vadeli işlem borsalarında, opsiyonlar ise menkul kıymet borsalarında işlem görmektedir.
Yukarıda varantlar ve opsiyonlar arasında verilen farklılıklardan hangileri doğrudur?
|
I ve III |
|
I ve IV |
|
II ve III |
|
II ve IV |
|
III ve IV |
Opsiyonlar ve varantlar arasındaki farklılıklar şu şekilde sıralanabilir:
- (YANLIŞ) Varantlarda vade, opsiyon sözleşmelerinde olduğundan daha uzundur.
- (DOĞRU) Opsiyonlar bireysel yatırımcılar tarafından da ihraç edilebilirken, varantlar yalnızca şirketler ve finansal kuruluşlar tarafından ihraç edilebilmektedir.
- (DOĞRU) Varantın kullanılması durumunda ihraççı şirket yeni pay senedi ihraç etmekle yükümlüdür. Dolayısıyla şirketin halka açıklık oranı artmakta, opsiyonun kullanılması durumunda ise şirketin halka açıklık oranı değişmemektedir.
- (YANLIŞ) Varantlar menkul kıymet borsalarında, opsiyonlar ise vadeli işlem borsalarında işlem görmektedir.
7.Soru
Kârlı yatırım projelerinin araştırılması, analiz edilmesi ve en uygun yatırım projesinin seçim sürecine ne ad verilir?
|
Menkul kıymet değerleme |
|
Sermaye bütçelemesi |
|
Nakit girişi analizi |
|
Mevcut yatırımı değerleme |
|
Finansal varlıkların değerlemesi |
Sermaye Bütçelemesi, kârlı yatırım projelerinin araştırılması, analiz edilmesi ve en uygun yatırım projesinin seçim sürecidir.
8.Soru
700.000 Türk Lirası toplam kaynağa sahip olan bir işletmenin sermaye maliyet %15 ise karlılığı aşağıdaki seçeneklerden hangisindeki gibi olursa işletmenin değerinin arttığı söylenebilir?
|
110.000 |
|
100.000 |
|
90.000 |
|
80.000 |
|
70.000 |
Sermaye maliyeti işletmelerin performans değerlendirmesi için faydalı olabilir. Örneğin, T700.000 toplam kaynağa sahip bir işletme için sermaye maliyeti %15 olduğu kabul edilirse, bu iki değerin çarpımı (700.000*0,15) olan T105.000 tutarı işletme performansını değerlendirilmesinde kullanılır. Eğer işletme varlıklarının kârlılığı T105.000 değerinden daha düşük ise işletme değerini düşürüyor, tam tersi ise işletme değerini arttırıyor demektir. Doğru yanit A seçeneğidir.
9.Soru
Aşağıdakilerden hangisi nominal değerinden daha aşağı bir bedelle satışa çıkarılan tahvilleri ifade etmektedir?
|
Başabaş tahvil |
|
İkramiyeli Tahvil |
|
Primli tahvil |
|
Endeksli tahvil |
|
Primsiz tahvil |
Nominal değerinden daha aşağı bir bedelle satışa çıkarılan tahvillere primli tahvil denilmektedir.
10.Soru
Öz kaynakların piyasa değeri 600.000 ve borçların değer 300.000 ise sermaye bileşenleri toplamı 900.000 olur. Bu durumda borçların ağırlığı yüzde kaçtır?
|
%66,6 |
|
%50 |
|
%43,3 |
|
%33,3 |
|
%23,3 |
Tüm sermaye bileşenlerinin tutarları belirlendikten sonra her bir bileşen toplanır ve bu toplam içerisinde düzeylerine dayanarak sermaye bileşenlerinin ağırlıkları tespit edilir. Borçların ağırlığı 300.000/900.000=%33,3 olur. Doğru yanıt D seçeneğidir.
11.Soru
Genellikle piyasada tam olarak tanınmayan ve piyasalardan uygun şartlarda fon sağlayamayan, imalat, inşaat ve ulaştırma sektörlerinde faaliyet gösteren küçük ve orta büyüklükteki işletmeler büyük ölçüde hangi krediden yararlanmaktadır?
|
Orta vadeli banka kredileri |
|
Rotatif krediler |
|
Orta vadeli yatırım malları kredileri |
|
Forfaiting |
|
Leasing |
Orta vadeli yatırım malları kredilerinden genellikle piyasada tam olarak tanınmayan ve piyasalardan uygun şartlarda fon sağlayamayan, imalat, inşaat ve ulaştırma sektörlerinde faaliyet gösteren küçük ve orta büyüklükteki işletmeler büyük ölçüde
yararlanmaktadır. Bu tür krediler yardımıyla belirtilen türdeki işletmeler, başka yolla satın alamayacakları sabit kıymetlere uygun koşullarda kavuşabilmektedir. Bu nedenle doğru cevap C şıkkıdır.
