Genel Matematik Ara 18. Deneme Sınavı
Toplam 20 Soru1.Soru
|
-1 ile 1 arasında değerler alır |
|
0 ile -1 arasında değerler alır |
|
0 ile 1 arasında değerler alır |
|
1’den büyük değerler alır |
|
-1’den küçük değerler alır |
2.Soru
Bir fonksiyonun tersinin olabilmesi için gerek ve yeter şart hangisidir?
|
Birim fonksiyon olması |
|
Birebir olması
|
|
Örten olması
|
|
Birebir ve örten olması |
|
Sabit fonksiyon olması |
Genel olarak bire-bir ve örten bir
fonksiyonu verildiği takdirde, o fonksiyonun ters fonksiyonu,
B kümesinden alınan bir b elemanını f(a) = b özelliğine sahip a elemanına gönderen bir fonksiyondur. Dolayısıyla cevap D seçeneğidir.
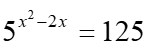
4.Soru
eşitliğinde x’in alabileceği değerlerin kümesi aşağıdakilerden hangisidir?
|
{0, 1} |
|
{1, 3} |
|
{-1, 3} |
|
{-1, 0} |
|
{-2, 1} |
eşitliğinden üstler eşit olduğundan tabanlarda eşit olmalıdır. x2-2x=3 olduğundan x2-2x-3=0 ve (x-3)(x+1)=0 yazılabilir. Buradan x =3 ve x = -1 elde edilir. Doğru cevap C'dir.
5.Soru
, f(x)=x2+3x+1 fonksiyonu veriliyor. f(2)+4f(0) değeri aşağıdakilerden hangisine eşittir?
|
11 |
|
15 |
|
13 |
|
14 |
|
12 |
f(2)=22+3.2+1=11 ve f(0)=0+1=1 olduğundan f(2)+4f(0)=11+1=12 olur. Doğru cevap E'dir.
6.Soru
f(x)=5x-2 olmak üzere, f-1(3) kaçtır?
|
1 |
|
2 |
|
3 |
|
4 |
|
5 |
f(x)=3 buradan 5x-2=3'ten 5x=3+2=5 olur, yani x=1'dir.
7.Soru
Bir babanın yaşı oğlunun yaşının 4 katıdır. 6 yıl önce babanın yaşı oğlunun yaşının 10 katı olduğuna göre, çocuğun yaşı aşağıdakilerden hangisidir?
|
12 |
|
11 |
|
10 |
|
9 |
|
8 |
Çocuğun bugünkü yaşına x dersek babanın yaşı 4x olur. 6 yıl önce ise çocuk x-6 ve baba 10(x-6) yaşındaydı. Buna göre
4x-6=10(x-6)
4x-6=10x-60
6x=54
x=9
8.Soru
f : R→R, f(x) = (a+b-3)x2 – (a-1) x +c + 2 fonksiyonu birim fonksiyon ise a + b + c toplamı aşağıdakilerden hangisidir?
|
0 |
|
-1 |
|
1 |
|
2 |
|
3 |
f(x) = (a+b-3 )x2 – (a-1) x + c +2 fonksiyonu birim fonksiyon ise f(x) = x olmalıdır. Buradan,
a + b -3 = 0, - (a -1) = 1 ve c + 2 = 0 alırsak
a = 0, b = 3 ve c = -2 olur.
a + b + c = 0 + 3 – 2 = 1 olacaktır.
9.Soru
8. 60 kişilik bir sınıfta öğrencilerin 50 tanesi İngilizce, 32’si Almanca ve 26’sı Fransızca biliyor. Bu sınıfta, 27 öğrenci İngilizce ve Almanca, 23 öğrenci İngilizce ve Fransızca, 7 öğrenci Almanca ve Fransızca biliyor. Bu sınıfta, 4 öğrenci bu üç dili de biliyor ise kaç öğrenci bu üç dilin hiçbirisini bilmemektedir?
|
1 |
|
2 |
|
3 |
|
4 |
|
5 |
Soruda verilenleri Venn şeması ile gösterecek olursak
10.Soru
loga64=3 ise a'nın değeri kaçtır?
|
2 |
|
3 |
|
4 |
|
5 |
|
8 |
Logaritma tanımından a3=64 buradan a3=43=64 olduğundan a=4 bulunur.
