Finansal Yönetim Final 6. Deneme Sınavı
Toplam 20 Soru1.Soru
Bir unvana sahip, esas sermayesi muayyen ve paylara bölünmüş olan ve borçlarından dolayı yalnız malları ile mesul olan ortaklık türü aşağıdakilerden hangisidir?
|
Adi ortaklık |
|
Komandit ortaklık |
|
Şahıs işletmesi |
|
Anonim ortaklık |
|
Kollektif şirket |
Bir unvana sahip, esas sermayesi muayyen ve paylara bölünmüş olan ve borçlarından dolayı yalnız malları ile mesul olan ortaklık olarak tanımlanan anonim şirket, bugünün ticari dünyasında en önemli işletme yapısıdır.
2.Soru
Proforma finansal tablo hazırlama sürecinde işletmeler, ilk olarak aşağıdakilerden hangisini tahmin ederek işe başlarlar?
|
Fon akım tablosu
|
|
Gelir tablosu
|
|
Kâr Dağıtım Tablosu
|
|
Öz kaynaklar değişim tablosu
|
|
Satışların maliyeti tablosu
|
3.Soru
I. İşletmenin daima ihtiyacından fazla elinde fon bulundurması,
II. Uzun vadeli kredilerin faizleri kısa vadelilerden fazla olduğu için, işletmenin finansman maliyetinin artması,
III. Sık sık kısa vadeli borçlarını yenileme zorunluluğu bulunması
Yukarıdakilerden hangisi ya da hangileri Muhafazakâr yaklaşım yönteminin sakıncalarındandır?
|
Yalnız I |
|
Yalnız II |
|
I ve II |
|
II ve III |
|
I, II ve III |
Muhafazakâr yaklaşım yönteminin sakıncaları; İşletmenin daima ihtiyacından fazla elinde fon bulundurması ve uzun vadeli kredilerin faizleri kısa vadelilerden fazla olduğu için, işletmenin finansman maliyetinin artmasıdır. Aksine işletme elinde bol miktarda ve uzun vadeli fon tutarak, sık sık kısa vadeli borçlarını yenileme zorunluluğundan kurtulmaktadır. Dolayısı ile I ve II numaralı maddeler Muhafazakâr yöntemin sakıncalarından olup, III numaralı madde ise yöntemin yararlarından biridir.
4.Soru
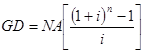
Aşağıdaki tabloda 5 yıl boyunca birbirine eşit olan nakit akış değerleri gösterilmiştir. Faiz oranının %25 olduğu dikkate alınırsa 5.yılın sonundaki nakit akışlarının değeri nedir?
|
151,24 |
|
153,47 |
|
164,14 |
|
172,46 |
|
175,59 |
Her dönem sonunda birbirine eşit nakit akışlarının olduğu durumda bunlara anüite denilmekle beraber gelecekteki değer şu şekilde hesaplanmaktadır:
GD=20 x 8,207=164,14TL
Doğru cevap C'dir.
5.Soru
işletmelerin yatırım, finanslama ve mevcut varlıklarını iyi bir şekilde yönetebilmeleri için satışlarını, gelirlerini, varlıklarını ve kaynaklarını tahmin etmeleri süreci aşağıdakilerden hangisidir?
|
Finansal planlama |
|
Finansal analiz |
|
Finansal yönetim |
|
finansman |
|
Mali analiz |
Finansal planlama; işletmelerin yatırım, finanslama ve mevcut varlıklarını iyi
bir şekilde yönetebilmeleri için satışlarını, gelirlerini, varlıklarını ve kaynaklarını
tahmin etmeleri sürecidir. Sonuç itibari ile finansal planlama faaliyetinin temel
amacı finansal tabloların tahmin edilmesidir.
6.Soru
Önümüzdeki yıl hisse başına 0,60 TL. kâr payı dağıtacağı bildirilen A işletmesinin, kâr paylarının her yıl %5 büyüyeceği tahmin edilmektedir. Bu hisse senedi şu anda 6 TL’ye satılmaktadır. Hisse başına 0,15 ihraç giderine katlanılmıştır. Bu işletme için hisse senedi maliyeti aşağıdakilerden hangisidir?
|
% 16 |
|
% 18 |
|
% 20 |
|
% 25 |
|
% 27 |
Ke = 0,6 + 0,05 = %16
6 (1-0,15)
7.Soru
Bir işletmenin sabit giderleri (SG) 80.000, vergi ve faiz öncesi karı (VFÖK) 15.000 TL ise, faaliyet kaldıracı derecesi (FAKD) aşağıdakilerden hangisidir?
|
5,33 |
|
4,33 |
|
7 |
|
4 |
|
6,33 |
FAKD= FVÖK + SG
FVÖK
FAKD= 15000+ 80.000= 6,33
15.000
8.Soru
Aşağıdakilerden hangisi borsa performans oranlarından biri değildir?