12.Soru
Tahvillerde anapara ve faiz ödemelerinin bugünkü değerini tahvilin piyasa fiyatına eşitleyen iskonto oranına ne ad verilir?
|
Piyasa risk primi |
|
Borç maliyeti |
|
Temerrüt riski |
|
Vadeye kadar getiri |
|
Beta katsayısı |
Vadeye Kadar Getiri: Tahvillerde anapara ve faiz ödemelerinin bugünkü değerini tahvilin piyasa fiyatına eşitleyen iskonto oranıdır.
13.Soru
60 TL tutarında bir pay senedi ihracında 10 TL ’lik çıkarım maliyeti varsa ve pay senedinin sürekli olarak (büyüme göstermeyen) 4 TL tutarında yıllık kâr payı ödemesi gerçekleştireceği kabul edilirse, adi pay senedinin maliyeti ne olur?
|
%8 |
|
%10 |
|
%10,5 |
|
%11 |
|
%12 |
Ke=4/(60-10)
Ke=0,08
Ke=%8
14.Soru
I. Tahvil ihracı
II. Pay senedi ihracı
III. Otofinansman
IV. Kredi kullanımı
V. Leasing
Yukarıdakilerden hangileri işletmelerin uzun vadeli finansman sağlama yollarındandır?
|
Yalnız I |
|
I ve II |
|
I, II ve III |
|
I, II, III ve IV |
|
I, II, III, IV ve V |
Sermaye piyasası gelişmiş olan ekonomilerde işletmelerin borçlanma ile uzun vadeli kaynak sağlamada en çok başvurdukları yollardan birisi tahvil ihraç etmektir. İşletmeler benzer şekilde uzun vadeli finansman ihtiyacını pay senedi ihracıyla da sağlayabilirler. Bazı durumlarda ise işletmeler otofinansman yoluyla özkaynaklarını artırabilecekleri gibi, finansal kurumlardan uzun vadeli borç alarak yabancı kaynaklardan fon sağlamaktadırlar.
Leasing orta vadeli yatırım malları kredisidir.
15.Soru
Aşağıdaki seçeneklerden hangisinde Modigliani ve Miller'ın mükemmel piyasa koşullarını ifade eden varsayımlarından biri yanlış verilmiştir?
|
Vergi yükümlülüğü bulunmaktadır. |
|
Yatırımcılar ve işletmeler eş oranda borçlanabilmektedir. |
|
Komisyon maliyetleri yoktur. |
|
Faiz ve vergi öncesi kâr borç kullanımı ile etkilenmez. |
|
İflas maliyetleri yoktur. |
Modigliani ve Miller (MM) güçlü varsayımlar altında, işletme faaliyetlerinin nasıl finanse edildiğinin önemsiz olduğunu öne sürmüşlerdir. Mükemmel piyasa koşullarını ifade eden varsayımlar aşağıda yer almaktadır:
• Komisyon maliyetleri yoktur.
• Vergi yükümlülüğü bulunmamaktadır.
• İflas maliyetleri yoktur.
• Yatırımcılar ve işletmeler eş oranda borçlanabilmektedir.
• Bütün yatırımcılar işletmenin yatırım fırsatları hakkında işletme yöneticileri kadar bilgiye sahiptir.
• Faiz ve vergi öncesi kâr borç kullanımı ile etkilenmez. Doğru yanıt A seçeneğidir.
16.Soru
Belli bir varlığı, önceden belirlenmiş fiyat üzerinden, belirlenmiş bir tarihte veya öncesinde, alma veya satma hakkı veren menkul kıymet aşağıdakilerden hangisidir?
|
Eurotahvil |
|
Euro-bond |
|
Tahvil |
|
Varant |
|
Pay senedi |
Varant, belli bir varlığı, önceden belirlenmiş fiyat üzerinden, belirlenmiş bir tarihte veya öncesinde, alma veya satma hakkı veren bir menkul kıymettir. Varantlar banka ve aracı kurum gibi finansal kuruluşlar tarafından ihraç edilebileceği gibi (finansal varantlar), işletmeler tarafından da (şirket varantları) ihraç edilebilmektedir.
