Genel Matematik Ara 23. Deneme Sınavı
Toplam 19 Soru1.Soru
A = {1, 2, Elma, Kitap}, B = {2, 3, Ağaç} ve C = {2, 4, 6, Elma, Ağaç} kümeleri veriliyor. Buna göre
kümesi aşağıdakilerden hangisidir?
|
{4, 6, Elma, Ağaç} |
|
{1, 3, 6, Elma} |
|
{1, 3, Kitap} |
|
{6, Kitap, Ağaç} |
|
{4, 6, Ağaç} |
Soruda verilen A ve B kümelerinin birleşimi A U B = {1, 2, 3, Elma, Kitap, Ağaç} olarak elde edilir. C kümesi de C = {2, 4, 6, Elma, Ağaç} olmak üzere sorumuzda fark işlemi ile A birleşim B kümesinde olan fakat C kümesinde olmayan elemanların bulunması istenmektedir. Buradan ilgili küme;
(A U B) \ C = {1, 3, Kitap}
olarak bulunur. Dolayısıyla Doğru Cevap C seçeneği olur.
2.Soru
3 elemanlı bir kümenin alt kümelerinin sayısı aşağıdakilerden hangisidir?
|
2
|
|
3
|
|
5
|
|
6
|
|
8
|
3.Soru
log2128-log1000 ifadesinin değeri aşağıdakilerden hangisidir?
|
8
|
|
7
|
|
6
|
|
5
|
|
4
|
4.Soru
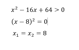
eşitsizliğin çözüm kümesi nedir?
|
R-{8} |
|
{-8,8} |
|
(-8,8) |
|
{8} |
|
R-{5} |
buradan R-{8} elde edilir.
5.Soru
x2-6x+5=0 denkleminin kökleri toplamı kaçtır?
|
1 |
|
-5 |
|
6 |
|
5 |
|
3 |
x2-6x+5=0 denkleminin diskriminantını hesapladığımızda
a=1, b=-6, c=5 olmak üzere;
?=b2-4ac=(-6)2-4.1.5=16>0 olduğundan birbirinden farklı iki reel kökü vardır.
5+1=6
Doğru cevap C şıkkıdır.
6.Soru
Bir öğrenci parasının 1/3'ü ile kalem, geri kalan parasının yarısı ile kitap alıyor. Öğrencinin geriye 20 lirası kaldığına göre bu öğrencinin harcama yapmadan önceki parası kaç liradır?
|
30
|
|
60
|
|
90
|
|
120
|
|
150
|
8.Soru
2(x-4)+1>x+2 eşitsizliğinin çözüm kümesi aşağıdakilerden hangisidir?
|
(9,∞) |
|
(-∞,9) |
|
(-9,9) |
|
[-9,9] |
|
(0,6) |
2(x-4)+1>x+2
2x-8+1>x+2
2x-7>x+2
2x-x>2+7
x>9
9.Soru
log2(x3-26)=0 ise x aşağıdakilerden hangisidir?
|
1 |
|
2 |
|
3 |
|
4 |
|
5 |
log2(x3-26)=0 olduğundan logaritmanın tanımından x3-26=20=1 olur. Denklem düzenlenirse x3=27 ve buradan x=3 elde edilir.
10.Soru
fonksiyonun görüntü kümesi aşağıdakilerden hangisine eşittir?
|
|
|
|
|
|
|
|
|
|
Fonksiyonun görüntü kümesi, tanım kümesinden alınan x sayısı sıfır, pozitif ya da x negatif gerçel sayısının görüntülerinden oluşan kümedir. Bu küme de aralığıdır. Doğru cevap E'dir.
11.Soru
Bir sınıfta 16 öğrencinin dizüstü bilgisayarı 8 öğrencinin de tablet bilgisayarı vardır. 6 öğrencinin de hem tablet hem de dizüstü bilgisayarı olduğuna göre öğrenci sayısını bulunuz?
|
24 |
|
22 |
|
20 |
|
18 |
|
16 |
s(A)=16, s(B)=8, s(A?B)=6 olup
s(A?B)=16+8-6=18 olur.
