Genel Matematik Ara 24. Deneme Sınavı
Toplam 20 Soru1.Soru
İkinci derceden bir bilinmeyenli eşitsizliklerin çözüm kümeleri ile ilgili aşağıdaki ifadelerden hangisi yanlıştır?
|
Çözüm kümesi tüm gerçel sayılar kümesi olabilir.
|
|
Çözüm kümesi boş küme olabilir.
|
|
Çözüm kümesi hem pozitif sayıları hem de negatif sayıları içerebilir.
|
|
Çözüm kümesi tek elemanlı olabilir.
|
|
Çözüm kümesi iki elemanlı olabilir.
|
2.Soru
A={1,2,3,4,5} ve B={2,5,7,9} olduğuna göre A?B aşağıdakilerden hangisidir?
|
{2,7,9}
|
|
{2,3,4,5}
|
|
{2,5}
|
|
{1,2,7,9}
|
|
{1,2,3,4,5,7,9}
|
3.Soru
Melike parasının yarısıyla defter, ’ünü harcayarak da tükenmez kalem almıştır. Melike’nin geriye 25 TL parası kaldığına göre başlangıçta ne kadar parası vardı?
|
50 TL |
|
75 TL |
|
100 TL |
|
125 TL |
|
150 TL |
Melike’nin başlangıçtaki parası Bu durumda önce parasının yarısını sonra da parasının ’ünü harcaması aşağıdaki biçimde ifade edilebilir.
5.Soru
ise log40 yaklaşık olarak kaça eşittir?
|
0,3 |
|
0,6 |
|
1,2 |
|
1,6 |
|
12 |
log40=log4+log10=2.log2+1=2.0,3+1=1,6
6.Soru
Aşağıda verilen önermelerden hangisi/hangileri doğrudur?
|
I-II |
|
II-III |
|
II-IV |
|
II-III-IV |
|
I-II-III-IV |
7.Soru
3x-4=2x+5 denkleminin çözümü aşağıdakilerden hangisidir?
|
9 |
|
-9 |
|
1 |
|
-1 |
|
0 |
3x-4=2x+5 xleri eşitliğin bir tarafa alalım 3x-2x-4=5 Şimdi sayıları diğer tarafa alalım.
x=5+4
x=9
8.Soru
fonksiyonunun tersi aşağıdakilerden hangisidir?
|
(x+4)/3 |
|
x/4 |
|
3x |
|
y+4 |
|
Yoktur. |
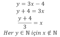
f fonksiyonunun tersi olabilmesi için fonksiyonun birebir ve örten olması gerekir. Fonksiyon birebirdir fakat
olduğu için örten değildir. Dolayısıyla fonksiyonun tersi yoktur.
9.Soru
sayısının değeri aşağıdakilerden hangisidir?
|
1 |
|
-2 |
|
1/2 |
|
-4 |
|
1/4 |
olur.
10.Soru
A={S,E,N,A} kümesine aşağıdaki kümelerden hangisi eşittir?
|
|
|
C={1,2,3,4} |
|
|
|
∅ |
|
E={A,B,C,D} |
Dolayısıyla doğru cevap A'dır.
11.Soru
, f(x)=5x-2 olmak üzere f-1(4) değeri aşağıdakilerden hangisine eşittir?
|
1/5 |
|
4/5 |
|
6/5 |
|
5 |
|
9 |
Tanım kümesinden alınan bir x için f(x)=y ise ters fonksiyon tanımından f-1(y)=x'dir.
y=5x-2 ise x=y/5+2/5 olur. Alıştığımız x değişkenine göre yazılırsa
f-1(x)=x/5+2/5 olur. Yani f-1(4)=4/5+2/5=6/5 olarak elde edilir. Doğru cevap C'dir.
12.Soru
a=1, b=2, c=3, d=?2 ve e=?3 sayılarının küçükten büyüğe sıralanışı aşağıdakilerden hangisidir?
|
a
|
|
a
|
|
a
|
|
a
|
|
a
|
13.Soru
Ali kırtasiyeden 5 kalem, 2 silgi ve 2 defter alıyor. Kalem 120 kuruş, silgi 50 kuruştur. Toplam ödediği para 13 lira olduğuna göre bir defter kaç kuruştur?
|
4 |
|
3 |
|
300 |
|
200 |
|
400 |
1 lira = 100 kuruş
5 kalem, 5.120=600 kuruş=6 lira
2 silgi, 2.50=100 kuruş=1 lira
6+1=7 lirasını kalem ve silgiye harcamıştır.
