Genel Matematik Ara 3. Deneme Sınavı
Toplam 18 Soru2.Soru
3000 TL paramız yıllık %20 bileşik faiz oranıyla bankaya yatırırsak paramızın 6000 TL olması için kaç yıl geçmesi gerekir?
|
2 |
|
log2/log(6/5) |
|
log2 |
|
5 |
|
log6 |
olacaktır. Doğru cevap B'dir.
3.Soru
ve
olmak üzere f-g fonksiyonu aşağıdakilerden hangisidir?
|
(f-g)(x)=2x2-3x-1 |
|
(f-g)(x)=2x2-3x-2 |
|
(f-g)(x)=2x2-3x-3 |
|
(f-g)(x)=-2x2+3x+3 |
|
(f-g)(x)=2x2-3x+1 |
(f-g)(x)=f(x)-g(x)=2x2-1-(3x+2)=2x2-3x-3 olur. Doğru yanıt C seçeneğidir.
4.Soru
log3243 sayısının değeri aşağıdakilerden hangisidir?
|
1 |
|
2 |
|
3 |
|
4 |
|
5 |
log3243=log335=5.log33=5 olur.
5.Soru
fonksiyonun grafiği aşağıdakilerden hangisidir?
|
|
|
|
|
|
|
|
|
|
f fonksiyonu parçalı bir fonksiyon olup 0’a eşit ve 0 ’dan büyük değerler için f(x)=x fonksiyonunun, 0’dan küçük değerler için f(x)=0 sabit fonksiyonun grafiği çizilecektir.
f(x)=x fonksiyonunda x=0 için f(0)=0 olur. f(x)=x fonksiyonun grafiği orijinden geçen bir doğrudur. Bu doğru da birinci açıortay doğrusudur. 0’dan küçük değerler için ise f(x)=0 olacaktır. Bu durumda f fonksiyonun grafiği aşağıdaki gibi elde edilir. Bu nedenle doğru yanıt A seçeneğidir.
6.Soru
f(x)=2x3+2 olarak verildiğine göre
değeri aşağıdakilerden hangisidir?
|
0 |
|
2 |
|
4 |
|
8 |
|
16 |
7.Soru
Aşağıdaki sayılardan hangisi en büyüktür?
|
27 |
|
10-5 |
|
2-1 |
|
103 |
|
34 |
olduğundan en büyük D seçeneği olur.
9.Soru
Richter ölçeğine göre 6 büyüklüğünde bir depremin genişliği, 3 büyüklüğündeki depremin genliğinden kaç kat büyüktür?
|
10
|
|
20
|
|
100
|
|
1000
|
|
2000
|
10.Soru
log35+log336-log320 sayısı aşağıdakilerden hangisidir?
|
-2 |
|
-1 |
|
0 |
|
1 |
|
2 |
elde edilir.
11.Soru
|
|
|
|
|
|
|
|
|
|
A’ya ait olan ancak B’ye ait olmayan elemanların kümesine A fark B kümesi denir ve bu küme A\ B ile gösterilir.
12.Soru
T={1,7,{s,d,e},{x,z},&,%}
aşağıdakilerden hangisi T kümesinin bir elemanı değildir?
|
% |
|
7 |
|
d |
|
1 |
|
& |
T={1,7,{s,d,e},{x,z},&,%}
d, T kümesinin bir elemanı değildir.
Doğru cevap C şıkkıdır.
13.Soru
|
64 |
|
32 |
|
25 |
|
20 |
|
16 |
Dolayısıyla doğru cevap E'dir.
14.Soru
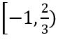
-3x+6<4 eşitsizliğinin çözüm kümesi aşağıdakilerden hangisidir?
|
(-∞,0) |
|
(-2,4) |
|
|
|
|
|
|
16.Soru
Aşağıdakilerden hangisi cebirsel bir ifadedir?
|
2x-1 |
|
4+3 |
|
3x-1<0 |
|
2 |
|
3a=2b+1 |
Bilinmeyen dediğimiz x, y, z, . . . gibi değişkenleri, 1,2,3, . . . gibi sayıları ve +, -, ×, . . . , kök alma gibi işlemleri içeren ifadelerdir. Örneğin, 2x -1, x +3, x2 +y2, , . . .gibi ifadelerdir.
17.Soru
6x+1-6x-1=35 ise x'in değeri aşağıdakilerden hangisidir?
|
5 |
|
4 |
|
3 |
|
2 |
|
1 |
olduğundan 6x=6 ve x=1 olarak bulunur. Dolayısıyla cevap E seçeneğidir.
-
- 1.SORU ÇÖZÜLMEDİ
- 2.SORU ÇÖZÜLMEDİ
- 3.SORU ÇÖZÜLMEDİ
- 4.SORU ÇÖZÜLMEDİ
- 5.SORU ÇÖZÜLMEDİ
- 6.SORU ÇÖZÜLMEDİ
- 7.SORU ÇÖZÜLMEDİ
- 8.SORU ÇÖZÜLMEDİ
- 9.SORU ÇÖZÜLMEDİ
- 10.SORU ÇÖZÜLMEDİ
- 11.SORU ÇÖZÜLMEDİ
- 12.SORU ÇÖZÜLMEDİ
- 13.SORU ÇÖZÜLMEDİ
- 14.SORU ÇÖZÜLMEDİ
- 15.SORU ÇÖZÜLMEDİ
- 16.SORU ÇÖZÜLMEDİ
- 17.SORU ÇÖZÜLMEDİ
- 18.SORU ÇÖZÜLMEDİ