|
Piyasa değeri/defter değeri
|
|
Fiyat kazanç oranı
|
|
Otofinansman oranı
|
|
Temettü verim oranı
|
|
Kâr payı getirisi
|
9.Soru
Dönen varlıkların finansmanı konusunda aşağıda yer alan yaklaşımlardan hangisinin en önemli avantajı işletmenin elinde bol miktarda ve uzun vadeli fon tutarak, sık sık kısa vadeli borçlarını yenileme zorunluluğundan kurtulmasıdır?
|
Dengeli yaklaşım |
|
Muhafazakar yaklaşım |
|
Geleneksel yaklaşım |
|
Atak yaklaşım |
|
Modern yaklaşım |
Muhafazakâr yaklaşımın riski daha azdır ve bu yöntemde devamlı olarak bir ihtiyat payı tutulmaktadır. İşletme bir süre kısa vadeli borç bulamasa bile durumunu idare edebilmektedir. Bu yaklaşımın en önemli avantajı işletmenin elinde bol miktarda ve uzun vadeli fon tutarak, sık sık kısa vadeli borçlarını yenileme zorunluluğundan kurtulmasıdır. Borç yenilemede işletme bankaya tekrar başvuracağından, zaman zaman aksama ve gecikme yaratabilmektedir. Doğru cevap B'dir.
10.Soru
Hammaddeleri ortalama işlem yapmaya hazır hale getirme nakit döngüsü içerisinde aşağıdaki sürelerin hangisi ile ilişkilidir?
|
Alacak devir hızı süresi |
|
Stok çevrim süresi |
|
Satıcılara yapılan ödemelerin devir süresi |
|
Sürekli çalışma sermayesi |
|
Hiçbiri |
Stok çevrim süresi hammaddeleri ortalama işlem yapmaya hazır hale getirme, işleme ve müşterilere satma süresi olarak bilinmektedir.
11.Soru
Beklenen getiri nedir?
|
Riskli getiri - Risksiz getiri |
|
Riskli getiri / faiz |
|
Faiz / getiri |
|
Riskli getiri + risk pirimi |
|
Risksiz getiri /prim |
Sermaye Varlıklarını Fiyatlama Modeli (SVFM), riskli varlıkların fiyatlanmasında kullanılan bir modeldir. Bir riskli varlığın beklenen getirisinin, risksiz getiri ve risk primine eşit olacağını ileri sürer. Yani;
Beklenen getiri = Risksiz getiri + Risk primi
12.Soru
I. Muhafazakar yaklaşım II. Dengeli yaklaşım III. Atak yaklaşım Ekonomide yeni bir kriz bekleyen işletmeler yukarıdaki çalışma sermayesi politikalarından hangilerini uygulamalıdır?
|
Yalnız I |
|
Yalnız II |
|
Yalnız III |
|
I ve II |
|
II ve III |
Ekonomide eğer bir kriz bekleniyorsa uygun olan politika muhafazakar yaklaşım olacaktır.
13.Soru
Aşağıdaki yaklaşımlardan hangisinde “işletme dönen varlıkların devamlı kısmını ve tüm duran varlıkları uzun vadeli fonlarla, dönen varlıkların kısa vadeli ve mevsimlik dalgalanmalarını kısa vadeli yükümlülüklerle finanse etmelidir” görüşü desteklenmektedir?
|
Dengeli yaklaşım |
|
Muhafazakar yaklaşım |
|
Geleneksel yaklaşım |
|
Atak yaklaşım |
|
Modern yaklaşım |
Dönen varlıkların finansmanı konusunda genel olarak üç değişik yaklaşım söz konusudur:
- Dengeli (Korumalı) yaklaşım,
- Muhafazakâr yaklaşım,
- Atak yaklaşım.
Dengeli (Korumalı) yaklaşımda, işletme dönen varlıkların devamlı kısmını ve tüm duran varlıkları uzun vadeli fonlarla, dönen varlıkların kısa vadeli ve mevsimlik dalgalanmalarını kısa vadeli yükümlülüklerle finanse etmelidir görüşü desteklenmektedir. Bu yaklaşımın amacı vade eşlemesidir. Böylece kısa ve uzun vadeli faizlerdeki değişim bilançonun her iki tarafını da eşit bir şekilde etkileyecektir.
Doğru cevap A'dır.