13.Soru
Aşağıdakilerden hangisi iyi tanımlı bir kümedir?
|
A={1,2,3,4} |
|
A={Matematikten anlayan öğrenciler} |
|
A={Uçan insanlar} |
|
A={Geleceği gören insanlar} |
|
|
Küme kavramını ifade ederken topluluğun “iyi tanımlanmış” nesnelerden ^oluşmasına dikkat edilmelidir. Yani, “iyi tanımlı” ile anlatmak istediğimiz, bir nesnenin bu kümeye ait olup olmadığını kesin olarak ayırt etmemiz için yeterli bilginin verilmiş olmasıdır. B kümesi matematikten anlayan öğrenciler hangi sınıftaki öğrencileri kastediyor belli değildir. C seçeneğinde yer alan uçan insanlar bu insanlar kim ya da böyle bir bigi doğru mu belli değildir. D seçeneğinde yer alan geleceği gören insanların doğru olup olmadığı belli değildir. E seçeneğinde yer alan x sayısının hangi sayı kümesinden oluştuğunu belirtmemiştir. Dolayısıyla doğru cevap A'dır.
14.Soru
işleminin sonucu kaçtır?
|
4 |
|
3 |
|
2 |
|
1 |
|
5 |
olduğundan doğru cevap C şıkkıdır.
15.Soru
log(5x-3)=0 logaritmik fonksiyonunu sağlayan denklemin kökü kaçtır?
|
4/5 |
|
3/5 |
|
1/5 |
|
2 |
|
1 |
log101=0 olduğu için 5x-3=1 olmalıdır.
5x-3=1
x=4/5
16.Soru
log10(0.0001) ifadesinin değeri aşağıdakilerden hangisidir?
|
3 |
|
4 |
|
-4 |
|
5 |
|
-3 |
log10x fonksiyonunun özellikleri gereğince,
Doğru cveap C'dir.
17.Soru
Bir odanın ilk önce 1/3 i boyanıyor. Daha sonra geriye kalanın 4/7 ü boyanıyor. Geriye 2 metre kare kaldığına göre odanın tamamı kaç metre karedir.
|
3
|
|
4
|
|
5
|
|
6
|
|
7
|
18.Soru
Bir milyonun 100 tabanına göre logaritması kaçtır?
|
1
|
|
2
|
|
3
|
|
4
|
|
5
|
19.Soru
Yarı-ömrü 15 saat olan bir radyoaktif maddeden 32 gr vardır. Kaç saat sonra bu maddenin kütlesi 1 gram olur?
|
55
|
|
60
|
|
65
|
|
70
|
|
75
|
-
- 1.SORU ÇÖZÜLMEDİ
- 2.SORU ÇÖZÜLMEDİ
- 3.SORU ÇÖZÜLMEDİ
- 4.SORU ÇÖZÜLMEDİ
- 5.SORU ÇÖZÜLMEDİ
- 6.SORU ÇÖZÜLMEDİ
- 7.SORU ÇÖZÜLMEDİ
- 8.SORU ÇÖZÜLMEDİ
- 9.SORU ÇÖZÜLMEDİ
- 10.SORU ÇÖZÜLMEDİ
- 11.SORU ÇÖZÜLMEDİ
- 12.SORU ÇÖZÜLMEDİ
- 13.SORU ÇÖZÜLMEDİ
- 14.SORU ÇÖZÜLMEDİ
- 15.SORU ÇÖZÜLMEDİ
- 16.SORU ÇÖZÜLMEDİ
- 17.SORU ÇÖZÜLMEDİ
- 18.SORU ÇÖZÜLMEDİ
- 19.SORU ÇÖZÜLMEDİ