13-7=6 lira =600 kuruş
iki defter 600 kuruş ise, 1 defter 300 kuruştur.
Doğru cevap C şıkkıdır.
14.Soru
f : R›R,
olmak üzere, f (-2) + f (2) değeri aşağıdakilerden hangisidir?
|
9 |
|
10 |
|
11 |
|
12 |
|
13 |
f fonksiyonu sıfırdan küçük ya da eşit olan sayıları 3 ile eşlediğinden ve -2 ? 0 olduğundan f (-2) = 3 olur. Fonksiyon sıfırdan büyük olan x değerlerini 2x + 3 ile eşlediğinden ve 2 > 0 olduğundan f(2) = 2.2 + 3 = 7 olur. f (-2) + f (2) = 3 +7 = 10 olacaktır.
15.Soru
52x-4.5x+3=0 denkleminin kökler toplamı nedir?
|
0 |
|
log53 |
|
1 |
|
4 |
|
log52+log53 |
5x=u ise 52x=u2olur. u2-4u+3=0 ise (u-1)(u-3)=0 yazılabilir. u1=1 ve u2=3 olur. Buradan 5x=1 ise x1=log51=0 ve x2=log53 olduğundan x1+x2=log53'tür. Dolayısıyla doğru cevap B'dir.
16.Soru
f:R›(0,?), f(x)=3^x olarak tanımlanan f fonksiyonu için "f(2)+f(-1)" kaça eşittir?
|
29/3
|
|
28/3
|
|
25/3
|
|
19/3
|
|
17/3
|
17.Soru
|
{4} |
|
{3} |
|
{2} |
|
{1} |
|
{5} |
Dolayısıyla doğru cevap A'dır.
18.Soru
A={1,2,3,4,a,b,c,d} ve B={3,4,5,c,d,e,f} kümesi veriliyor. (A\B)∪(B\A) kümesi aşağıdakilerden hangisidir?
|
{1,2,a,b } |
|
A |
|
B |
|
{1,2,5,a,e,f} |
|
{1,3,5,a,c,d} |
A\B kümesinin elemanları A da olup B de olmayan elemanlardan oluşacağından dolayı A\B={1,2,a,b} dir. B\A kümesinin elemanları B de olup A da olmayan elemanlardan oluşacağından dolayı B\A ={5,e,f} dir. Böylece bu iki kümenin birleşimi bu kümelerin elemanların tümünün oluşturduğu küme olduğundan {1,2,5,a,e,f} ye eşittir.
19.Soru
Aşağıdaki sayılardan hangisi en büyüktür?
|
log28
|
|
log464
|
|
log1000
|
|
log5625
|
|
log525
|
20.Soru
32. 33 aşağıdakilerden hangisine eşittir?
|
729 |
|
243 |
|
163 |
|
81 |
|
27 |
32. 33 = 35 35 = 3.3.3.3.3 = 243 olur.
Ya da
- 32. 33 = 9.27= 243 olur.
Doğru cevap D şıkkıdır.
-
- 1.SORU ÇÖZÜLMEDİ
- 2.SORU ÇÖZÜLMEDİ
- 3.SORU ÇÖZÜLMEDİ
- 4.SORU ÇÖZÜLMEDİ
- 5.SORU ÇÖZÜLMEDİ
- 6.SORU ÇÖZÜLMEDİ
- 7.SORU ÇÖZÜLMEDİ
- 8.SORU ÇÖZÜLMEDİ
- 9.SORU ÇÖZÜLMEDİ
- 10.SORU ÇÖZÜLMEDİ
- 11.SORU ÇÖZÜLMEDİ
- 12.SORU ÇÖZÜLMEDİ
- 13.SORU ÇÖZÜLMEDİ
- 14.SORU ÇÖZÜLMEDİ
- 15.SORU ÇÖZÜLMEDİ
- 16.SORU ÇÖZÜLMEDİ
- 17.SORU ÇÖZÜLMEDİ
- 18.SORU ÇÖZÜLMEDİ
- 19.SORU ÇÖZÜLMEDİ
- 20.SORU ÇÖZÜLMEDİ