14.Soru
%100 özkaynakla finanse edilmiş bir işletme ile ilgili aşağıdaki ifadelerden hangisi doğrudur?
|
İşletmenin sermaye maliyeti, borç ve özkaynağın ağırlıklı ortalamasıdır.
|
|
İşletmenin sermaye maliyeti, marjinal sermaye maliyetine eşittir.
|
|
İşletmenin sermaye maliyeti, piyasa değerlerine göre ağırlıklandırılmış sermaye maliyetine eşittir.
|
|
İşletmenin sermaye maliyeti, özkaynak maliyetine eşittir.
|
|
İşletmenin sermaye maliyeti oldukça yüksektir.
|
15.Soru
İşletmenin bir finansman kaynağından sağladığı net nakit girişini, bu kaynağı kullanmanın neden olacağı nakit çıkışlarının bugünkü değerine eşitleyen iskonto oranı aşağıdakilerden hangisidir?
|
Tahvilin maliyeti |
|
Hisse senedi maliyeti |
|
Sermaye maliyeti |
|
Ticari kredi maliyeti |
|
Özkaynak maliyeti |
Sermaye maliyeti; işletmenin bir finansman kaynağından sağladığı net nakit girişini, bu kaynağı kullanmanın neden olacağı nakit çıkışlarının bugünkü değerine eşitleyen iskonto oranıdır.
16.Soru
Rotatif krediler olarak da adlandırılan kredi aşağıdakilerden hangisidir?
|
İskonto Kredisi |
|
Spot Kredi |
|
Açık Kredi |
|
Borçlu Cari Hesap |
|
Akreditif Kredisi |
Borçlu Cari Hesap: Borçlu cari hesap bankaların işletmelere kısa vadeli finansman ihtiyaçlarını karşı- lamaları için açmış oldukları esnek bir kredi türü olup rotatif krediler olarak da adlandırılmaktadır.
17.Soru
Aşağıdakilerden hangisi finansal kiralamanın (leasing) sakıncalarından biridir?
|
Sınırlamaların azlığı |
|
Teknolojik gelişmeler |
|
Esnek ödeme koşulları |
|
Kullanımdaki sınırlamalar |
|
Finansal oranlara etkisi |
Finansal kiralamanın sakıncaları şunlardır:
1. Kullanımdaki Sınırlamalar
2. Hurda Değer
3. Kredi Değerliliğinde Düşme
18.Soru
I. Sabit maliyet II. Değişken maliyet III. Satış hacmi IV. Kâr Yukarıdakilerden hangileri başabaş analizinde kullanılan girdilerdendir?
|
Yalnız I |
|
I ve II |
|
I, II ve III |
|
II, III ve IV |
|
I, II, III ve IV |
Başabaş analizi bir işletmenin sabit maliyetleri, değişken maliyetleri, satış hacmi ve kârları arasındaki ilişkileri inceleyen yönteme verilen isimdir. Bu analiz sayesinde bir işletmenin hangi satış hacminde kâra geçebileceği görülebileceği gibi, sabit ve değişken giderlerin kâr üzerindeki etkisinin de bir ölçüde anlaşılması sağlanacaktır.
19.Soru
Yatırımın tutarı 1.500.000 TL, ekonomik ömrü 4 yıl olan bir yatırım projesinden sırasıyla, birinci yılda 900.000 TL, ikinci yılda 800.000 TL, üçüncü yılda 700.000 TL ve dördüncü yılda 600.000 TL net kâr beklenmektedir. Bu verilere göre projenin ortalama muhasebe getirisi aşağıdakilerden hangisidir?
|
%30 |
|
%40 |
|
%50 |
|
%60 |
|
%70 |
Ortalama Muhasebe Getirisi = (Ortalama Net Kâr) / (Yatırım Tutarı) eşitliği yardımıyla elde edilir. Bu eşitlikte problemden elde edilen veriler yerine konulduğunda Ortalama Muhasebe Getirisi = ((900.000 + 800.000 + 700.000 + 600.000) / 4) / (1.500.000) = %50 olarak bulunur.
20.Soru
İşletmenin tabi olduğu vergi oranı %30 iken, %45 faizli ve 1 yıl vadeli banka kredisinin işletmeye olan maliyeti nedir?
|
0,31 |
|
0,25 |
|
0,35 |
|
0,40 |
|
0,21 |
Borcun Vergi Sonrası Maliyeti = 0.45 (1-0,30) = 0,31
-
- 1.SORU ÇÖZÜLMEDİ
- 2.SORU ÇÖZÜLMEDİ
- 3.SORU ÇÖZÜLMEDİ
- 4.SORU ÇÖZÜLMEDİ
- 5.SORU ÇÖZÜLMEDİ
- 6.SORU ÇÖZÜLMEDİ
- 7.SORU ÇÖZÜLMEDİ
- 8.SORU ÇÖZÜLMEDİ
- 9.SORU ÇÖZÜLMEDİ
- 10.SORU ÇÖZÜLMEDİ
- 11.SORU ÇÖZÜLMEDİ
- 12.SORU ÇÖZÜLMEDİ
- 13.SORU ÇÖZÜLMEDİ
- 14.SORU ÇÖZÜLMEDİ
- 15.SORU ÇÖZÜLMEDİ
- 16.SORU ÇÖZÜLMEDİ
- 17.SORU ÇÖZÜLMEDİ
- 18.SORU ÇÖZÜLMEDİ
- 19.SORU ÇÖZÜLMEDİ
- 20.SORU ÇÖZÜLMEDİ