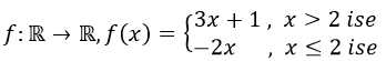
11.Soru
fonksiyonu verilsin. Buna göre, f(2)-f(3) kaçtır?
|
-14 |
|
-6 |
|
-2 |
|
6 |
|
14 |
f(2)=-2.2=-4 ve f(3)=3.3+1=10 olduğundan f(2)-f(3)=-4-10=-14 olur.
12.Soru
Aşağıdaki ifadelerden hangisi yanlıştır?
|
Farklı iki noktadan bir tek doğru geçer.
|
|
Düzlemde bir noktadan sonsuz çoklukta doğru geçer.
|
|
Düzlemde eğimleri eşit olan doğrular bir noktada kesişirler.
|
|
Doğru üzerinde alınan farklı her hangi iki noktanın, ordinatları farkının apsisleri farkına oranı sabittir.
|
|
Kesişim noktası her iki doğrunun da üzerindedir.
|
13.Soru
x2-4x+3=0 denkleminin çözüm kümesi aşağıdakilerden hangisidir?
|
{1,3} |
|
{-1,3} |
|
{-1,-3} |
|
{1,-3} |
|
|
x2-4x+3=0 denklemini çözmek için önce ? hesaplanır.
15.Soru
A ve B kentleri arası 240 km'dir. Aynı anda A kentinden saatte 50 km hızla B kentine giden bir araç ile B kentinden A kentine saatte 70 km hızla giden bir araç kaç saat sonra karşılaşır?
|
1 |
|
2 |
|
3 |
|
4 |
|
5 |
Araçların karşılaşma saatine t dersek,
50.t+70.t=240 olur.
120t=240
t=2
Doğru cevap B şıkkıdır.
16.Soru
A={0,1,2,3,4,5}, B={1,3,5,7} ve C={0,2,4,6} kümeleri verilsin. Buna göre aşağıdakilerden hangisi doğrudur?i. A\B ? Cii. C\A ? Biii. C\B = A
|
Yalnız i.
|
|
Yalnız ii.
|
|
Yalnız iii.
|
|
i. ve ii.
|
|
ii. ve iii.
|
18.Soru
Nüfusu 756 kişi olan yerleşim yerinin nüfus artış oranının %3 olduğu biliniyor. 2 yıl sonunda bu yerleşim yerinin nüfusu kaç kişi olur?
|
760
|
|
770
|
|
782
|
|
792
|
|
802
|
19.Soru
Aşağıda verilen logaritma fonksiyonu ile ilgili bilgilerden hangisi/hangileri doğrudur?
|
I-II |
|
I-IV |
|
I-II-III |
|
I-III-IV |
|
I-II-III-IV |
Tüm maddeler doğrudur. O nedenle doğru yanıt E şıkkıdır. Konuyu hatırlayalım:
20.Soru
x2-5x+4>0 eşitsizliğinin çözüm kümesi aşağıdakilerden hangisidir?
|
(1,4) |
|
(-∞,∞) |
|
(-∞,1)∪(4,∞) |
|
(-∞,0)∪(1,∞) |
|
(4,∞) |
-
- 1.SORU ÇÖZÜLMEDİ
- 2.SORU ÇÖZÜLMEDİ
- 3.SORU ÇÖZÜLMEDİ
- 4.SORU ÇÖZÜLMEDİ
- 5.SORU ÇÖZÜLMEDİ
- 6.SORU ÇÖZÜLMEDİ
- 7.SORU ÇÖZÜLMEDİ
- 8.SORU ÇÖZÜLMEDİ
- 9.SORU ÇÖZÜLMEDİ
- 10.SORU ÇÖZÜLMEDİ
- 11.SORU ÇÖZÜLMEDİ
- 12.SORU ÇÖZÜLMEDİ
- 13.SORU ÇÖZÜLMEDİ
- 14.SORU ÇÖZÜLMEDİ
- 15.SORU ÇÖZÜLMEDİ
- 16.SORU ÇÖZÜLMEDİ
- 17.SORU ÇÖZÜLMEDİ
- 18.SORU ÇÖZÜLMEDİ
- 19.SORU ÇÖZÜLMEDİ
- 20.SORU ÇÖZÜLMEDİ