Genel Matematik Ara 20. Deneme Sınavı
Toplam 20 Soru1.Soru
3x2 – 5x + 7 = 0 denkleminin çözüm kümesi aşağıdakilerden hangisidir?
|
{0,1} |
|
{-1} |
|
{1,2} |
|
{3} |
|
Ø |
3x2 – 5x + 7 = 0 denklemini çözmek için önce ? hesaplanır.
? = -59 negatif olduğundan gerçel çözümü yoktur. Dolayısıyla çözüm kümesi boş küme olacaktır.
2.Soru
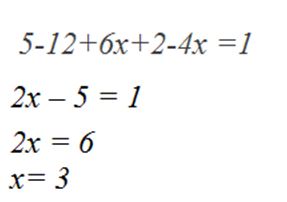
3x+4 = 4x-2 denkleminin çözümü aşağıdakilerden hangisidir?
|
6
|
|
5
|
|
4
|
|
3
|
|
2
|
3.Soru
Yarılanma ömrü 15 yıl olan bir radyoaktif maddeden 800 gram vardır. Buna göre 60 yıl sonra bu maddeden kaç gram kalır?
|
25
|
|
50
|
|
100
|
|
200
|
|
400
|
4.Soru
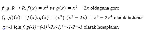
f : IR › IR ; f(x)=x-1 ve g : IR›IR ; g(x)=x^2-1 ise (g-4f)(x)=?
|
x^2+x-1
|
|
x^2+4x-1
|
|
x^2-4x + 3
|
|
x^2+x+1
|
|
x^2+x
|
5.Soru
f(x)=2x üstel fonksiyonu y=2 doğrusunu kaç noktada keser?
|
|
|
3 |
|
2 |
|
1 |
|
0 |
x eksenine paralel olarak çizilen bir doğru üstel fonksiyonun grafiğini en fazla bir noktada keser. Doğru cevap D'dir.
6.Soru
f(x)=x2 fonksiyonu verilsin. f(1) - f(-1) aşağıdakilerden hangisidir?
|
-1 |
|
0 |
|
1 |
|
2 |
|
3 |
olduğundan f(1) - f(-1) = 1 - 1 = 0 olarak bulunur. Doğru cevap B'dir.
7.Soru
(1,2) noktasından geçen ve y=3x+5 doğrusuna paralel olan doğrunun denklemi aşağıdakilerden hangisidir?
|
y = 3x + 1
|
|
y = 3x + 2
|
|
y = 3x - 1
|
|
y = 2x + 1
|
|
y = 2x + 2
|
9.Soru
Milyarda birin 10 tabanına göre logaritması kaçtır?
|
-9
|
|
9
|
|
-6
|
|
6
|
|
1
|
10.Soru
Kısa kenarının uzunluğunun logaritması ile uzun kenarının uzunluğunun logaritmasının toplamından alanının logaritması çıkarıldığında sıfır sayısı elde edilen bir dikdörtgen için aşağıda söylenenlerden hangisi doğrudur?
|
Bu özelliklere sahip bir dikdörtgen yoktur.
|
|
Bu özelliklere sahip yalnızca bir dikdörtgen vardır.
|
|
Bütün dikdörtgenler bu özelliğe sahiptir.
|
|
Köşegen uzunluğu birden büyük olan dikdörtgenler için doğrudur.
|
|
Köşegen uzunluğu birden küçük olan dikdörtgenler için doğrudur.
|
11.Soru
8^x.2^7=4^5 ise x kaçtır?
|
1
|
|
2
|
|
3
|
|
0
|
|
-1
|
12.Soru
(0, -4) ile (1, -1) noktalarından geçen doğru denklemi aşağıdakilerden hangisidir?
|
y=3x
|
|
y=3x-4
|
|
y=-5x-1
|
|
y=-x+1
|
|
y=-3x+1
|
13.Soru
y=x-1 ile y=3x+1 doğrularının kesişim noktası aşağıdakilerden hangisidir?
|
(2, 1)
|
|
(1, 2)
|
|
(-1, -2)
|
|
(-1, 2)
|
|
(1, -2)
|
15.Soru
Gerçel sayılar kümesinden gerçel sayılar kümesine f(x)=2x fonksiyonu verilsin. f(1)+f(2) kaça eşittir?
|
2
|
|
3
|
|
4
|
|
5
|
|
6
|
16.Soru
Toplamları 70 ve çarpımları 1125 olan iki sayıdan küçük olanı aşağıdakilerden hangisidir?
|
15 |
|
25 |
|
35 |
|
45 |
|
55 |
I. sayı x olsun. Bu durumda II. sayı 70-x olur. Çarpımları x(70-x)=1125 olarak verilmiştir. x2-70x+1125=0 denkleminin kökleri x=25 ve x=45 olduğundan küçük olan sayı 25 olarak bulunur. Dolayısıyla doğru cevap B'dir.
17.Soru
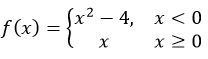
,
parçalı tanımlı fonksiyonunun grafiği aşağıdakilerden hangisidir?
|
|
|
|
|
|
|
|
|
|
Fonksiyon 0'dan küçük değerlerde x=-2 ve y=-4 noktalarından geçen bir parabolü, 0 noktasında f(0)=0 değerini ve sıfırdan büyük değerlerde y=x grafiğini yansıtmaktadır. Dolayısıyla cevap A seçeneğidir.
18.Soru
fonksiyonu veriliyor.
kaça eşittir?
|
2 |
|
3 |
|
4 |
|
5 |
|
6 |
f(5)=3.5-5=10 ve f(3)=3.3-5=4 olduğundan f(5)-2f(3)=10-2.4=10-8=2 bulunur.
19.Soru
log3 ?81 . log?100 ifadesinin değeri aşağıdakilerden hangisidir?
|
8
|
|
4
|
|
5
|
|
2
|
|
6
|
20.Soru
ise (f.g)(1) değeri aşağıdakilerden hangisidir?
|
-2 |
|
-1 |
|
0 |
|
1 |
|
2 |
(f.g)(1)=f(1).g(1)=(12+1).(13-1)=2.0=0 olur. Doğru cevap C'dir.
-
- 1.SORU ÇÖZÜLMEDİ
- 2.SORU ÇÖZÜLMEDİ
- 3.SORU ÇÖZÜLMEDİ
- 4.SORU ÇÖZÜLMEDİ
- 5.SORU ÇÖZÜLMEDİ
- 6.SORU ÇÖZÜLMEDİ
- 7.SORU ÇÖZÜLMEDİ
- 8.SORU ÇÖZÜLMEDİ
- 9.SORU ÇÖZÜLMEDİ
- 10.SORU ÇÖZÜLMEDİ
- 11.SORU ÇÖZÜLMEDİ
- 12.SORU ÇÖZÜLMEDİ
- 13.SORU ÇÖZÜLMEDİ
- 14.SORU ÇÖZÜLMEDİ
- 15.SORU ÇÖZÜLMEDİ
- 16.SORU ÇÖZÜLMEDİ
- 17.SORU ÇÖZÜLMEDİ
- 18.SORU ÇÖZÜLMEDİ
- 19.SORU ÇÖZÜLMEDİ
- 20.SORU ÇÖZÜLMEDİ