Varantlar borsada kote olan finansal araçlar olup, kolayca alınıp satılabilmektedir ve dayanak varlığı pay senedi, endeks, döviz, emtia v.b. olabilmektedir. Finansal varantlarda, varantın türünü dayanak varlıklar belirlemektedir.
İşletmelerin ya da diğer finansal kuruluşların ihraç ettiği varantlar işletmeler için alternatif bir finansman aracı niteliğinde, sermaye piyasaları içinse çeşitliliği artıracak bir finansal araç niteliğindedir.
17.Soru
Dinamik yöntemler ile ilgili aşağıdakilerden hangisi söylenemez?
|
Bu yöntemlerde paranın zaman değeri dikkate alınmaz. |
|
Sermaye, sahiplerinin kredi değerliliklerine göre farklılaşmaya tabi değildir. |
|
Sermaye sunanlar ve ihtiyaç duyanlar kısıtlama olmaksızın pazara girebilirler. |
|
Pazarın şeffaflığı nedeniyle tek bir faiz oranı söz konusudur. |
|
Gelecekteki nakit giriş ve çıkışları bugünkü değere indirgenir. |
Dinamik yöntemler, paranın zaman değerini göz önünde bulunduran yöntemlerdir. Diğer bir ifadeyle farklı zaman noktalarındaki aynı tutarda nakit akışlarının aynı değerde olmayacağını kabul eden yöntemlerdir.
18.Soru
Aşağıdakilerden hangisi öz kaynak maliyetinin belirlenmesinde dikkate alınmaz?
|
Banka kredileri |
|
Adi pay senetlerinin maliyeti |
|
İmtiyazlı pay senetleri |
|
Dağıtılmamış kârların maliyeti |
|
Amortisman fonlarının maliyeti |
Öz kaynak maliyeti hissedarların işletmeye sağladıkları fonlar karşılığında bekledikleri getiri oranıdır. Öz kaynak kapsamına adi pay senetleri, imtiyazlı pay senetleri, dağıtılmayan kârlar ve amortisman fonları dahil edilmektedir. Banka kredileri yabancı kaynak maliyeti kapsamındadır.
19.Soru
Aşağıdakilerden hangisi forfaiting işleminde alacağı devir alan tarafı ifade etmektedir?
|
Faktor |
|
Garantör |
|
Forfaitist |
|
Lessor |
|
Forfaiter |
Forfaiting, ihracatçı şirketin vadesi 3-4 yıla kadar olan emre yazılı senetlerinin bankalar (forfaiter) tarafından satın alındığı orta vadeli ihracat finansmanı yöntemidir. Forfaiting işleminde alacağı devir alan tarafa "forfaiter" adı verilmektedir.
20.Soru
Aşağıdakilerden hangisi gerçek varlıkları değerlemeye olanak sağlayan opsiyonlardır?
|
Reel opsiyon
|
|
Başabaş opsiyon
|
|
Amerikan tipi opsiyon
|
|
Avrupa tipi opsiyon
|
|
Egzotik opsiyon
|
-
- 1.SORU ÇÖZÜLMEDİ
- 2.SORU ÇÖZÜLMEDİ
- 3.SORU ÇÖZÜLMEDİ
- 4.SORU ÇÖZÜLMEDİ
- 5.SORU ÇÖZÜLMEDİ
- 6.SORU ÇÖZÜLMEDİ
- 7.SORU ÇÖZÜLMEDİ
- 8.SORU ÇÖZÜLMEDİ
- 9.SORU ÇÖZÜLMEDİ
- 10.SORU ÇÖZÜLMEDİ
- 11.SORU ÇÖZÜLMEDİ
- 12.SORU ÇÖZÜLMEDİ
- 13.SORU ÇÖZÜLMEDİ
- 14.SORU ÇÖZÜLMEDİ
- 15.SORU ÇÖZÜLMEDİ
- 16.SORU ÇÖZÜLMEDİ
- 17.SORU ÇÖZÜLMEDİ
- 18.SORU ÇÖZÜLMEDİ
- 19.SORU ÇÖZÜLMEDİ
- 20.SORU ÇÖZÜLMEDİ